Информационная система
«Ёшкин Кот»

Скачать базу одним архивом
Скачать обновления
История создания базы
Карта сайта

Скачать ГОСТ Р 53556.1-2012 Звуковое вещание цифровое. Кодирование сигналов звукового вещания с сокращением избыточности для передачи по цифровым каналам связи. Часть 3 (MPEG-4 audio). Общие требования к кодированию

Дата актуализации: 10.08.2017

ГОСТ Р 53556.1-2012

Звуковое вещание цифровое. Кодирование сигналов звукового вещания с сокращением избыточности для передачи по цифровым каналам связи. Часть 3 (MPEG-4 audio). Общие требования к кодированию

Обозначение: ГОСТ Р 53556.1-2012
Обозначение англ: GOST R 53556.1-2012
Статус:действует
Название рус.:Звуковое вещание цифровое. Кодирование сигналов звукового вещания с сокращением избыточности для передачи по цифровым каналам связи. Часть 3 (MPEG-4 audio). Общие требования к кодированию
Название англ.:Sound broadcasting digital. Coding of signals of sound broadcasting with reduction of redundancy for transfer on digital communication channels. A part III (MPEG-4 audio). Main positions
Дата добавления в базу:01.10.2014
Дата актуализации:05.05.2017
Дата введения:01.09.2013
Область применения:Показатели, определенные настоящим документом, являются базовыми для профессиональной и бытовой аппаратуры - проигрывателей компакт-дисков, усилителей сигналов звуковой частоты и другого оборудования класса Hi-Fi. Универсальная и совместимая многоканальная звуковая система применима для спутникового и наземного телевизионного вещания, цифрового звукового вещания (наземного и спутникового).
Оглавление:1 Область применения
2 Нормативные ссылки
3 Термины, определения, символы и сокращения
   3.1 Термины и определения
   3.2 Символы и сокращения
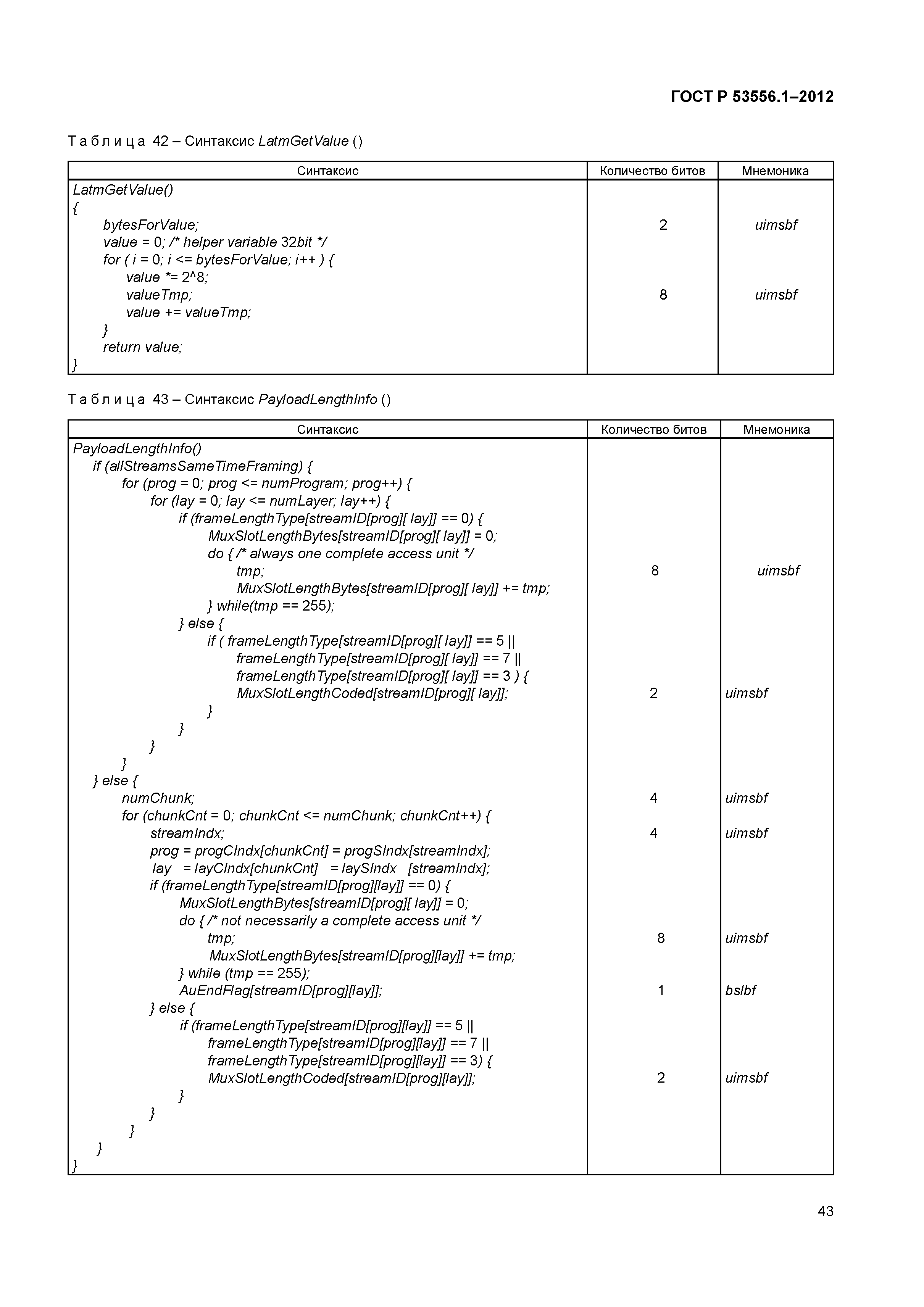
   3.3 Метод описания синтаксиса потока битов
   3.4 Арифметические типы данных
   3.5 Технический обзор
   3.6 Интерфейс МРЕG—4 Системы
   3.7 Транспортный поток МРЕG—4 Аудио
   3.8 Защита от ошибок
Приложение А (справочное) Форматы обмена аудиофайлами
Приложение Б (справочное) Инструмент защиты от ошибок
Библиография
Разработан: ФГУП ЛО ЦНИИС
Утверждён:20.11.2012 Федеральное агентство по техническому регулированию и метрологии (940-ст)
Издан: Стандартинформ (2014 г. )
Расположен в:Техническая документация Электроэнергия ТЕЛЕКОММУНИКАЦИИ. АУДИО-И ВИДЕОТЕХНИКА Теле- и радиовещание Экология ТЕЛЕКОММУНИКАЦИИ. АУДИО-И ВИДЕОТЕХНИКА Теле- и радиовещание
ГОСТ Р 53556.1-2012ГОСТ Р 53556.1-2012ГОСТ Р 53556.1-2012ГОСТ Р 53556.1-2012ГОСТ Р 53556.1-2012ГОСТ Р 53556.1-2012ГОСТ Р 53556.1-2012ГОСТ Р 53556.1-2012ГОСТ Р 53556.1-2012ГОСТ Р 53556.1-2012ГОСТ Р 53556.1-2012ГОСТ Р 53556.1-2012ГОСТ Р 53556.1-2012ГОСТ Р 53556.1-2012ГОСТ Р 53556.1-2012ГОСТ Р 53556.1-2012ГОСТ Р 53556.1-2012ГОСТ Р 53556.1-2012ГОСТ Р 53556.1-2012ГОСТ Р 53556.1-2012ГОСТ Р 53556.1-2012ГОСТ Р 53556.1-2012ГОСТ Р 53556.1-2012ГОСТ Р 53556.1-2012ГОСТ Р 53556.1-2012ГОСТ Р 53556.1-2012ГОСТ Р 53556.1-2012ГОСТ Р 53556.1-2012ГОСТ Р 53556.1-2012ГОСТ Р 53556.1-2012ГОСТ Р 53556.1-2012ГОСТ Р 53556.1-2012ГОСТ Р 53556.1-2012ГОСТ Р 53556.1-2012ГОСТ Р 53556.1-2012ГОСТ Р 53556.1-2012ГОСТ Р 53556.1-2012ГОСТ Р 53556.1-2012ГОСТ Р 53556.1-2012ГОСТ Р 53556.1-2012ГОСТ Р 53556.1-2012ГОСТ Р 53556.1-2012ГОСТ Р 53556.1-2012ГОСТ Р 53556.1-2012ГОСТ Р 53556.1-2012ГОСТ Р 53556.1-2012ГОСТ Р 53556.1-2012ГОСТ Р 53556.1-2012ГОСТ Р 53556.1-2012ГОСТ Р 53556.1-2012ГОСТ Р 53556.1-2012ГОСТ Р 53556.1-2012ГОСТ Р 53556.1-2012ГОСТ Р 53556.1-2012ГОСТ Р 53556.1-2012ГОСТ Р 53556.1-2012ГОСТ Р 53556.1-2012ГОСТ Р 53556.1-2012ГОСТ Р 53556.1-2012ГОСТ Р 53556.1-2012ГОСТ Р 53556.1-2012ГОСТ Р 53556.1-2012ГОСТ Р 53556.1-2012ГОСТ Р 53556.1-2012ГОСТ Р 53556.1-2012ГОСТ Р 53556.1-2012ГОСТ Р 53556.1-2012ГОСТ Р 53556.1-2012ГОСТ Р 53556.1-2012ГОСТ Р 53556.1-2012ГОСТ Р 53556.1-2012ГОСТ Р 53556.1-2012ГОСТ Р 53556.1-2012ГОСТ Р 53556.1-2012ГОСТ Р 53556.1-2012ГОСТ Р 53556.1-2012ГОСТ Р 53556.1-2012ГОСТ Р 53556.1-2012ГОСТ Р 53556.1-2012ГОСТ Р 53556.1-2012ГОСТ Р 53556.1-2012ГОСТ Р 53556.1-2012ГОСТ Р 53556.1-2012ГОСТ Р 53556.1-2012ГОСТ Р 53556.1-2012ГОСТ Р 53556.1-2012ГОСТ Р 53556.1-2012ГОСТ Р 53556.1-2012ГОСТ Р 53556.1-2012ГОСТ Р 53556.1-2012ГОСТ Р 53556.1-2012ГОСТ Р 53556.1-2012ГОСТ Р 53556.1-2012ГОСТ Р 53556.1-2012ГОСТ Р 53556.1-2012ГОСТ Р 53556.1-2012

© 2013 Ёшкин Кот :-) Карта сайта