Информационная система
«Ёшкин Кот»

Скачать базу одним архивом
Скачать обновления
История создания базы
Карта сайта

Скачать СТО НОСТРОЙ 2.33.14-2011 Организация строительного производства. Общие положения

Дата актуализации: 10.08.2017

СТО НОСТРОЙ 2.33.14-2011

Организация строительного производства. Общие положения

Обозначение: СТО НОСТРОЙ 2.33.14-2011
Обозначение англ: 2.33.14-2011
Статус:действует
Название рус.:Организация строительного производства. Общие положения
Название англ.:Construction management. General principles
Дата добавления в базу:01.09.2013
Дата актуализации:05.05.2017
Область применения:Стандарт устанавливает общие положения комплекса стандартов по организации строительного производства и распространяется на строительство новых, реконструкцию и снос (демонтаж) существующих зданий и сооружений производственного и непроизводственного назначения. Положения настоящего стандарта могут быть распространены на капитальный ремонт эксплуатируемых объектов капитального строительства, их консервацию (расконсервацию) и ликвидацию. Стандарт не распространяется на строительство линейных сооружений, линий электропередачи, связи, трубопроводов и других объектов технической инфраструктуры, а также в полосе отчуждения (отвода) железных, автомобильных дорог и других транспортных путей.
Оглавление:Введение
1 Область применения
2 Нормативные ссылки
3 Термины и определения
4 Структура организации строительного производства
5 Планирование строительного производства
6 Методы организации строительства
7 Проектирование организации строительства и производства работ
8 Подготовка строительного производства
9 Организация труда
10 Оперативно-диспетчерское управление
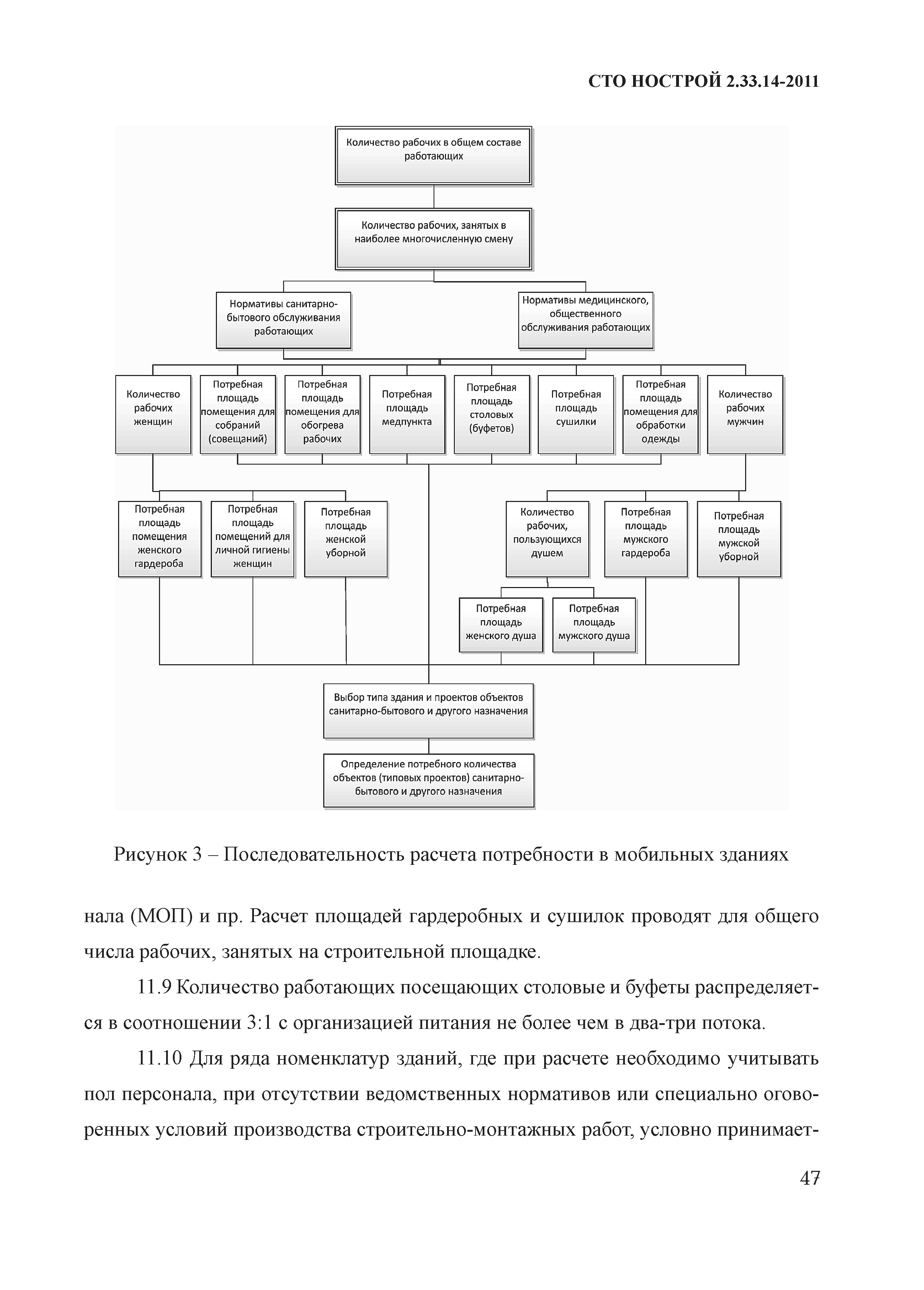
11 Организация производственного быта
12 Организация материально-технического обеспечения
13 Механизация работ и организация работы транспорта
Приложение А (рекомендуемое) Взаимосвязь структуры потоков с пространственными параметрами объектов
Приложение Б (рекомендуемое) Показатели оценки вариантов механизации
Приложение В (рекомендуемое) Примерный перечень сложных объектов и крупных промышленных комплексов, рекомендуемых к возведению узловым методом
Библиография
Разработан: ООО ЦНИИОМТП (Центр научных исследований организации, механизации, технологии строительного производства)
Утверждён:05.12.2011 Совет Национального объединения строителей (22)
Издан: Национальное объединение строителей (2012 г. )
Расположен в:Техническая документация
Нормативные ссылки:
СТО НОСТРОЙ 2.33.14-2011СТО НОСТРОЙ 2.33.14-2011СТО НОСТРОЙ 2.33.14-2011СТО НОСТРОЙ 2.33.14-2011СТО НОСТРОЙ 2.33.14-2011СТО НОСТРОЙ 2.33.14-2011СТО НОСТРОЙ 2.33.14-2011СТО НОСТРОЙ 2.33.14-2011СТО НОСТРОЙ 2.33.14-2011СТО НОСТРОЙ 2.33.14-2011СТО НОСТРОЙ 2.33.14-2011СТО НОСТРОЙ 2.33.14-2011СТО НОСТРОЙ 2.33.14-2011СТО НОСТРОЙ 2.33.14-2011СТО НОСТРОЙ 2.33.14-2011СТО НОСТРОЙ 2.33.14-2011СТО НОСТРОЙ 2.33.14-2011СТО НОСТРОЙ 2.33.14-2011СТО НОСТРОЙ 2.33.14-2011СТО НОСТРОЙ 2.33.14-2011СТО НОСТРОЙ 2.33.14-2011СТО НОСТРОЙ 2.33.14-2011СТО НОСТРОЙ 2.33.14-2011СТО НОСТРОЙ 2.33.14-2011СТО НОСТРОЙ 2.33.14-2011СТО НОСТРОЙ 2.33.14-2011СТО НОСТРОЙ 2.33.14-2011СТО НОСТРОЙ 2.33.14-2011СТО НОСТРОЙ 2.33.14-2011СТО НОСТРОЙ 2.33.14-2011СТО НОСТРОЙ 2.33.14-2011СТО НОСТРОЙ 2.33.14-2011СТО НОСТРОЙ 2.33.14-2011СТО НОСТРОЙ 2.33.14-2011СТО НОСТРОЙ 2.33.14-2011СТО НОСТРОЙ 2.33.14-2011СТО НОСТРОЙ 2.33.14-2011СТО НОСТРОЙ 2.33.14-2011СТО НОСТРОЙ 2.33.14-2011СТО НОСТРОЙ 2.33.14-2011СТО НОСТРОЙ 2.33.14-2011СТО НОСТРОЙ 2.33.14-2011СТО НОСТРОЙ 2.33.14-2011СТО НОСТРОЙ 2.33.14-2011СТО НОСТРОЙ 2.33.14-2011СТО НОСТРОЙ 2.33.14-2011СТО НОСТРОЙ 2.33.14-2011СТО НОСТРОЙ 2.33.14-2011СТО НОСТРОЙ 2.33.14-2011СТО НОСТРОЙ 2.33.14-2011СТО НОСТРОЙ 2.33.14-2011СТО НОСТРОЙ 2.33.14-2011СТО НОСТРОЙ 2.33.14-2011СТО НОСТРОЙ 2.33.14-2011СТО НОСТРОЙ 2.33.14-2011СТО НОСТРОЙ 2.33.14-2011СТО НОСТРОЙ 2.33.14-2011СТО НОСТРОЙ 2.33.14-2011СТО НОСТРОЙ 2.33.14-2011СТО НОСТРОЙ 2.33.14-2011СТО НОСТРОЙ 2.33.14-2011СТО НОСТРОЙ 2.33.14-2011СТО НОСТРОЙ 2.33.14-2011СТО НОСТРОЙ 2.33.14-2011СТО НОСТРОЙ 2.33.14-2011СТО НОСТРОЙ 2.33.14-2011СТО НОСТРОЙ 2.33.14-2011СТО НОСТРОЙ 2.33.14-2011СТО НОСТРОЙ 2.33.14-2011СТО НОСТРОЙ 2.33.14-2011СТО НОСТРОЙ 2.33.14-2011СТО НОСТРОЙ 2.33.14-2011

© 2013 Ёшкин Кот :-) Карта сайта