Скачать ТЕР Ямало-Ненецкий автономный округ 24-2001 Часть 24. Теплоснабжение и газопроводы - наружные сети. Территориальные единичные расценки на строительные и специальные строительные работыДата актуализации: 10.08.2017 ТЕР Ямало-Ненецкий автономный округ 24-2001
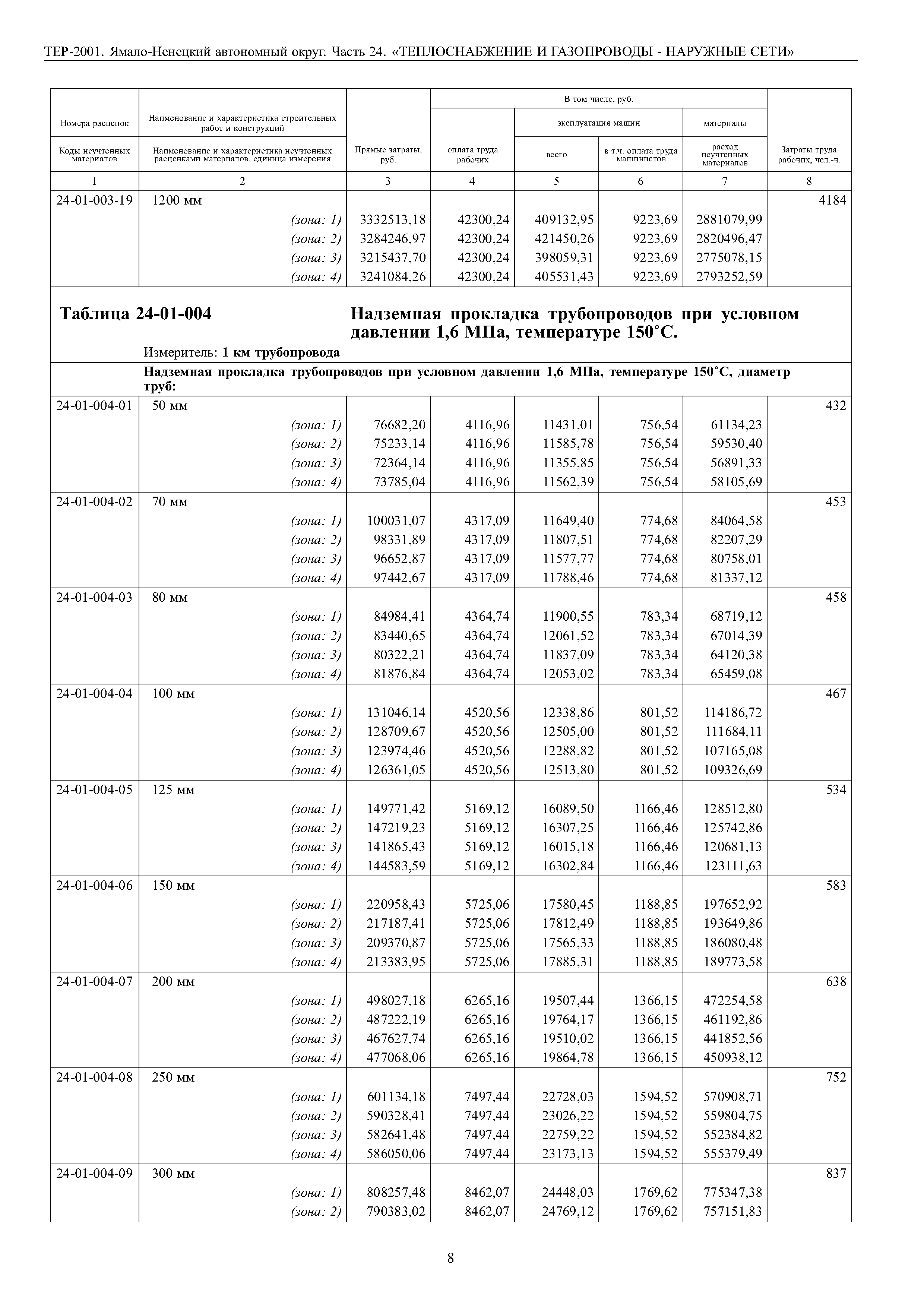
Часть 24. Теплоснабжение и газопроводы - наружные сети. Территориальные единичные расценки на строительные и специальные строительные работыОбозначение: | ТЕР Ямало-Ненецкий автономный округ 24-2001 | Обозначение англ: | 24-2001 | Статус: | действует | Название рус.: | Часть 24. Теплоснабжение и газопроводы - наружные сети. Территориальные единичные расценки на строительные и специальные строительные работы | Дата добавления в базу: | 01.10.2014 | Дата актуализации: | 05.05.2017 | Оглавление: | Раздел 1. Теплоснабжение - наружные сети Таблица 24-01-001 Прокладка трубопроводов в каналах и надземная при условном давлении 0,6 Мпа, температуре 115 [Р]1еа8ет8ег*т*оргеатЫе] градусов Цельсия Таблица 24-01-002 Прокладка трубопроводов в непроходном канале при условном давлении 1,6 Мпа, температуре 1500 градусов Цельсия Таблица 24-01-003 Прокладка трубопроводов в проходном канале при условном давлении 1,6 Мпа, температуре 1500 градусов Цельсия Таблица 24-01-004 Надземная прокладка трубопроводов при условном давлении 1,6 Мпа, температуре 1500 градусов Цельсия Таблица 24-01-005 Прокладка трубопроводов в непроходном канале при условном давлении 2,5 Мпа, температуре 300 градусов Цельсия Таблица 24-01-006 Прокладка трубопроводов в проходном канале при условном давлении 2,5 Мпа, температуре 3000 градусов Цельсия Таблица 24-01-007 Надземная прокладка трубопроводов при условном давлении 2,5 Мпа, температуре 300 градусов Цельсия Таблица 24-01-008 Прокладка трубопроводов в непроходном канале в изоляции из пенополиуретана (ППУ) при условном давлении 1,6 Мпа, температуре 150 градусов Цельсия Таблица 24-01-009 Надземная прокладка трубопроводов в изоляции из пенополиуретана (ППУ) при условном давлении 1,6 Мпа, температуре 150 градусов Цельсия Таблица 24-01-010 Подвальная прокладка трубопроводов в изоляции из пенополиуретана (ППУ) с изоляцией стыков при условном давлении 1,6 Мпа, температуре 150 градусов Цельсия Таблица 24-01-017 Бесканальная прокладка трубопроводов в битумоперлитовой изоляции при условном давлении 1,6 Мпа, температуре 150 градусов Цельсия Таблица 24-01-018 Бесканальная прокладка подающих и обратных трубопроводов диаметром до 250 мм в армопенобетонной изоляции при условном давлении 1,6 Мпа, температуре 150 градусов Цельсия Таблица 24-01-019 Бесканальная прокладка подающих и обратных трубопроводов диаметром свыше 300 мм в армопенобетонной изоляции при условном давлении 1,6 Мпа, температуре 150 градусов Цельсия Таблица 24-01-020 Бесканальная прокладка трубопроводов в изоляции из пенополиуретана (ППУ) с изоляцией стыков скорлупами при условном давлении 1,6 Мпа, температуре 1500 градусов Цельсия Таблица 24-01-021 Бесканальная прокладка трубопроводов в изоляции из пенополиуретана (ППУ) с изоляцией стыков методом заливки при условном давлении 1,6 Мпа, температуре 150 градусов Цельсия Таблица 24-01-027 Установка сальниковых компенсаторов Таблица 24-01-028 Установка П-образных компенсаторов Таблица 24-01-029 Установка сильфонных компенсаторов с несъемным кожухом Таблица 24-01-032 Установка задвижек или клапанов стальных для горячей воды и пара Таблица 24-01-033 Установка вентилей и клапанов обратных муфтовых Таблица 24-01-034 Установка грязевиков Раздел 2. Газопроводы городов и поселков Таблица 24-02-001 Сварка «встык» полиэтиленовых труб нагревательным элементом Таблица 24-02-002 Сварка полиэтиленовых труб при помощи соединительных деталей с закладными нагревателями. . Таблица 24-02-003 Выравнивание концов полиэтиленовых труб Таблица 24-02-004 Механическая резка полиэтиленовых труб Таблица 24-02-005 Установка отвода на газопроводе из полиэтиленовых труб в горизонтальной плоскости Таблица 24-02-006 Установка тройника на газопроводе из полиэтиленовых труб в горизонтальной плоскости Таблица 24-02-007 Установка седелок крановых полиэтиленовых с закладными нагревателями на газопроводе из полиэтиленовых труб Таблица 24-02-020 Изоляция термоусаживающимися лентами сварных стыков газопроводов Таблица 24-02-021 Изоляция комбинированным мастично-ленточным материалом типа ленты «Лиам» сварных стыков газопроводов Таблица 24-02-030 Укладка в траншею изолированных стальных газопроводов Таблица 24-02-031 Укладка газопроводов из полиэтиленовых труб в траншею со стационарно установленного барабана. Таблица 24-02-032 Укладка газопроводов из полиэтиленовых труб в траншею с подвижного барабана Таблица 24-02-033 Опрессовка полиэтиленовых труб на барабане Таблица 24-02-034 Укладка газопроводов из одиночных полиэтиленовых труб в траншею Таблица 24-02-040 Монтаж металлических опор для надземной прокладки стальных газопроводов Таблица 24-02-041 Надземная прокладка стальных газопроводов на металлических опорах Таблица 24-02-050 Сборка и установка узла газового крана в колодцах Таблица 24-02-051 Монтаж задвижки стальной фланцевой для надземной установки на газопроводах Таблица 24-02-052 Монтаж задвижки стальной с торцами под приварку для надземной установки на газопроводах. . . Таблица 24-02-060 Устройство цокольного ввода газопровода из стальных труб в здание Таблица 24-02-061 Устройство цокольного ввода газопровода из полиэтиленовых труб в здание Таблица 24-02-070 Установка конденсатосборника на наружных сетях газопроводов Таблица 24-02-071 Установка гидравлического затвора на наружных сетях газопроводов Таблица 24-02-072 Установка двухлинзового компенсатора на газопроводах Таблица 24-02-080 Установка газовых свечей Таблица 24-02-081 Устройство контрольной трубки на кожухе перехода газопровода Таблица 24-02-090 Врезка штуцером в действующие стальные газопроводы низкого давления под газом со снижением давления Таблица 24-02-091 Врезка муфтой в действующие стальные газопроводы низкого давления под газом со снижением давления Таблица 24-02-092 Врезка штуцером в действующие стальные газопроводы низкого давления под газом без снижения давления Таблица 24-02-093 Врезка патрубком в действующие стальные газопроводы низкого давления под газом со снижением давления Таблица 24-02-100 Отключение и заглушка под газом действующих стальных газопроводов Таблица 24-02-101 Установка и снятие передавливателей для отключения газопроводов из полиэтиленовых труб Таблица 24-02-102 Перекрытие полиэтиленовой трубы с помощью системы «POLYSTOPP» Таблица 24-02-110 Установка и монтаж контрольно-измерительного пункта, электрода сравнения на газопроводах городов и поселков Таблица 24-02-111 Установка станции катодной защиты с устройством защитного заземления Таблица 24-02-112 Монтаж узла присоединения дренажной станции к рельсам Таблица 24-02-113 Устройство глубинного анодного заземлителя глубиной 50 м при сооружении электрохимической защиты подземных стальных газопроводов в населенных пунктах Таблица 24-02-120 Очистка полости трубопровода продувкой воздухом Таблица 24-02-121 Монтаж инвентарного узла для очистки и испытания газопровода Таблица 24-02-122 Подъем давления при испытании воздухом газопроводов низкого и среднего давления Таблица 24-02-123 Подъем давления при испытании воздухом газопроводов высокого давления Таблица 24-02-124 Выдержка газопровода под давлением до 0,6 Мпа при испытании на прочность и герметичность. . Таблица 24-02-125 Выдержка газопровода под давлением от 0,6 до 1,2 Мпа при испытании на прочность и герметичность Раздел 3. Золошлакопроводы Таблица 24-03-001 Укладка лежневых опор для золошлакопроводов из сборных железобетонных элементов Таблица 24-03-002 Укладка золошлакопроводов из стальных труб Таблица 24-03-003 Приварка фасонных сварных стальных частей золошлакопроводов | Разработан: | Сибирский центр ценообразования в строительстве, промышленности и энергетике
| Утверждён: | 13.10.2011 Правительство Ямало-Ненецкого автономного округа (755-п)
| Принят: | 05.07.2011 Министерство регионального развития Российской Федерации (17636-АП/08)
| Расположен в: |
|
                                                                     
|