Скачать МУК 3.4.3008-12 Порядок эпидемиологической и лабораторной диагностики особо опасных, новых и возвращающихся инфекционных болезнейДата актуализации: 10.08.2017 МУК 3.4.3008-12
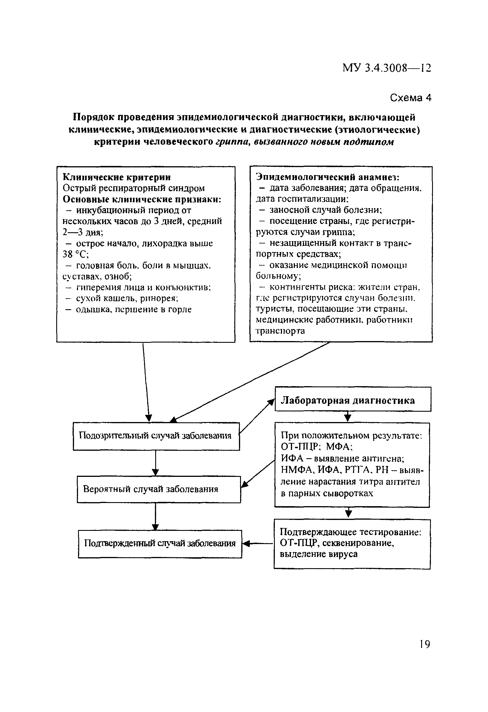
Порядок эпидемиологической и лабораторной диагностики особо опасных, "новых" и "возвращающихся" инфекционных болезнейОбозначение: | МУК 3.4.3008-12 | Обозначение англ: | MUK 3.4.3008-12 | Статус: | действует | Название рус.: | Порядок эпидемиологической и лабораторной диагностики особо опасных, "новых" и "возвращающихся" инфекционных болезней | Дата добавления в базу: | 01.10.2014 | Дата актуализации: | 05.05.2017 | Дата введения: | 28.03.2012 | Область применения: | В методических указаниях представлен порядок организации эпидемиологической и лабораторной диагностики при возникновении чрезвычайных ситуаций (ЧС) санитарно-эпидемиологического характера, обусловленных появлением известных опасных инфекционных болезней, требующих проведения мероприятий по санитарной охране территорий, или возникновением инфекционных болезней неизвестной этиологии, проведением террористических актов с применением патогенных биологических агентов, токсинов растительного, бактериального и животного происхождения и радиоактивных веществ. Методические указания предназначены для специалистов органов, осуществляющих государственный санитарно-эпидемиологический надзор в Российской Федерации, специалистов противочумных учреждений, органов исполнительной власти в области охраны здоровья и медицинских организаций. | Оглавление: | Определения, обозначения и сокращения 1. Область применения 2. Общие положения 3. Определение ведущего клинического синдрома в случае подозрения на известный ПБА 4. Установление подозрительного случая болезни при подозрении на известный ПБА 5. Установление подтвержденного случая болезни в случае подозрения на известный ПБА 6. Выдвижение гипотезы о происхождении болезни и ведущем механизме передачи в случае неизвестного ПБА 7. Заключение о генезе вспышки в случае неизвестного ПБА 8. Порядок лабораторной диагностики новой (неизвестной) инфекционной болезни Приложение. Нормативные ссылки | Разработан: | Федеральная служба по надзору в сфере защиты прав потребителей и благополучия человека ФКУЗ Российский научно-исследовательский противочумный институт Микроб ФКУЗ Иркутский научно-исследовательский противочумный институт Сибири и Дальнего Востока ФКУЗ Ростовский научно-исследовательский противочумный институт ФКУЗ Ставропольский научно-исследовательский противочумный институт ФКУЗ Волгоградский научно-исследовательский противочумный институт Роспотребнадзора ФБУП Государственный научный центр прикладной микробиологии и биотехнологии
| Утверждён: | 28.03.2012 Главный государственный санитарный врач Российской Федерации
| Издан: | Роспотребнадзор (2012 г. )
| Расположен в: |
| Нормативные ссылки: |  Федеральный закон 52-ФЗ «О санитарно-эпидемиологическом благополучии населения»  СП 3.1/3.2.1379-03 «Общие требования по профилактике инфекционных и паразитарных болезней»  МУ 1.3.1877-04 «Порядок сбора, упаковки, хранения, транспортирования и проведения лабораторного анализа биологического материала от больных (и умерших) пациентов с подозрением на тяжелый острый респираторный синдром (ТОРС)»  МУ 3.1.2007-05 «Эпидемиологический надзор за туляремией»  СП 1.2.036-95 «Порядок учета, хранения, передачи и транспортирования микроорганизмов I - IV групп патогенности»  МУК 4.2.2218-07 «Лабораторная диагностика холеры»  СП 3.4.2318-08 «Санитарная охрана территории Российской Федерации»  СП 3.1.7.2492-09 «Профилактика чумы» МУ 3.1.3.2355-08 «Организация и проведение эпидемиологического надзора в природных очагах чумы на территории Российской Федерации»  СП 3.1.2.2512-09 «Профилактика менингококковой инфекции»  СП 3.1.1.2521-09 «Профилактика холеры. Общие требования к эпидемиологическому надзору за холерой на территории Российской Федерации» СП 3.1.2.1319-03 «Профилактика гриппа» СП 3.1.7.2629-10 «Профилактика сибирской язвы»  СП 3.1.7.2613-10 «Профилактика бруцеллеза» СП 3.1.7.2642-10 «Профилактика туляремии»  МУ 3.1.3.2600-10 «Мероприятия по борьбе с лихорадкой Западного Нила на территории Российской Федерации» СП 1.3.1285-03 «Безопасность работы с микроорганизмами I - II групп патогенности (опасности)» МУК 4.2.2941-11 «Порядок организации и проведения лабораторной диагностики сибирской язвы для лабораторий территориального, регионального и федерального уровней» МУК 4.2.2939-11 «Порядок организации и проведения лабораторной диагностики туляремии для лабораторий территориального, регионального и федерального уровней»  МУК 4.2.2870-11 «Порядок организации и проведения лабораторной диагностики холеры для лабораторий территориального, регионального и федерального уровней» СП 3.1.2951-11 «Профилактика полиомиелита» МУК 4.2.2940-11 «Порядок организации и проведения лабораторной диагностики чумы для лабораторий территориального, регионального и федерального уровней»  МУК 4.2.3007-12 «Порядок организации и проведения лабораторной диагностики Крымской геморрагической лихорадки для лабораторий территориального, регионального и федерального уровней»  МУК 4.2.3010-12 «Порядок организации и проведения лабораторной диагностики бруцеллеза для лабораторий территориального, регионального и федерального уровней» МУ 3.4.2552-09 «Организация и проведение первичных противоэпидемических мероприятий в случаях выявления больного (трупа), подозрительного на заболевания инфекционными болезнями, вызывающими чрезвычайные ситуации в области санитарно-эпидемиологического благополучия населения»  МУК 4.2.3009-12 «Порядок организации и проведения лабораторной диагностики лихорадки Западного Нила для лабораторий территориального, регионального и федерального уровней»
|
                                               
|