Скачать ГОСТ Р ИСО 16100-4-2010 Системы промышленной автоматизации и интеграция. Профилирование возможности интероперабельности промышленных программных средств. Часть 4. Методы аттестационных испытаний, критерии и отчетыДата актуализации: 10.08.2017 ГОСТ Р ИСО 16100-4-2010
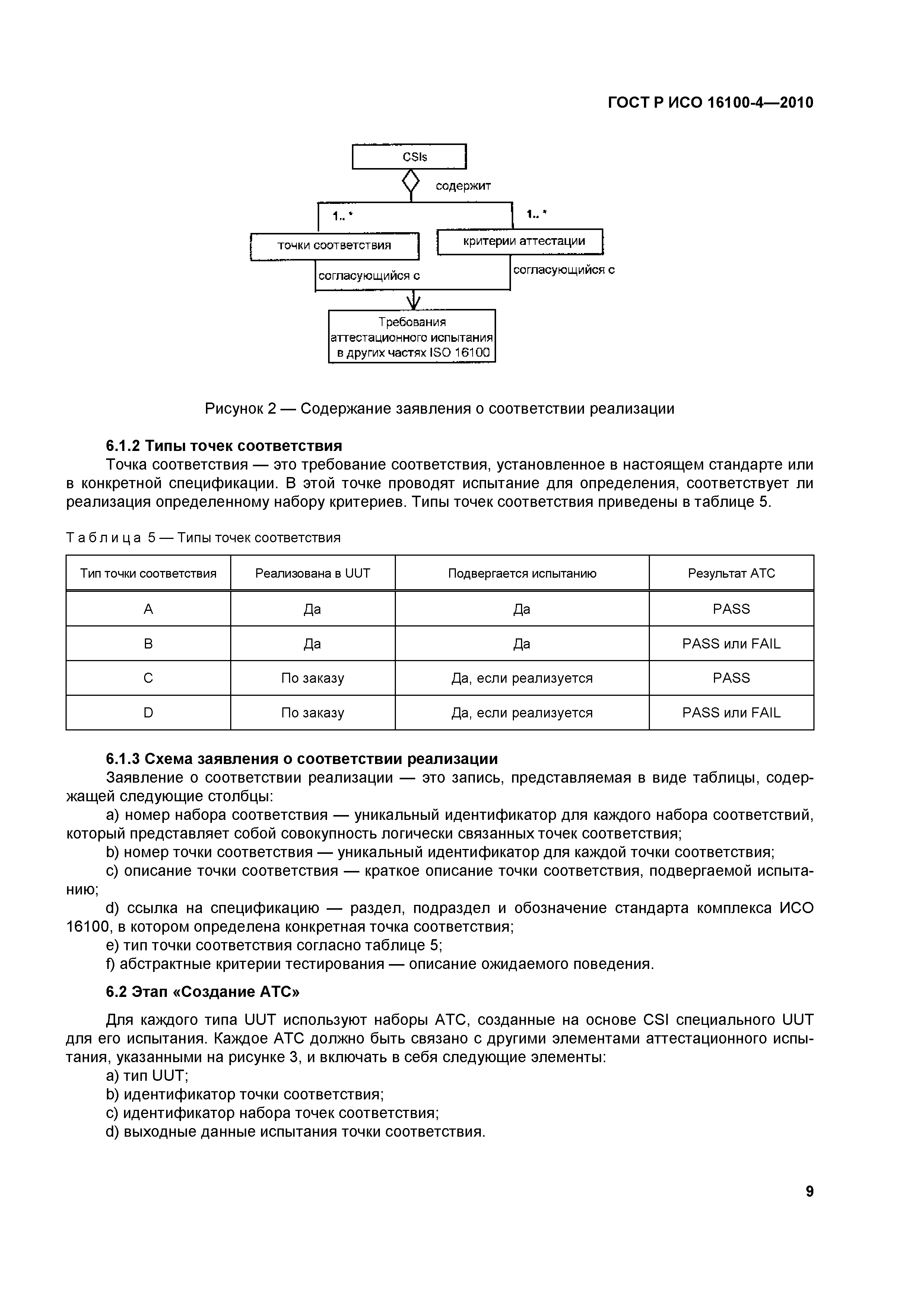
Системы промышленной автоматизации и интеграция. Профилирование возможности интероперабельности промышленных программных средств. Часть 4. Методы аттестационных испытаний, критерии и отчетыОбозначение: | ГОСТ Р ИСО 16100-4-2010 | Обозначение англ: | GOST R ISO 16100-4-2010 | Статус: | введен впервые | Название рус.: | Системы промышленной автоматизации и интеграция. Профилирование возможности интероперабельности промышленных программных средств. Часть 4. Методы аттестационных испытаний, критерии и отчеты | Название англ.: | Industrial automation systems and integration. Manufacturing software capability profiling for interoperability. Part 4. Conformance test methods, criteria and reports Interface | Дата добавления в базу: | 21.05.2015 | Дата актуализации: | 05.05.2017 | Дата введения: | 01.09.2011 | Область применения: | Стандарт устанавливает метод испытаний, ассоциированные тестовые критерии и формат заявления, предназначенные для проведения оценки и указания степени соответствия испытуемого объекта (UUT) требованиям, установленным в других стандартах комплекса ИСО 16100. Стандарт распространяется на: - аспекты соответствия, предназначенные для установления соответствия испытуемого объекта требованиям комплекса стандартов ИСО 16100; - описание аттестационных испытаний и заявлений, используемых при декларировании аспектов, соответствующих требованиям реализации; - описание аспектов, включаемых в заявление о соответствии; - набор правил, необходимых для выбора действительных и недействительных комбинаций аспектов при их объединении. Стандарт не распространяется на: - вопросы, относящиеся к меткам или этикеткам соответствия, сертификатам соответствия или декларациям производителей или поставщиков о соответствии; - дату реализации или распределение обязанностей между сторонами, использующими комплекс стандартов ИСО 16100; - требования, предъявляемые к процедурам производства, использования или доставки, если невозможно адекватно определить продукт, процесс или сервис, которые соответствуют техническим требованиям; - требования, предъявляемые к контролю качества во время производства, использования или доставки продукции, процесса или сервиса. | Оглавление: | 1 Область применения 2 Нормативные ссылки 3 Термины и определения 4 Сокращения 5 Структура соответствия 5.1 Испытание на соответствие 5.2 Типы испытуемых объектов 5.3 Методология аттестационного испытания 6 Проведение аттестационного испытания 6.1 Этап "Создание CSI" 6.2 Этап "Создание ATC" 6.3 Этап "Создание ETC" 6.4 Этап "Тестирование UUT" 7 Соответствие испытуемых объектов 7.1 Соответствие структуры класса возможностей 7.2 Соответствие шаблона возможности 7.3 Соответствие профиля возможности 7.4 Соответствие профиля возможности механизма обнаружения совпадений Приложение А (справочное) Аттестационное испытание профиля возможности Приложение В (справочное) Аттестационное испытание механизма обнаружения совпадений типа 1 Приложение ДА (справочное) Сведения о соответствии ссылочных международных стандартов ссылочным национальным стандартам Российской Федерации Библиография | Разработан: | НТЦ ИНТЕК
| Утверждён: | 21.12.2010 Федеральное агентство по техническому регулированию и метрологии (856-ст)
| Издан: | Стандартинформ (2014 г. )
| Расположен в: |
| Список изменений: | |
                                       
Текстовое изменение Поправка от 04.03.2015
|