| ||||||||||||||||||||||||||||||||||||
Скачать ГОСТ Р МЭК 60921-2011 Устройства управления лампами. Аппараты пускорегулирующие для люминесцентных ламп. Требования к рабочим характеристикамДата актуализации: 10.08.2017
|
| Обозначение: | ГОСТ Р МЭК 60921-2011 |
| Обозначение англ: | GOST R IEC 60921-2011 |
| Статус: | действует |
| Название рус.: | Устройства управления лампами. Аппараты пускорегулирующие для люминесцентных ламп. Требования к рабочим характеристикам |
| Название англ.: | Lamp controlgear. Ballasts for fluorescent lamps. Performance requirements |
| Дата добавления в базу: | 01.10.2014 |
| Дата актуализации: | 05.05.2017 |
| Дата введения: | 01.01.2013 |
| Область применения: | Стандарт устанавливает требования к рабочим характеристикам пускорегулирующих аппаратов (далее - ПРА), кроме ПРА резисторного типа, питаемых от источников переменного тока напряжением до 1000 В частотой 50 или 60 Гц, работающих с люминесцентными лампами с предварительным подогревом электродов, со стартером или без него, или с зажигающими устройствами, имеющими номинальные мощности, размеры и характеристики, указанные в стандартах МЭК 60081 и МЭК 60901. Стандарт распространяется на укомплектованные пускорегулирующих аппаратов и их компоненты: резисторы, трансформаторы и конденсаторы. Стандарт не распространяется на электронные пускорегулирующие аппараты переменного тока по МЭК 61347-2-3 для люминесцентных ламп, работающих на высокой частоте. |
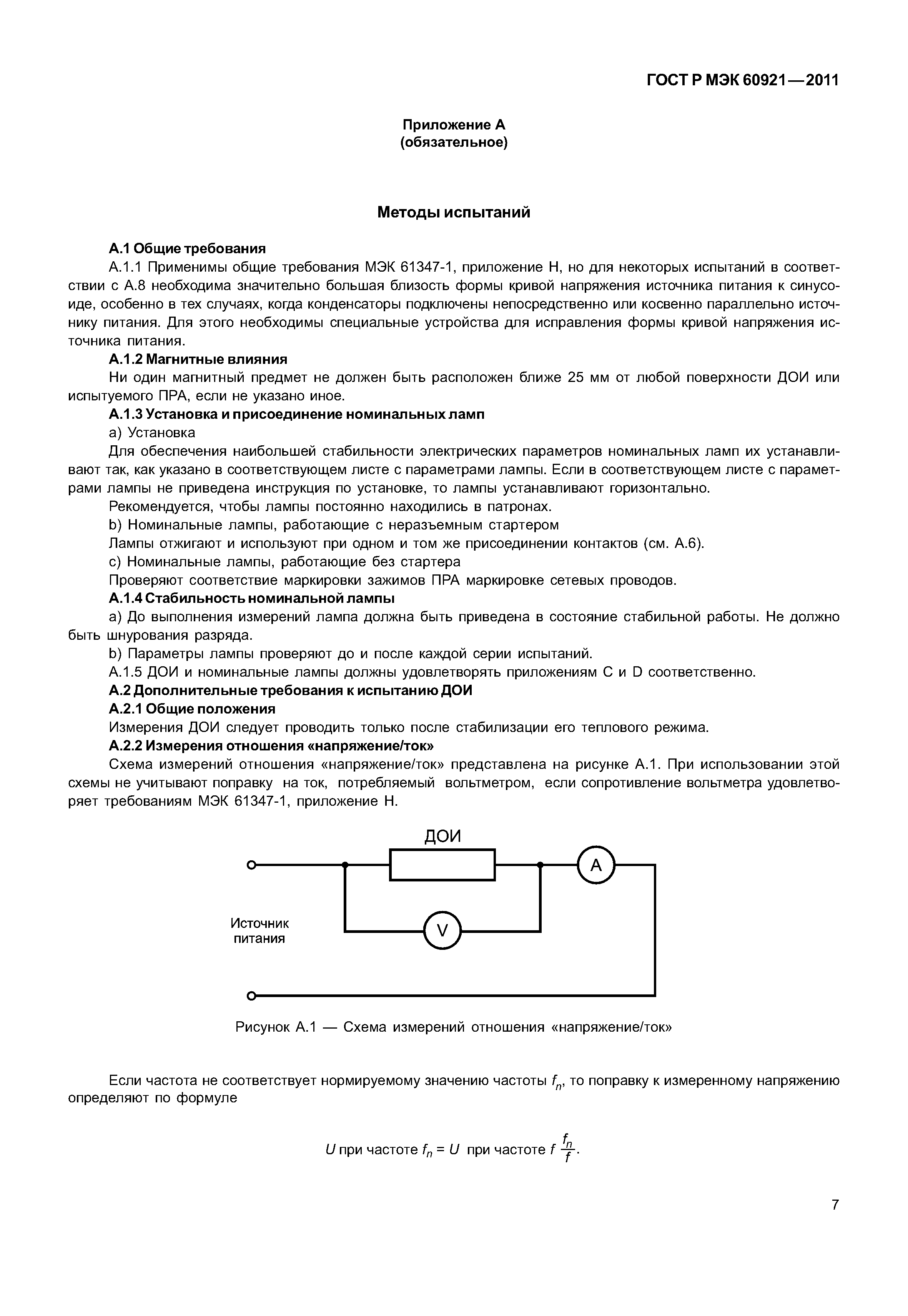
| Оглавление: | 1 Область применения 2 Нормативные ссылки 3 Термины и определения 4 Общие указания по испытаниям 5 Маркировка 6 Напряжение на зажимах лампы или стартера (при наличии) 6.1 Для ламп, работающих со стартером 6.2 Для ламп, работающих без стартера 6.3 Для ламп, работающих без стартера (североамериканская практика) 6.4 Максимальное (действующее) напряжение на зажимах стартера при работающей лампе 6.5 Для ламп, работающих со встроенными средствами зажигания 7 Условия предварительного подогрева 7.1 Для ламп, работающих со встроенным стартером 7.2 Для ламп, работающих без стартера 7.3 Для ламп, работающих без стартера (североамериканская практика) 8 Мощность и ток лампы 8.1 Для ламп, работающих со встроенным стартером 8.2 Для ламп, работающих без стартера 9 Коэффициент мощности схемы 10 Ток, потребляемый из сети 11 Максимальный ток в любом выводе электродов 12 Форма кривой рабочего тока лампы 13 Защита от магнитных влияний 14 Полное сопротивление на звуковых частотах Приложение А (обязательное) Методы испытаний Приложение В (справочное) Работа двух последовательно соединенных люминесцентных ламп Приложение С (обязательное) Дроссели образцовые измерительные Приложение D (обязательное) Номинальные лампы Приложение ДА (справочное) Сведения о соответствии ссылочных международных стандартов ссылочным национальным стандартам Российской Федерации Библиография |
| Разработан: | ООО ВНИСИ |
| Утверждён: | 13.12.2011 Федеральное агентство по техническому регулированию и метрологии (1187-ст) |
| Издан: | Стандартинформ (2014 г. ) |
| Расположен в: | |
| Заменяет собой: | |
| Нормативные ссылки: |
|






















