Информационная система
«Ёшкин Кот»

Скачать базу одним архивом
Скачать обновления
История создания базы
Карта сайта

Скачать ТЕР Ямало-Ненецкий автономный округ 23-2001 Часть 23. Канализация - наружные сети. Территориальные единичные расценки на строительные и специальные строительные работы

Дата актуализации: 10.08.2017

ТЕР Ямало-Ненецкий автономный округ 23-2001

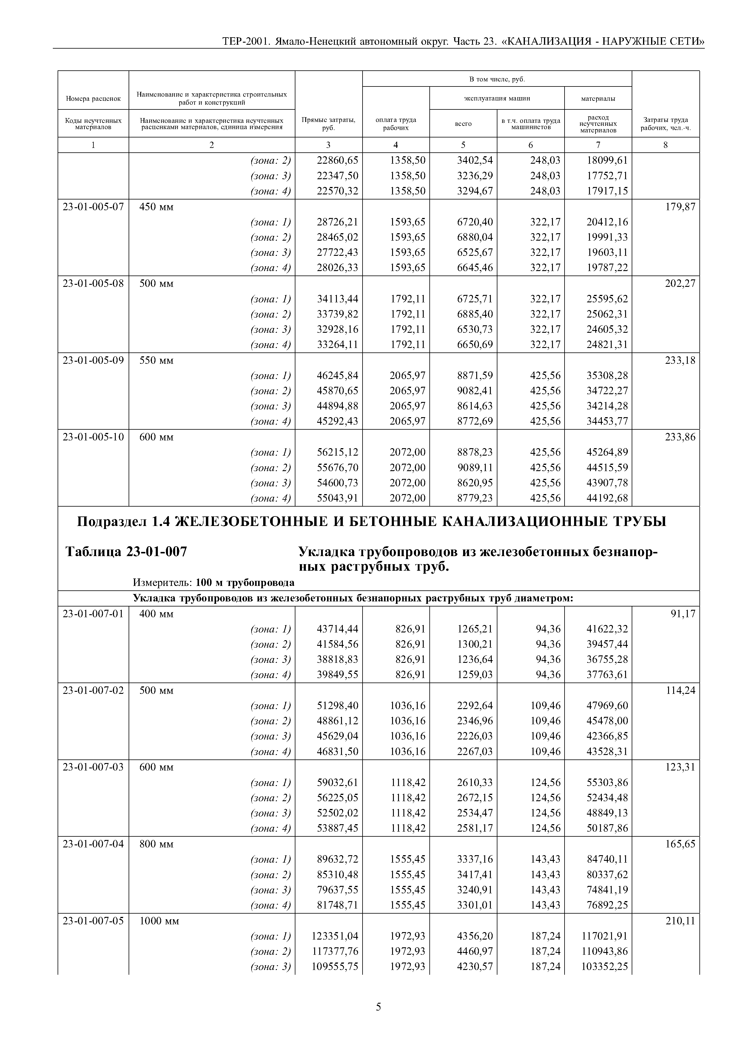
Часть 23. Канализация - наружные сети. Территориальные единичные расценки на строительные и специальные строительные работы

Обозначение: ТЕР Ямало-Ненецкий автономный округ 23-2001
Обозначение англ: 23-2001
Статус:действует
Название рус.:Часть 23. Канализация - наружные сети. Территориальные единичные расценки на строительные и специальные строительные работы
Дата добавления в базу:01.10.2014
Дата актуализации:05.05.2017
Область применения:Территориальные единичные расценки на строительные и специальные строительные работы предназначены для определения затрат при выполнении строительных работ и составления на их основе сметных расчетов (смет) на производство указанных работ.
Оглавление:Часть 23. Канализация - наружные сети
Раздел 1. Укладка трубопроводов и устройство коллекторов
   Таблица 23-01-001 Устройство основания под трубопроводы
   Таблица 23-01-003 Укладка трубопроводов из асбестоцементных безнапорных труб
   Таблица 23-01-005 Укладка трубопроводов из керамических канализационных труб
   Таблица 23-01-007 Укладка трубопроводов из железобетонных безнапорных раструбных труб
   Таблица 23-01-008 Укладка трубопроводов из бетонных раструбных труб
   Таблица 23-01-009 Укладка трубопроводов из железобетонных безнапорных фальцевых труб с жестким соединением
   Таблица 23-01-010 Укладка трубопроводов из железобетонных безнапорных фальцевых труб большого диаметра с жестким соединением
   Таблица 23-01-011 Укладка трубопроводов из железобетонных безнапорных фальцевых труб с гибким соединением
   Таблица 23-01-012 Укладка трубопроводов из бетонных фальцевых труб с жестким соединением
   Таблица 23-01-013 Укладка трубопроводов из бетонных фальцевых труб с гибким соединением
   Таблица 23-01-017 Устройство коллекторов для подземных коммуникаций прямоугольных сборных железобетонных
   Таблица 23-01-020 Укладка канализационных безнапорных раструбных труб из поливинилхлорида (ПВХ)
   Таблица 23-01-030 Укладка безнапорных трубопроводов из полиэтиленовых труб
Раздел 2. Гидроизоляция бетонных и железобетонных труб
   Таблица 23-02-00 1 Покрытие битумной мастикой бетонных и железобетонных труб
   Таблица 23-02-002 Покрытие битумной мастикой бетонных и железобетонных труб диаметром более 1400 мм
Раздел 3. Колодцы канализационные
   Таблица 23-03-001 Устройство круглых сборных железобетонных канализационных колодцев
   Таблица 23-03-002 Устройство круглых кирпичных канализационных колодцев с покрытием из сборного железобетона.
   Таблица 23-03-003 Устройство круглых кирпичных канализационных колодцев с конусным переходом к горловине
   Таблица 23-03-004 Устройство колодцев канализационных прямоугольных кирпичных
   Таблица 23-03-005 Устройство круглых бетонных монолитных канализационных колодцев
   Таблица 23-03-006 Устройство прямоугольных бетонных монолитных канализационных колодцев
   Таблица 23-03-007 Устройство круглых дождеприемных колодцев для дождевой канализации
Раздел 4. Прочие работы
   Таблица 23-04-001 Устройство фильтрующего основания под иловые площадки и поля фильтрации
   Таблица 23-04-004 Укладка на иловых площадках труб керамических дренажных
   Таблица 23-04-005 Укладка на иловых площадках труб асбестоцементных дренажных
   Таблица 23-04-008 Присоединение канализационных трубопроводов к существующей сети
   Таблица 23-04-011 Установка люка
Разработан: Сибирский центр ценообразования в строительстве, промышленности и энергетике
Утверждён:13.10.2011 Правительство Ямало-Ненецкого автономного округа (755-п)
Принят:05.07.2011 Министерство регионального развития Российской Федерации (17636-АП/08)
Расположен в:Техническая документация Строительство Нормативные документы Нормативные документы субъектов Российской Федерации Нормативные документы Ямало-Ненецкого автономного округа Документы Системы нормативных документов в строительстве Нормативные документы по экономике к.81 Ценообразование и сметы Классификатор ISO Нормативные документы по экономике Ценообразование и сметы
ТЕР Ямало-Ненецкий автономный округ 23-2001ТЕР Ямало-Ненецкий автономный округ 23-2001ТЕР Ямало-Ненецкий автономный округ 23-2001ТЕР Ямало-Ненецкий автономный округ 23-2001ТЕР Ямало-Ненецкий автономный округ 23-2001ТЕР Ямало-Ненецкий автономный округ 23-2001ТЕР Ямало-Ненецкий автономный округ 23-2001ТЕР Ямало-Ненецкий автономный округ 23-2001ТЕР Ямало-Ненецкий автономный округ 23-2001ТЕР Ямало-Ненецкий автономный округ 23-2001ТЕР Ямало-Ненецкий автономный округ 23-2001ТЕР Ямало-Ненецкий автономный округ 23-2001ТЕР Ямало-Ненецкий автономный округ 23-2001ТЕР Ямало-Ненецкий автономный округ 23-2001ТЕР Ямало-Ненецкий автономный округ 23-2001ТЕР Ямало-Ненецкий автономный округ 23-2001ТЕР Ямало-Ненецкий автономный округ 23-2001ТЕР Ямало-Ненецкий автономный округ 23-2001ТЕР Ямало-Ненецкий автономный округ 23-2001ТЕР Ямало-Ненецкий автономный округ 23-2001ТЕР Ямало-Ненецкий автономный округ 23-2001ТЕР Ямало-Ненецкий автономный округ 23-2001ТЕР Ямало-Ненецкий автономный округ 23-2001ТЕР Ямало-Ненецкий автономный округ 23-2001ТЕР Ямало-Ненецкий автономный округ 23-2001ТЕР Ямало-Ненецкий автономный округ 23-2001

© 2013 Ёшкин Кот :-) Карта сайта