Информационная система
«Ёшкин Кот»

Скачать базу одним архивом
Скачать обновления
История создания базы
Карта сайта

Скачать ТЕР Ямало-Ненецкий автономный округ 35-2001 Часть 35. Горнопроходческие работы. Территориальные единичные расценки на строительные и специальные строительные работы

Дата актуализации: 10.08.2017

ТЕР Ямало-Ненецкий автономный округ 35-2001

Часть 35. Горнопроходческие работы. Территориальные единичные расценки на строительные и специальные строительные работы

Обозначение: ТЕР Ямало-Ненецкий автономный округ 35-2001
Обозначение англ: 35-2001
Статус:действует
Название рус.:Часть 35. Горнопроходческие работы. Территориальные единичные расценки на строительные и специальные строительные работы
Дата добавления в базу:01.10.2014
Дата актуализации:05.05.2017
Оглавление:Раздел 1. Горнопроходческие работы, выполняемые обычным способом
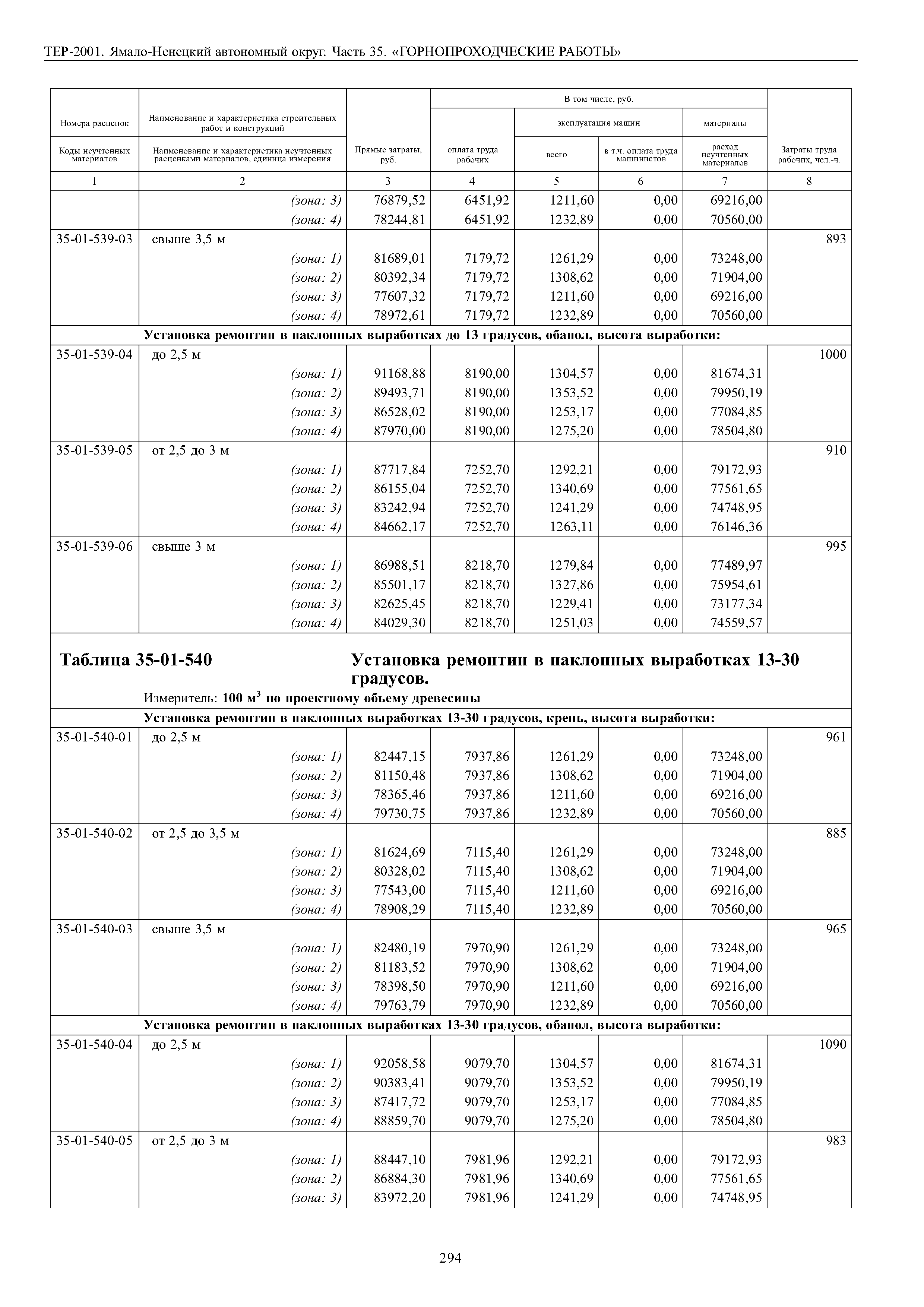
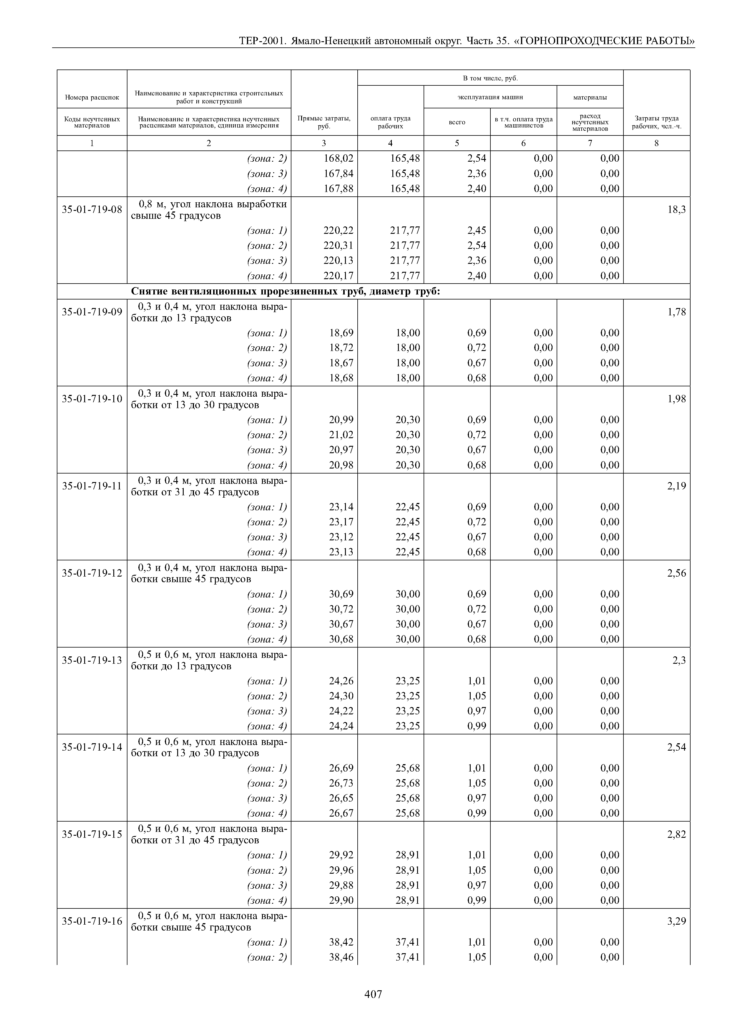
   Таблица 35-01-001 Прохождение стволов, шурфов и их устьев
   Таблица 35-01-002 Прохождение стволов, шурфов и их устьев взрывным способом с применением непредохранительных взрывчатых веществ
   Таблица 35-01-003 Прохождение взрывным способом с применением непредохранительных взрывчатых веществ, площадью сечения свыше 30 м2
   Таблица 35-01-004 Прохождение стволов и шурфов взрывным способом с применением предохранительных взрывчатых веществ
   Таблица 35-01-005 Прохождение стволов и шурфов взрывным способом с применением предохранительных взрывчатых веществ площадью сечения свыше 30 м2
   Таблица 35-01-006 Прохождение стволов и шурфов с раскоской восстающего при помощи комплекса КПВ-1
   Таблица 35-01-016 Прохождение
   Таблица 35-01-017 Прохождение сопряжений вертикальных стволов с околоствольными дворами взрывным способом в шахтах, не опасных по метану или пыли, площадью сечения до 20 м2
   Таблица 35-01-018 Прохождение сопряжений вертикальных стволов с околоствольными дворами взрывным способом в шахтах, не опасных по метану или пыли, площадью сечения от 20 до 40 м2
   Таблица 35-01-019 Прохождение сопряжений вертикальных стволов с околоствольными дворами взрывным способом в шахтах, не опасных по метану или пыли площадью сечения свыше 40 м2
   Таблица 35-01-020 Прохождение сопряжений вертикальных стволов с околоствольными дворами взрывным способом в шахтах, опасных по метану или пыли, площадью сечения до 20 м2
   Таблица 35-01-021 Прохождение сопряжений вертикальных стволов с околоствольными дворами взрывным способом в шахтах, опасных по метану или пыли, площадью сечения до 20 м2
   Таблица 35-01-022 Прохождение сопряжений вертикальных стволов с околоствольными дворами взрывным способом в шахтах, опасных по метану или пыли площадью сечения свыше 40 м2
   Таблица 35-01-023 Прохождение камер загрузочных устройств при вертикальных стволах взрывным способом в шахтах, не опасных по метану или пыли
   Таблица 35-01-024 Прохождение камер загрузочных устройств при вертикальных стволах взрывным способом в шахтах, опасных по метану или пыли
   Таблица 35-01-025 Прохождение камер загрузочных устройств при наклонных стволах в шахтах, не опасных по метану или пыли
   Таблица 35-01-026 Прохождение камер загрузочных устройств при наклонных стволах взрывным способом в шахтах, опасных по метану или пыли
   Таблица 35-01-027 Прохождение подземных бункеров взрывным способом в шахтах, не опасных по метану или пыли
   Таблица 35-01-028 Прохождение подземных бункеров взрывным способом в шахтах, опасных по метану или пыли
   Таблица 35-01-029 Прохождение подземных бункеров с двумя емкостными частями взрывным способом в шахтах, не опасных по метану или пыли
   Таблица 35-01-030 Прохождение камер дробильных установок взрывным способом в шахтах, не опасных по метану или пыли
   Таблица 35-01-031 Прохождение камер дробильных установок взрывным способом в шахтах, опасных по метану и пыли
   Таблица 35-01-032 Прохождение камер питателей и транспортеров взрывным способом в шахтах, не опасных по метану или пыли
   Таблица 35-01-033 Прохождение камер питателей и транспортеров взрывным способом в шахтах, не опасных по метану или пыли
   Таблица 35-01-043 Прохождение наклонных стволов до 13 градусов взрывным способом сверху вниз в шахтах, не опасных по метану или пыли
   Таблица 35-01-044 Прохождение наклонных стволов 13-30 градусов взрывным способом сверху вниз в шахтах, не опасных по метану или пыли
   Таблица 35-01-045 Прохождение наклонных стволов 31-45 градусов взрывным способом сверху вниз в шахтах, не опасных по метану или пыли
   Таблица 35-01-046 Прохождение наклонных стволов до 13 градусов взрывным способом снизу вверх в шахтах, не опасных по метану или пыли
   Таблица 35-01-047 Прохождение наклонных стволов 13-30 градусов взрывным способом снизу вверх в шахтах, не опасных по метану или пыли
   Таблица 35-01-048 Прохождение наклонных стволов 31-45 градусов взрывным способом снизу вверх в шахтах, не опасных по метану или пыли
   Таблица 35-01-059 Прохождение горизонтальных и наклонных до 13 градусов выработок комбайнами
   Таблица 35-01-069 Прохождение горизонтальных и наклонных до 13 градусов выработок и их сопряжений
   Таблица 35-01-070 Прохождение наклонных выработок 13-30 градусов и их сопряжений
   Таблица 35-01-071 Прохождение наклонных выработок 31-45 градусов и их сопряжений
   Таблица 35-01-072 Прохождение наклонных выработок свыше 45 градусов и их сопряжений
   Таблица 35-01-082 Прохождение горизонтальных выработок и их сопряжений взрывным способом в шахтах, не опасных по метану или пыли, площадью сечения до 6 м2
   Таблица 35-01-083 Прохождение горизонтальных выработок и их сопряжений взрывным способом в шахтах, не опасных по метану или пыли, площадью сечения от 6 до 8 м2
   Таблица 35-01-084 Прохождение горизонтальных выработок и их сопряжений взрывным способом в шахтах, не опасных по метану или пыли, площадь сечения от 8 до 10 м2
   Таблица 35-01-085 Прохождение горизонтальных выработок и их сопряжений взрывным способом в шахтах, не опасных по метану или пыли, площадью сечения от 10 до 12 м2
   Таблица 35-01-086 Прохождение горизонтальных выработок и их сопряжений взрывным способом в шахтах, не опасных по метану или пыли, площадь сечения от 12 до 16 м2
   Таблица 35-01-087 Прохождение горизонтальных выработок и их сопряжений взрывным способом в шахтах, не опасных по метану или пыли, площадью сечения от 16 до 20 м2
   Таблица 35-01-088 Прохождение горизонтальных выработок и их сопряжений взрывным способом в шахтах, не опасных по метану или пыли, площадь сечения от 20 до 40 м2
   Таблица 35-01-089 Прохождение горизонтальных выработок и их сопряжений взрывным способом в шахтах, не опасных по метану или пыли, площадь сечения от 40 до 60 м2
   Таблица 35-01-090 Прохождение горизонтальных выработок и их сопряжений взрывным способом в шахтах, не опасных по метану или пыли, площадь сечения свыше 60 м2
   Таблица 35-01-091 Прохождение горизонтальных выработок и их сопряжений взрывным способом в шахтах, опасных по метану или пыли площадью сечения до 6 м2
   Таблица 35-01-092 Прохождение горизонтальных выработок и их сопряжений взрывным способом в шахтах, опасных по метану или пыли, площадью сечения от 6 до 8 м2
   Таблица 35-01-093 Прохождение горизонтальных выработок и их сопряжений взрывным способом в шахтах, опасных по метану или пыли, площадью сечения от 8 до 10 м2
   Таблица 35-01-094 Прохождение горизонтальных выработок и их сопряжений взрывным способом в шахтах, не опасных по метану или пыли, площадь сечения от 10 до 12 м2
   Таблица 35-01-095 Прохождение горизонтальных выработок и их сопряжений взрывным способом в шахтах, не опасных по метану или пыли, площадь сечения от 12 до 16 м2
   Таблица 35-01-096 Прохождение горизонтальных выработок и их сопряжений взрывным способом в шахтах, не опасных по метану или пыли, площадь сечения от 16 до 20 м2
   Таблица 35-01-097 Прохождение горизонтальных выработок и их сопряжений взрывным способом в шахтах, не опасных по метану или пыли, площадь сечения от 20 до 40 м2
   Таблица 35-01-098 Прохождение горизонтальных выработок и их сопряжений взрывным способом в шахтах, не опасных по метану или пыли, площадь сечения от 40 до 60 м2
   Таблица 35-01-099 Прохождение горизонтальных выработок и их сопряжений взрывным способом в шахтах, не опасных по метану или пыли, площадь сечения свыше 60 м2
   Таблица 35-01-109 Прохождение наклонных выработок до 13 градусов и их сопряжений взрывным способом сверху вниз и снизу вверх в шахтах, не опасных по метану или пыли, площадью сечения до 6 м2
   Таблица 35-01-110 Прохождение наклонных выработок до 13 градусов и их сопряжений взрывным способом сверху вниз и снизу вверх в шахтах, не опасных по метану или пыли, площадью сечения от 6 м до 8 м2
   Таблица 35-01-111 Прохождение наклонных выработок до 13 градусов и их сопряжений взрывным способом сверху вниз и снизу вверх в шахтах, не опасных по метану или пыли, площадью сечения от 8 м до 10 м2
   Таблица 35-01-112 Прохождение наклонных выработок до 13 градусов и их сопряжений взрывным способом сверху вниз и снизу вверх в шахтах, не опасных по метану или пыли, площадью сечения от 10 м до 12 м2
   Таблица 35-01-113 Прохождение наклонных выработок до 13 градусов и их сопряжений взрывным способом сверху вниз и снизу вверх в шахтах, не опасных по метану или пыли, площадью сечения от 12 м до 16 м2
   Таблица 35-01-114 Прохождение наклонных выработок до 13 градусов и их сопряжений взрывным способом сверху вниз и снизу вверх в шахтах, не опасных по метану или пыли, площадью сечения от 16 м до 20 м2
   Таблица 35-01-115 Прохождение наклонных выработок до 13 градусов и их сопряжений взрывным способом сверху вниз и снизу вверх в шахтах, не опасных по метану или пыли, площадью сечения от 20 м до 40 м2
   Таблица 35-01-116 Прохождение наклонных выработок до 13 градусов и их сопряжений взрывным способом сверху вниз и снизу вверх в шахтах, не опасных по метану или пыли, площадью сечения от 20 м до 40 м2
   Таблица 35-01-117 Прохождение наклонных выработок 13-30 градусов и их сопряжений взрывным способом сверху вниз в шахтах, не опасных по метану или пыли, площадью сечения от 6 до 8 м2
   Таблица 35-01-118 Прохождение наклонных выработок 13-30 градусов и их сопряжений взрывным способом сверху вниз в шахтах, не опасных по метану или пыли, площадью сечения от 8 до 10 м2
   Таблица 35-01-119 Прохождение наклонных выработок 13-30 градусов и их сопряжений взрывным способом сверху вниз в шахтах, не опасных по метану или пыли, площадью сечения от 10 до 12 м2
   Таблица 35-01-120 Прохождение наклонных выработок 13-30 градусов и их сопряжений взрывным способом сверху вниз в шахтах, не опасных по метану или пыли, площадью сечения от 12 до 16 м2
   Таблица 35-01-121 Прохождение наклонных выработок 13-30 градусов и их сопряжений взрывным способом сверху вниз в шахтах, не опасных по метану или пыли, площадью сечения от 16 до 20 м2
   Таблица 35-01-122 Прохождение наклонных выработок 13-30 градусов и их сопряжений взрывным способом сверху вниз в шахтах, не опасных по метану или пыли, площадью сечения от 20 до 40 м2
   Таблица 35-01-123 Прохождение наклонных выработок 13-30 градусов и их сопряжений взрывным способом снизу вверх в шахтах, не опасных по метану или пыли, площадью сечения до 6 м2
   Таблица 35-01-124 Прохождение наклонных выработок 13-30 градусов и их сопряжений взрывным способом снизу вверх в шахтах, не опасных по метану или пыли, площадью сечения от 6 до 8 м2
   Таблица 35-01-125 Прохождение наклонных выработок 13-30 градусов и их сопряжений взрывным способом снизу вверх в шахтах, не опасных по метану или пыли, площадью сечения от 8 до 10 м2
   Таблица 35-01-126 Прохождение наклонных выработок 13-30 градусов и их сопряжений взрывным способом снизу вверх в шахтах, не опасных по метану или пыли, площадью сечения от 10 до 12 м2
   Таблица 35-01-127 Прохождение наклонных выработок 13-30 градусов и их сопряжений взрывным способом снизу вверх в шахтах, не опасных по метану или пыли, площадью сечения от 12 до 16 м2
   Таблица 35-01-128 Прохождение наклонных выработок 13-30 градусов и их сопряжений взрывным способом снизу вверх в шахтах, не опасных по метану или пыли, площадью сечения от 16 до 20 м2
   Таблица 35-01-129 Прохождение наклонных выработок 13-30 градусов и их сопряжений взрывным способом снизу вверх в шахтах, не опасных по метану или пыли, площадью сечения от 20 до 40 м2
   Таблица 35-01-130 Прохождение наклонных выработок 31-45 градусов и их сопряжений взрывным способом сверху вниз в шахтах, не опасных по метану или пыли, площадью сечения до 6 м2
   Таблица 35-01-131 Прохождение наклонных выработок 31-45 градусов и их сопряжений взрывным способом сверху вниз в шахтах, не опасных по метану или пыли, площадью сечения от 6 до 8 м2
   Таблица 35-01-132 Прохождение наклонных выработок 31-45 градусов и их сопряжений взрывным способом сверху вниз в шахтах, не опасных по метану или пыли, площадью сечения от 8 до 10 м2
   Таблица 35-01-133 Прохождение наклонных выработок 31-45 градусов и их сопряжений взрывным способом сверху вниз в шахтах, не опасных по метану или пыли, площадью сечения от 10 до 12 м2
   Таблица 35-01-134 Прохождение наклонных выработок 31-45 градусов и их сопряжений взрывным способом сверху вниз в шахтах, не опасных по метану или пыли, площадью сечения от 12 до 16 м2
   Таблица 35-01-135 Прохождение наклонных выработок 31-45 градусов и их сопряжений взрывным способом сверху вниз в шахтах, не опасных по метану или пыли, площадью сечения от 16 до 20 м2
   Таблица 35-01-136 Прохождение наклонных выработок 31-45 градусов и их сопряжений взрывным способом сверху вниз в шахтах, не опасных по метану или пыли, площадью сечения от 20 до 40 м2
   Таблица 35-01-137 Прохождение наклонных выработок 31-45 градусов и их сопряжений взрывным способом снизу вверх в шахтах, не опасных по метану или пыли, площадью сечения до 6 м2
   Таблица 35-01-138 Прохождение наклонных выработок 31-45 градусов и их сопряжений взрывным способом снизу вверх в шахтах, не опасных по метану или пыли, площадью сечения от 6 до 8 м2
   Таблица 35-01-139 Прохождение наклонных выработок 31-45 градусов и их сопряжений взрывным способом снизу вверх в шахтах, не опасных по метану или пыли, площадью сечения от 8 до 10 м2
   Таблица 35-01-140 Прохождение наклонных выработок 31-45 гра
Разработан: Сибирский центр ценообразования в строительстве, промышленности и энергетике
Утверждён:13.10.2011 Правительство Ямало-Ненецкого автономного округа (755-п)
Принят:05.07.2011 Министерство регионального развития Российской Федерации (17636-АП/08)
Расположен в:Техническая документация Строительство Нормативные документы Нормативные документы субъектов Российской Федерации Нормативные документы Ямало-Ненецкого автономного округа Документы Системы нормативных документов в строительстве Нормативные документы по экономике к.81 Ценообразование и сметы Классификатор ISO Нормативные документы по экономике Ценообразование и сметы
ТЕР Ямало-Ненецкий автономный округ 35-2001ТЕР Ямало-Ненецкий автономный округ 35-2001ТЕР Ямало-Ненецкий автономный округ 35-2001ТЕР Ямало-Ненецкий автономный округ 35-2001ТЕР Ямало-Ненецкий автономный округ 35-2001ТЕР Ямало-Ненецкий автономный округ 35-2001ТЕР Ямало-Ненецкий автономный округ 35-2001ТЕР Ямало-Ненецкий автономный округ 35-2001ТЕР Ямало-Ненецкий автономный округ 35-2001ТЕР Ямало-Ненецкий автономный округ 35-2001ТЕР Ямало-Ненецкий автономный округ 35-2001ТЕР Ямало-Ненецкий автономный округ 35-2001ТЕР Ямало-Ненецкий автономный округ 35-2001ТЕР Ямало-Ненецкий автономный округ 35-2001ТЕР Ямало-Ненецкий автономный округ 35-2001ТЕР Ямало-Ненецкий автономный округ 35-2001ТЕР Ямало-Ненецкий автономный округ 35-2001ТЕР Ямало-Ненецкий автономный округ 35-2001ТЕР Ямало-Ненецкий автономный округ 35-2001ТЕР Ямало-Ненецкий автономный округ 35-2001ТЕР Ямало-Ненецкий автономный округ 35-2001ТЕР Ямало-Ненецкий автономный округ 35-2001ТЕР Ямало-Ненецкий автономный округ 35-2001ТЕР Ямало-Ненецкий автономный округ 35-2001ТЕР Ямало-Ненецкий автономный округ 35-2001ТЕР Ямало-Ненецкий автономный округ 35-2001ТЕР Ямало-Ненецкий автономный округ 35-2001ТЕР Ямало-Ненецкий автономный округ 35-2001ТЕР Ямало-Ненецкий автономный округ 35-2001ТЕР Ямало-Ненецкий автономный округ 35-2001ТЕР Ямало-Ненецкий автономный округ 35-2001ТЕР Ямало-Ненецкий автономный округ 35-2001ТЕР Ямало-Ненецкий автономный округ 35-2001ТЕР Ямало-Ненецкий автономный округ 35-2001ТЕР Ямало-Ненецкий автономный округ 35-2001ТЕР Ямало-Ненецкий автономный округ 35-2001ТЕР Ямало-Ненецкий автономный округ 35-2001ТЕР Ямало-Ненецкий автономный округ 35-2001ТЕР Ямало-Ненецкий автономный округ 35-2001ТЕР Ямало-Ненецкий автономный округ 35-2001ТЕР Ямало-Ненецкий автономный округ 35-2001ТЕР Ямало-Ненецкий автономный округ 35-2001ТЕР Ямало-Ненецкий автономный округ 35-2001ТЕР Ямало-Ненецкий автономный округ 35-2001ТЕР Ямало-Ненецкий автономный округ 35-2001ТЕР Ямало-Ненецкий автономный округ 35-2001ТЕР Ямало-Ненецкий автономный округ 35-2001ТЕР Ямало-Ненецкий автономный округ 35-2001ТЕР Ямало-Ненецкий автономный округ 35-2001ТЕР Ямало-Ненецкий автономный округ 35-2001ТЕР Ямало-Ненецкий автономный округ 35-2001ТЕР Ямало-Ненецкий автономный округ 35-2001ТЕР Ямало-Ненецкий автономный округ 35-2001ТЕР Ямало-Ненецкий автономный округ 35-2001ТЕР Ямало-Ненецкий автономный округ 35-2001ТЕР Ямало-Ненецкий автономный округ 35-2001ТЕР Ямало-Ненецкий автономный округ 35-2001ТЕР Ямало-Ненецкий автономный округ 35-2001ТЕР Ямало-Ненецкий автономный округ 35-2001ТЕР Ямало-Ненецкий автономный округ 35-2001ТЕР Ямало-Ненецкий автономный округ 35-2001ТЕР Ямало-Ненецкий автономный округ 35-2001ТЕР Ямало-Ненецкий автономный округ 35-2001ТЕР Ямало-Ненецкий автономный округ 35-2001ТЕР Ямало-Ненецкий автономный округ 35-2001ТЕР Ямало-Ненецкий автономный округ 35-2001ТЕР Ямало-Ненецкий автономный округ 35-2001ТЕР Ямало-Ненецкий автономный округ 35-2001ТЕР Ямало-Ненецкий автономный округ 35-2001ТЕР Ямало-Ненецкий автономный округ 35-2001ТЕР Ямало-Ненецкий автономный округ 35-2001ТЕР Ямало-Ненецкий автономный округ 35-2001ТЕР Ямало-Ненецкий автономный округ 35-2001ТЕР Ямало-Ненецкий автономный округ 35-2001ТЕР Ямало-Ненецкий автономный округ 35-2001ТЕР Ямало-Ненецкий автономный округ 35-2001ТЕР Ямало-Ненецкий автономный округ 35-2001ТЕР Ямало-Ненецкий автономный округ 35-2001ТЕР Ямало-Ненецкий автономный округ 35-2001ТЕР Ямало-Ненецкий автономный округ 35-2001ТЕР Ямало-Ненецкий автономный округ 35-2001ТЕР Ямало-Ненецкий автономный округ 35-2001ТЕР Ямало-Ненецкий автономный округ 35-2001ТЕР Ямало-Ненецкий автономный округ 35-2001ТЕР Ямало-Ненецкий автономный округ 35-2001ТЕР Ямало-Ненецкий автономный округ 35-2001ТЕР Ямало-Ненецкий автономный округ 35-2001ТЕР Ямало-Ненецкий автономный округ 35-2001ТЕР Ямало-Ненецкий автономный округ 35-2001ТЕР Ямало-Ненецкий автономный округ 35-2001ТЕР Ямало-Ненецкий автономный округ 35-2001ТЕР Ямало-Ненецкий автономный округ 35-2001ТЕР Ямало-Ненецкий автономный округ 35-2001ТЕР Ямало-Ненецкий автономный округ 35-2001ТЕР Ямало-Ненецкий автономный округ 35-2001ТЕР Ямало-Ненецкий автономный округ 35-2001ТЕР Ямало-Ненецкий автономный округ 35-2001ТЕР Ямало-Ненецкий автономный округ 35-2001ТЕР Ямало-Ненецкий автономный округ 35-2001ТЕР Ямало-Ненецкий автономный округ 35-2001ТЕР Ямало-Ненецкий автономный округ 35-2001ТЕР Ямало-Ненецкий автономный округ 35-2001ТЕР Ямало-Ненецкий автономный округ 35-2001ТЕР Ямало-Ненецкий автономный округ 35-2001ТЕР Ямало-Ненецкий автономный округ 35-2001ТЕР Ямало-Ненецкий автономный округ 35-2001ТЕР Ямало-Ненецкий автономный округ 35-2001ТЕР Ямало-Ненецкий автономный округ 35-2001ТЕР Ямало-Ненецкий автономный округ 35-2001ТЕР Ямало-Ненецкий автономный округ 35-2001ТЕР Ямало-Ненецкий автономный округ 35-2001ТЕР Ямало-Ненецкий автономный округ 35-2001ТЕР Ямало-Ненецкий автономный округ 35-2001ТЕР Ямало-Ненецкий автономный округ 35-2001ТЕР Ямало-Ненецкий автономный округ 35-2001ТЕР Ямало-Ненецкий автономный округ 35-2001ТЕР Ямало-Ненецкий автономный округ 35-2001ТЕР Ямало-Ненецкий автономный округ 35-2001ТЕР Ямало-Ненецкий автономный округ 35-2001ТЕР Ямало-Ненецкий автономный округ 35-2001ТЕР Ямало-Ненецкий автономный округ 35-2001ТЕР Ямало-Ненецкий автономный округ 35-2001ТЕР Ямало-Ненецкий автономный округ 35-2001ТЕР Ямало-Ненецкий автономный округ 35-2001ТЕР Ямало-Ненецкий автономный округ 35-2001ТЕР Ямало-Ненецкий автономный округ 35-2001ТЕР Ямало-Ненецкий автономный округ 35-2001ТЕР Ямало-Ненецкий автономный округ 35-2001ТЕР Ямало-Ненецкий автономный округ 35-2001ТЕР Ямало-Ненецкий автономный округ 35-2001ТЕР Ямало-Ненецкий автономный округ 35-2001ТЕР Ямало-Ненецкий автономный округ 35-2001ТЕР Ямало-Ненецкий автономный округ 35-2001ТЕР Ямало-Ненецкий автономный округ 35-2001ТЕР Ямало-Ненецкий автономный округ 35-2001ТЕР Ямало-Ненецкий автономный округ 35-2001ТЕР Ямало-Ненецкий автономный округ 35-2001ТЕР Ямало-Ненецкий автономный округ 35-2001ТЕР Ямало-Ненецкий автономный округ 35-2001ТЕР Ямало-Ненецкий автономный округ 35-2001ТЕР Ямало-Ненецкий автономный округ 35-2001ТЕР Ямало-Ненецкий автономный округ 35-2001ТЕР Ямало-Ненецкий автономный округ 35-2001ТЕР Ямало-Ненецкий автономный округ 35-2001ТЕР Ямало-Ненецкий автономный округ 35-2001ТЕР Ямало-Ненецкий автономный округ 35-2001ТЕР Ямало-Ненецкий автономный округ 35-2001ТЕР Ямало-Ненецкий автономный округ 35-2001ТЕР Ямало-Ненецкий автономный округ 35-2001ТЕР Ямало-Ненецкий автономный округ 35-2001ТЕР Ямало-Ненецкий автономный округ 35-2001ТЕР Ямало-Ненецкий автономный округ 35-2001ТЕР Ямало-Ненецкий автономный округ 35-2001ТЕР Ямало-Ненецкий автономный округ 35-2001ТЕР Ямало-Ненецкий автономный округ 35-2001ТЕР Ямало-Ненецкий автономный округ 35-2001ТЕР Ямало-Ненецкий автономный округ 35-2001ТЕР Ямало-Ненецкий автономный округ 35-2001ТЕР Ямало-Ненецкий автономный округ 35-2001ТЕР Ямало-Ненецкий автономный округ 35-2001ТЕР Ямало-Ненецкий автономный округ 35-2001ТЕР Ямало-Ненецкий автономный округ 35-2001ТЕР Ямало-Ненецкий автономный округ 35-2001ТЕР Ямало-Ненецкий автономный округ 35-2001ТЕР Ямало-Ненецкий автономный округ 35-2001ТЕР Ямало-Ненецкий автономный округ 35-2001ТЕР Ямало-Ненецкий автономный округ 35-2001ТЕР Ямало-Ненецкий автономный округ 35-2001ТЕР Ямало-Ненецкий автономный округ 35-2001ТЕР Ямало-Ненецкий автономный округ 35-2001ТЕР Ямало-Ненецкий автономный округ 35-2001ТЕР Ямало-Ненецкий автономный округ 35-2001ТЕР Ямало-Ненецкий автономный округ 35-2001ТЕР Ямало-Ненецкий автономный округ 35-2001ТЕР Ямало-Ненецкий автономный округ 35-2001ТЕР Ямало-Ненецкий автономный округ 35-2001ТЕР Ямало-Ненецкий автономный округ 35-2001ТЕР Ямало-Ненецкий автономный округ 35-2001ТЕР Ямало-Ненецкий автономный округ 35-2001ТЕР Ямало-Ненецкий автономный округ 35-2001ТЕР Ямало-Ненецкий автономный округ 35-2001ТЕР Ямало-Ненецкий автономный округ 35-2001ТЕР Ямало-Ненецкий автономный округ 35-2001ТЕР Ямало-Ненецкий автономный округ 35-2001ТЕР Ямало-Ненецкий автономный округ 35-2001ТЕР Ямало-Ненецкий автономный округ 35-2001ТЕР Ямало-Ненецкий автономный округ 35-2001ТЕР Ямало-Ненецкий автономный округ 35-2001ТЕР Ямало-Ненецкий автономный округ 35-2001ТЕР Ямало-Ненецкий автономный округ 35-2001ТЕР Ямало-Ненецкий автономный округ 35-2001ТЕР Ямало-Ненецкий автономный округ 35-2001ТЕР Ямало-Ненецкий автономный округ 35-2001ТЕР Ямало-Ненецкий автономный округ 35-2001ТЕР Ямало-Ненецкий автономный округ 35-2001ТЕР Ямало-Ненецкий автономный округ 35-2001ТЕР Ямало-Ненецкий автономный округ 35-2001ТЕР Ямало-Ненецкий автономный округ 35-2001ТЕР Ямало-Ненецкий автономный округ 35-2001ТЕР Ямало-Ненецкий автономный округ 35-2001ТЕР Ямало-Ненецкий автономный округ 35-2001ТЕР Ямало-Ненецкий автономный округ 35-2001ТЕР Ямало-Ненецкий автономный округ 35-2001ТЕР Ямало-Ненецкий автономный округ 35-2001ТЕР Ямало-Ненецкий автономный округ 35-2001ТЕР Ямало-Ненецкий автономный округ 35-2001ТЕР Ямало-Ненецкий автономный округ 35-2001ТЕР Ямало-Ненецкий автономный округ 35-2001ТЕР Ямало-Ненецкий автономный округ 35-2001ТЕР Ямало-Ненецкий автономный округ 35-2001ТЕР Ямало-Ненецкий автономный округ 35-2001ТЕР Ямало-Ненецкий автономный округ 35-2001ТЕР Ямало-Ненецкий автономный округ 35-2001ТЕР Ямало-Ненецкий автономный округ 35-2001ТЕР Ямало-Ненецкий автономный округ 35-2001ТЕР Ямало-Ненецкий автономный округ 35-2001ТЕР Ямало-Ненецкий автономный округ 35-2001ТЕР Ямало-Ненецкий автономный округ 35-2001ТЕР Ямало-Ненецкий автономный округ 35-2001ТЕР Ямало-Ненецкий автономный округ 35-2001ТЕР Ямало-Ненецкий автономный округ 35-2001ТЕР Ямало-Ненецкий автономный округ 35-2001ТЕР Ямало-Ненецкий автономный округ 35-2001ТЕР Ямало-Ненецкий автономный округ 35-2001ТЕР Ямало-Ненецкий автономный округ 35-2001ТЕР Ямало-Ненецкий автономный округ 35-2001ТЕР Ямало-Ненецкий автономный округ 35-2001ТЕР Ямало-Ненецкий автономный округ 35-2001ТЕР Ямало-Ненецкий автономный округ 35-2001ТЕР Ямало-Ненецкий автономный округ 35-2001ТЕР Ямало-Ненецкий автономный округ 35-2001ТЕР Ямало-Ненецкий автономный округ 35-2001ТЕР Ямало-Ненецкий автономный округ 35-2001ТЕР Ямало-Ненецкий автономный округ 35-2001ТЕР Ямало-Ненецкий автономный округ 35-2001ТЕР Ямало-Ненецкий автономный округ 35-2001ТЕР Ямало-Ненецкий автономный округ 35-2001ТЕР Ямало-Ненецкий автономный округ 35-2001ТЕР Ямало-Ненецкий автономный округ 35-2001ТЕР Ямало-Ненецкий автономный округ 35-2001ТЕР Ямало-Ненецкий автономный округ 35-2001ТЕР Ямало-Ненецкий автономный округ 35-2001ТЕР Ямало-Ненецкий автономный округ 35-2001ТЕР Ямало-Ненецкий автономный округ 35-2001ТЕР Ямало-Ненецкий автономный округ 35-2001ТЕР Ямало-Ненецкий автономный округ 35-2001ТЕР Ямало-Ненецкий автономный округ 35-2001ТЕР Ямало-Ненецкий автономный округ 35-2001ТЕР Ямало-Ненецкий автономный округ 35-2001ТЕР Ямало-Ненецкий автономный округ 35-2001ТЕР Ямало-Ненецкий автономный округ 35-2001ТЕР Ямало-Ненецкий автономный округ 35-2001ТЕР Ямало-Ненецкий автономный округ 35-2001ТЕР Ямало-Ненецкий автономный округ 35-2001ТЕР Ямало-Ненецкий автономный округ 35-2001ТЕР Ямало-Ненецкий автономный округ 35-2001ТЕР Ямало-Ненецкий автономный округ 35-2001ТЕР Ямало-Ненецкий автономный округ 35-2001ТЕР Ямало-Ненецкий автономный округ 35-2001ТЕР Ямало-Ненецкий автономный округ 35-2001ТЕР Ямало-Ненецкий автономный округ 35-2001ТЕР Ямало-Ненецкий автономный округ 35-2001ТЕР Ямало-Ненецкий автономный округ 35-2001ТЕР Ямало-Ненецкий автономный округ 35-2001ТЕР Ямало-Ненецкий автономный округ 35-2001ТЕР Ямало-Ненецкий автономный округ 35-2001ТЕР Ямало-Ненецкий автономный округ 35-2001ТЕР Ямало-Ненецкий автономный округ 35-2001ТЕР Ямало-Ненецкий автономный округ 35-2001ТЕР Ямало-Ненецкий автономный округ 35-2001ТЕР Ямало-Ненецкий автономный округ 35-2001ТЕР Ямало-Ненецкий автономный округ 35-2001ТЕР Ямало-Ненецкий автономный округ 35-2001ТЕР Ямало-Ненецкий автономный округ 35-2001ТЕР Ямало-Ненецкий автономный округ 35-2001ТЕР Ямало-Ненецкий автономный округ 35-2001ТЕР Ямало-Ненецкий автономный округ 35-2001ТЕР Ямало-Ненецкий автономный округ 35-2001ТЕР Ямало-Ненецкий автономный округ 35-2001ТЕР Ямало-Ненецкий автономный округ 35-2001ТЕР Ямало-Ненецкий автономный округ 35-2001ТЕР Ямало-Ненецкий автономный округ 35-2001ТЕР Ямало-Ненецкий автономный округ 35-2001ТЕР Ямало-Ненецкий автономный округ 35-2001ТЕР Ямало-Ненецкий автономный округ 35-2001ТЕР Ямало-Ненецкий автономный округ 35-2001ТЕР Ямало-Ненецкий автономный округ 35-2001ТЕР Ямало-Ненецкий автономный округ 35-2001ТЕР Ямало-Ненецкий автономный округ 35-2001ТЕР Ямало-Ненецкий автономный округ 35-2001ТЕР Ямало-Ненецкий автономный округ 35-2001ТЕР Ямало-Ненецкий автономный округ 35-2001ТЕР Ямало-Ненецкий автономный округ 35-2001ТЕР Ямало-Ненецкий автономный округ 35-2001ТЕР Ямало-Ненецкий автономный округ 35-2001ТЕР Ямало-Ненецкий автономный округ 35-2001ТЕР Ямало-Ненецкий автономный округ 35-2001ТЕР Ямало-Ненецкий автономный округ 35-2001ТЕР Ямало-Ненецкий автономный округ 35-2001ТЕР Ямало-Ненецкий автономный округ 35-2001ТЕР Ямало-Ненецкий автономный округ 35-2001ТЕР Ямало-Ненецкий автономный округ 35-2001ТЕР Ямало-Ненецкий автономный округ 35-2001ТЕР Ямало-Ненецкий автономный округ 35-2001ТЕР Ямало-Ненецкий автономный округ 35-2001ТЕР Ямало-Ненецкий автономный округ 35-2001ТЕР Ямало-Ненецкий автономный округ 35-2001ТЕР Ямало-Ненецкий автономный округ 35-2001ТЕР Ямало-Ненецкий автономный округ 35-2001ТЕР Ямало-Ненецкий автономный округ 35-2001ТЕР Ямало-Ненецкий автономный округ 35-2001ТЕР Ямало-Ненецкий автономный округ 35-2001ТЕР Ямало-Ненецкий автономный округ 35-2001ТЕР Ямало-Ненецкий автономный округ 35-2001ТЕР Ямало-Ненецкий автономный округ 35-2001ТЕР Ямало-Ненецкий автономный округ 35-2001ТЕР Ямало-Ненецкий автономный округ 35-2001ТЕР Ямало-Ненецкий автономный округ 35-2001ТЕР Ямало-Ненецкий автономный округ 35-2001ТЕР Ямало-Ненецкий автономный округ 35-2001ТЕР Ямало-Ненецкий автономный округ 35-2001ТЕР Ямало-Ненецкий автономный округ 35-2001ТЕР Ямало-Ненецкий автономный округ 35-2001ТЕР Ямало-Ненецкий автономный округ 35-2001ТЕР Ямало-Ненецкий автономный округ 35-2001ТЕР Ямало-Ненецкий автономный округ 35-2001ТЕР Ямало-Ненецкий автономный округ 35-2001ТЕР Ямало-Ненецкий автономный округ 35-2001ТЕР Ямало-Ненецкий автономный округ 35-2001ТЕР Ямало-Ненецкий автономный округ 35-2001ТЕР Ямало-Ненецкий автономный округ 35-2001ТЕР Ямало-Ненецкий автономный округ 35-2001ТЕР Ямало-Ненецкий автономный округ 35-2001ТЕР Ямало-Ненецкий автономный округ 35-2001ТЕР Ямало-Ненецкий автономный округ 35-2001ТЕР Ямало-Ненецкий автономный округ 35-2001ТЕР Ямало-Ненецкий автономный округ 35-2001ТЕР Ямало-Ненецкий автономный округ 35-2001ТЕР Ямало-Ненецкий автономный округ 35-2001ТЕР Ямало-Ненецкий автономный округ 35-2001ТЕР Ямало-Ненецкий автономный округ 35-2001ТЕР Ямало-Ненецкий автономный округ 35-2001ТЕР Ямало-Ненецкий автономный округ 35-2001ТЕР Ямало-Ненецкий автономный округ 35-2001ТЕР Ямало-Ненецкий автономный округ 35-2001ТЕР Ямало-Ненецкий автономный округ 35-2001ТЕР Ямало-Ненецкий автономный округ 35-2001ТЕР Ямало-Ненецкий автономный округ 35-2001ТЕР Ямало-Ненецкий автономный округ 35-2001ТЕР Ямало-Ненецкий автономный округ 35-2001ТЕР Ямало-Ненецкий автономный округ 35-2001ТЕР Ямало-Ненецкий автономный округ 35-2001ТЕР Ямало-Ненецкий автономный округ 35-2001ТЕР Ямало-Ненецкий автономный округ 35-2001ТЕР Ямало-Ненецкий автономный округ 35-2001ТЕР Ямало-Ненецкий автономный округ 35-2001ТЕР Ямало-Ненецкий автономный округ 35-2001ТЕР Ямало-Ненецкий автономный округ 35-2001ТЕР Ямало-Ненецкий автономный округ 35-2001ТЕР Ямало-Ненецкий автономный округ 35-2001ТЕР Ямало-Ненецкий автономный округ 35-2001ТЕР Ямало-Ненецкий автономный округ 35-2001ТЕР Ямало-Ненецкий автономный округ 35-2001ТЕР Ямало-Ненецкий автономный округ 35-2001ТЕР Ямало-Ненецкий автономный округ 35-2001ТЕР Ямало-Ненецкий автономный округ 35-2001ТЕР Ямало-Ненецкий автономный округ 35-2001ТЕР Ямало-Ненецкий автономный округ 35-2001ТЕР Ямало-Ненецкий автономный округ 35-2001ТЕР Ямало-Ненецкий автономный округ 35-2001ТЕР Ямало-Ненецкий автономный округ 35-2001ТЕР Ямало-Ненецкий автономный округ 35-2001ТЕР Ямало-Ненецкий автономный округ 35-2001ТЕР Ямало-Ненецкий автономный округ 35-2001ТЕР Ямало-Ненецкий автономный округ 35-2001ТЕР Ямало-Ненецкий автономный округ 35-2001ТЕР Ямало-Ненецкий автономный округ 35-2001ТЕР Ямало-Ненецкий автономный округ 35-2001ТЕР Ямало-Ненецкий автономный округ 35-2001ТЕР Ямало-Ненецкий автономный округ 35-2001ТЕР Ямало-Ненецкий автономный округ 35-2001ТЕР Ямало-Ненецкий автономный округ 35-2001ТЕР Ямало-Ненецкий автономный округ 35-2001ТЕР Ямало-Ненецкий автономный округ 35-2001ТЕР Ямало-Ненецкий автономный округ 35-2001ТЕР Ямало-Ненецкий автономный округ 35-2001ТЕР Ямало-Ненецкий автономный округ 35-2001ТЕР Ямало-Ненецкий автономный округ 35-2001ТЕР Ямало-Ненецкий автономный округ 35-2001ТЕР Ямало-Ненецкий автономный округ 35-2001ТЕР Ямало-Ненецкий автономный округ 35-2001ТЕР Ямало-Ненецкий автономный округ 35-2001ТЕР Ямало-Ненецкий автономный округ 35-2001ТЕР Ямало-Ненецкий автономный округ 35-2001ТЕР Ямало-Ненецкий автономный округ 35-2001ТЕР Ямало-Ненецкий автономный округ 35-2001ТЕР Ямало-Ненецкий автономный округ 35-2001ТЕР Ямало-Ненецкий автономный округ 35-2001ТЕР Ямало-Ненецкий автономный округ 35-2001ТЕР Ямало-Ненецкий автономный округ 35-2001ТЕР Ямало-Ненецкий автономный округ 35-2001ТЕР Ямало-Ненецкий автономный округ 35-2001ТЕР Ямало-Ненецкий автономный округ 35-2001ТЕР Ямало-Ненецкий автономный округ 35-2001ТЕР Ямало-Ненецкий автономный округ 35-2001ТЕР Ямало-Ненецкий автономный округ 35-2001ТЕР Ямало-Ненецкий автономный округ 35-2001ТЕР Ямало-Ненецкий автономный округ 35-2001ТЕР Ямало-Ненецкий автономный округ 35-2001ТЕР Ямало-Ненецкий автономный округ 35-2001ТЕР Ямало-Ненецкий автономный округ 35-2001ТЕР Ямало-Ненецкий автономный округ 35-2001ТЕР Ямало-Ненецкий автономный округ 35-2001ТЕР Ямало-Ненецкий автономный округ 35-2001ТЕР Ямало-Ненецкий автономный округ 35-2001ТЕР Ямало-Ненецкий автономный округ 35-2001ТЕР Ямало-Ненецкий автономный округ 35-2001ТЕР Ямало-Ненецкий автономный округ 35-2001ТЕР Ямало-Ненецкий автономный округ 35-2001ТЕР Ямало-Ненецкий автономный округ 35-2001ТЕР Ямало-Ненецкий автономный округ 35-2001ТЕР Ямало-Ненецкий автономный округ 35-2001ТЕР Ямало-Ненецкий автономный округ 35-2001ТЕР Ямало-Ненецкий автономный округ 35-2001ТЕР Ямало-Ненецкий автономный округ 35-2001ТЕР Ямало-Ненецкий автономный округ 35-2001ТЕР Ямало-Ненецкий автономный округ 35-2001ТЕР Ямало-Ненецкий автономный округ 35-2001ТЕР Ямало-Ненецкий автономный округ 35-2001ТЕР Ямало-Ненецкий автономный округ 35-2001

© 2013 Ёшкин Кот :-) Карта сайта