Информационная система
«Ёшкин Кот»

Скачать базу одним архивом
Скачать обновления
История создания базы
Карта сайта

Скачать ГОСТ Р ИСО/МЭК 11179-3-2012 Информационная технология. Регистры метаданных (РМД). Часть 3. Метамодель регистра и основные атрибуты

Дата актуализации: 10.08.2017

ГОСТ Р ИСО/МЭК 11179-3-2012

Информационная технология. Регистры метаданных (РМД). Часть 3. Метамодель регистра и основные атрибуты

Обозначение: ГОСТ Р ИСО/МЭК 11179-3-2012
Обозначение англ: GOST R ISO/IEC 11179-3-2012
Статус:действует
Название рус.:Информационная технология. Регистры метаданных (РМД). Часть 3. Метамодель регистра и основные атрибуты
Название англ.:Information technology. Metadata registries (MDR). Part 3. Registry metamodel and basic attributes
Дата добавления в базу:01.10.2014
Дата актуализации:05.05.2017
Дата введения:01.01.2014
Область применения:Стандарт предназначен для спецификации структуры Системы регистрации метаданных. В нем также специфицированы основные атрибуты, которые требуются для описания элементов метаданных и которые могут быть использованы в ситуациях, когда полная система регистрации метаданных не применима (например, в спецификациях других международных стандартов).
Оглавление:1 Область применения
   1.1 Назначение и область применения — структура Системы регистрации метаданных
   1.2 Назначение и область применения — основные атрибуты элементов метаданных
   1.3 Назначение и область применения — вопросы, не охваченные настоящим стандартом
   1.4 Примеры областей применения
2 Нормативные ссылки
3 Термины и определения
   3.1 Определения конструкций метамодели
   3.2 Общие термины, использованные в настоящем стандарте
   3.3 Перечень объектов метаданных в метамодели
   3.4 Список сокращений
4 Структура Системы регистрации метаданных
   4.1 Метамодель Системы регистрации метаданных
   4.2 Приложения метамодели
   4.3 Спецификация метамодели
   4.4 Типы, экземпляры и значения
   4.5 Расширяемость
   4.6 Указания дат
   4.7 Описание метамодели
      4.7.1 Общие возможности
   4.8 Область Администрирования и Идентификации
   4.9 Область Наименования и Определения
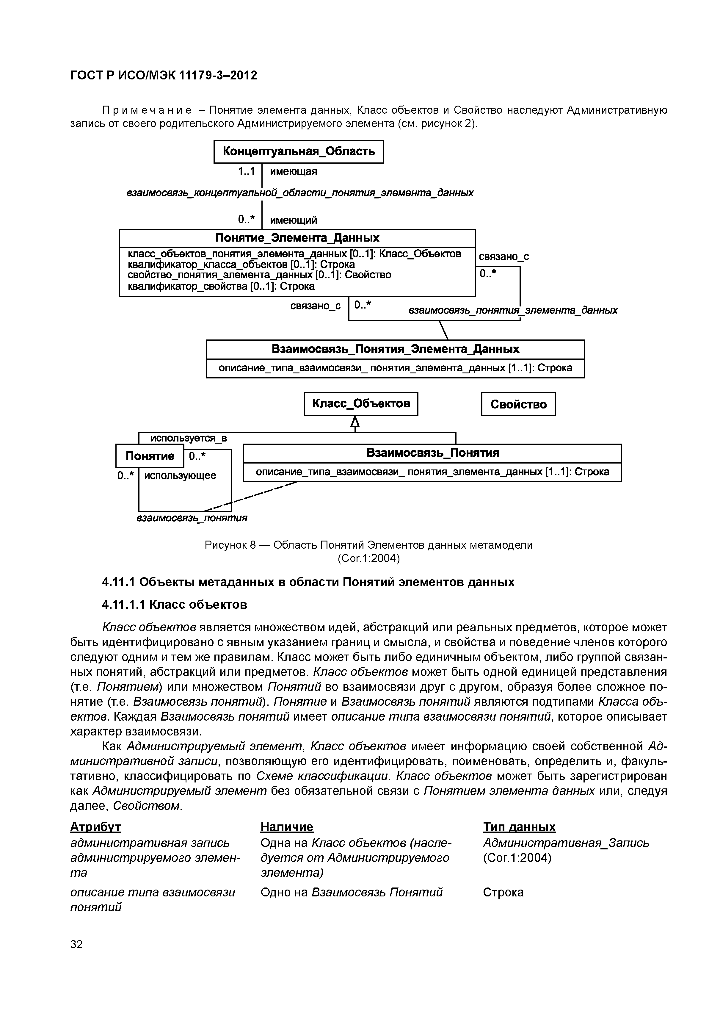
   4.11 Область Понятий элементов данных
   4.12 Концептуальная область и Область значений
   4.13 Область элемента данных
   4.14 Консолидированная метамодель
5 Базовые атрибуты
   5.1 Использование базовых атрибутов
   5.2 Общие атрибуты
   5.3 Атрибуты, специфические для Понятий элементов данных
   5.4 Атрибуты, специфические для Элементов данных
   5.5 Атрибуты, специфические для Концептуальных областей
   5.6 Атрибуты, специфические для Областей значений
   5.7 Атрибуты, специфические для допустимых значений
   5.8 Атрибуты, специфические для Смыслов значений
6 Соответствие
   6.1 Степень соответствия
   6.2 Уровни соответствия
   6.3 Обязательства
   6.4 Соответствие предшествующим редакциям настоящего стандарта
   6.5 Заявление о соответствии реализации (ЗСР)
   6.6 Роли и ответственности при регистрации
Приложение А (справочное) Алфавитный перечень терминов
Приложение В (справочное) Нотация моделирования
   В.1 Символы моделирования
Приложение С (справочное) Отображение базовых атрибутов ИСО/МЭК 11179-3:1994 в метамодель и базовые атрибуты ИСО/МЭК 11179-3:2002
   С.1 Введение
   С.2 Отображение базовых атрибутов
Приложение ДА (справочное) Сведения о соответствии ссылочных международных стандартов ссылочным национальным стандартам Российской Федерации
Библиография
Разработан: ФГУП ГосНИИ ТЕСТ
Утверждён:24.09.2012 Федеральное агентство по техническому регулированию и метрологии (414-ст)
Издан: Стандартинформ (2014 г. )
Расположен в:Техническая документация Электроэнергия ИНФОРМАЦИОННЫЕ ТЕХНОЛОГИИ. МАШИНЫ КОНТОРСКИЕ Наборы знаков и кодирование информации Экология ИНФОРМАЦИОННЫЕ ТЕХНОЛОГИИ. МАШИНЫ КОНТОРСКИЕ Наборы знаков и кодирование информации
Нормативные ссылки:
ГОСТ Р ИСО/МЭК 11179-3-2012ГОСТ Р ИСО/МЭК 11179-3-2012ГОСТ Р ИСО/МЭК 11179-3-2012ГОСТ Р ИСО/МЭК 11179-3-2012ГОСТ Р ИСО/МЭК 11179-3-2012ГОСТ Р ИСО/МЭК 11179-3-2012ГОСТ Р ИСО/МЭК 11179-3-2012ГОСТ Р ИСО/МЭК 11179-3-2012ГОСТ Р ИСО/МЭК 11179-3-2012ГОСТ Р ИСО/МЭК 11179-3-2012ГОСТ Р ИСО/МЭК 11179-3-2012ГОСТ Р ИСО/МЭК 11179-3-2012ГОСТ Р ИСО/МЭК 11179-3-2012ГОСТ Р ИСО/МЭК 11179-3-2012ГОСТ Р ИСО/МЭК 11179-3-2012ГОСТ Р ИСО/МЭК 11179-3-2012ГОСТ Р ИСО/МЭК 11179-3-2012ГОСТ Р ИСО/МЭК 11179-3-2012ГОСТ Р ИСО/МЭК 11179-3-2012ГОСТ Р ИСО/МЭК 11179-3-2012ГОСТ Р ИСО/МЭК 11179-3-2012ГОСТ Р ИСО/МЭК 11179-3-2012ГОСТ Р ИСО/МЭК 11179-3-2012ГОСТ Р ИСО/МЭК 11179-3-2012ГОСТ Р ИСО/МЭК 11179-3-2012ГОСТ Р ИСО/МЭК 11179-3-2012ГОСТ Р ИСО/МЭК 11179-3-2012ГОСТ Р ИСО/МЭК 11179-3-2012ГОСТ Р ИСО/МЭК 11179-3-2012ГОСТ Р ИСО/МЭК 11179-3-2012ГОСТ Р ИСО/МЭК 11179-3-2012ГОСТ Р ИСО/МЭК 11179-3-2012ГОСТ Р ИСО/МЭК 11179-3-2012ГОСТ Р ИСО/МЭК 11179-3-2012ГОСТ Р ИСО/МЭК 11179-3-2012ГОСТ Р ИСО/МЭК 11179-3-2012ГОСТ Р ИСО/МЭК 11179-3-2012ГОСТ Р ИСО/МЭК 11179-3-2012ГОСТ Р ИСО/МЭК 11179-3-2012ГОСТ Р ИСО/МЭК 11179-3-2012ГОСТ Р ИСО/МЭК 11179-3-2012ГОСТ Р ИСО/МЭК 11179-3-2012ГОСТ Р ИСО/МЭК 11179-3-2012ГОСТ Р ИСО/МЭК 11179-3-2012ГОСТ Р ИСО/МЭК 11179-3-2012ГОСТ Р ИСО/МЭК 11179-3-2012ГОСТ Р ИСО/МЭК 11179-3-2012ГОСТ Р ИСО/МЭК 11179-3-2012ГОСТ Р ИСО/МЭК 11179-3-2012ГОСТ Р ИСО/МЭК 11179-3-2012ГОСТ Р ИСО/МЭК 11179-3-2012ГОСТ Р ИСО/МЭК 11179-3-2012ГОСТ Р ИСО/МЭК 11179-3-2012ГОСТ Р ИСО/МЭК 11179-3-2012ГОСТ Р ИСО/МЭК 11179-3-2012ГОСТ Р ИСО/МЭК 11179-3-2012ГОСТ Р ИСО/МЭК 11179-3-2012ГОСТ Р ИСО/МЭК 11179-3-2012ГОСТ Р ИСО/МЭК 11179-3-2012ГОСТ Р ИСО/МЭК 11179-3-2012ГОСТ Р ИСО/МЭК 11179-3-2012ГОСТ Р ИСО/МЭК 11179-3-2012ГОСТ Р ИСО/МЭК 11179-3-2012ГОСТ Р ИСО/МЭК 11179-3-2012ГОСТ Р ИСО/МЭК 11179-3-2012ГОСТ Р ИСО/МЭК 11179-3-2012ГОСТ Р ИСО/МЭК 11179-3-2012ГОСТ Р ИСО/МЭК 11179-3-2012ГОСТ Р ИСО/МЭК 11179-3-2012ГОСТ Р ИСО/МЭК 11179-3-2012ГОСТ Р ИСО/МЭК 11179-3-2012ГОСТ Р ИСО/МЭК 11179-3-2012ГОСТ Р ИСО/МЭК 11179-3-2012ГОСТ Р ИСО/МЭК 11179-3-2012ГОСТ Р ИСО/МЭК 11179-3-2012ГОСТ Р ИСО/МЭК 11179-3-2012ГОСТ Р ИСО/МЭК 11179-3-2012ГОСТ Р ИСО/МЭК 11179-3-2012ГОСТ Р ИСО/МЭК 11179-3-2012

© 2013 Ёшкин Кот :-) Карта сайта