| ||||||||||||||||||||||||||||||||
Скачать ОДМ 218.2.018-2012 Методические рекомендации по определению необходимого парка дорожно-эксплуатационной техники для выполнения работ по содержанию автомобильных дорог при разработке проектов содержания автомобильных дорогДата актуализации: 10.08.2017
|
| Обозначение: | ОДМ 218.2.018-2012 |
| Обозначение англ: | ODM 218.2.018-2012 |
| Статус: | действует |
| Название рус.: | Методические рекомендации по определению необходимого парка дорожно-эксплуатационной техники для выполнения работ по содержанию автомобильных дорог при разработке проектов содержания автомобильных дорог |
| Дата добавления в базу: | 01.10.2014 |
| Дата актуализации: | 05.05.2017 |
| Область применения: | Отраслевой дорожный методический документ устанавливает рекомендации по определению необходимого парка дорожно-эксплуатационной техники для выполнения работ по содержанию автомобильных дорог федерального значения при разработке проектов содержания автомобильных дорог. Методический документ предназначен для применения организациями (предприятиями) дорожного хозяйства России, осуществляющими разработку проектов содержания федеральных автомобильных дорог и искусственных сооружений на них. Он может быть использован при необходимости организациями (предприятиями) при содержании региональных, муниципальных, межмуниципальных и частных автомобильных дорог. |
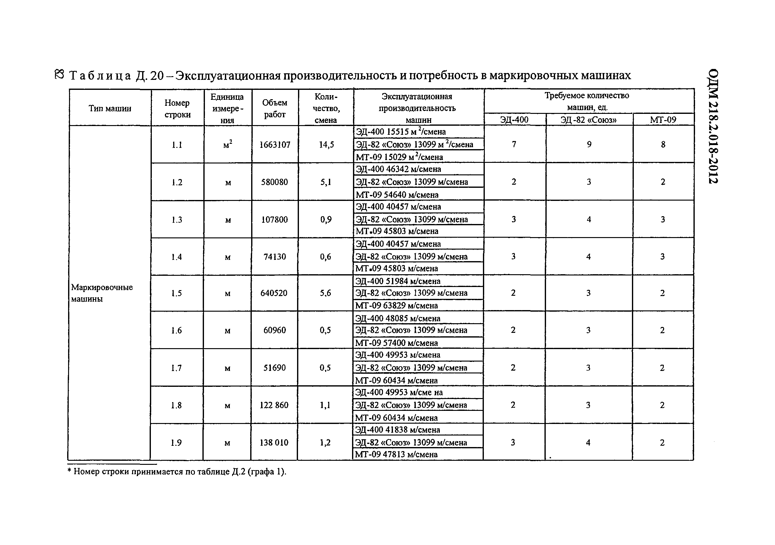
| Оглавление: | 1 Область применения 2 Нормативные ссылки 3 Термины и определения 4 Общие положения 5 Виды и технологии работ по содержанию автомобильных дорог 6 Определение объемов дорожных работ 7 Определение необходимого парка дорожно-эксплуатационной техники для выполнения работ по содержанию автомобильных дорог 8 Приложение А. Рекомендуемый оптимальный состав техники, используемой для содержания автомобильных дорог и искусственных сооружений на них 9 Приложение Б. Примеры типовых технологических схем по содержанию автомобильных дорог 10 Приложение В. Формы расчетных и сводных ведомостей для определения требуемого количества дорожных машин 11 Приложение Г. Основные технологические требования к дорожно-эксплуатационной технике, используемой для содержания автомобильных дорог и искусственных сооружений на них 12 Приложение Д. Пример расчета потребности дорожно-эксплуатационных машин для выполнения работ по содержанию автомобильных дорог (на примере ГУ Упрдор "Россия") Библиография |
| Разработан: | Росавтодор ВГАСУ ФГУП РОСДОРНИИ |
| Утверждён: | 25.04.2012 Федеральное дорожное агентство (203-р) |
| Издан: | Росавтодор (2013 г. ) |
| Расположен в: | |
| Заменяет собой: | |
| Нормативные ссылки: |
|


























































































