Информационная система
«Ёшкин Кот»

Скачать базу одним архивом
Скачать обновления
История создания базы
Карта сайта

Скачать Государственная программа Российской Федерации Развитие транспортной системы

Дата актуализации: 10.08.2017

Государственная программа Российской Федерации "Развитие транспортной системы"

Статус:утратил силу
Название рус.:Государственная программа Российской Федерации "Развитие транспортной системы"
Дата добавления в базу:01.09.2013
Дата актуализации:05.05.2017
Дата введения:02.05.2014
Оглавление:Паспорт государственной программы Российской Федерации "Развитие транспортной системы"
1. Общая характеристика сферы реализации Государственной программы Российской Федерации "Развитие транспортной системы", в том числе формулировки основных проблем в указанной сфере и прогноз ее развития
2. Приоритеты государственной политики в сфере реализации Программы, цели и задачи, показатели (индикаторы) достижения целей и решения задач, описание основных ожидаемых конечных результатов, сроков и этапов реализации Программы
3. Обобщенная характеристика основных мероприятий Программы
4. Обобщенная характеристика мер государственного регулирования
5. Прогноз сводных показателей государственных заданий на оказание (выполнение) государственных услуг (работ) по этапам реализации Программы
6. Информация об участии государственных корпораций, акционерных обществ с государственным участием, общественных, научных и иных организаций, а также государственных внебюджетных фондов в реализации Программы
7. Обоснования выделения подпрограмм и включения в состав Программы реализуемых федеральных целевых программ
8. Обоснование объема финансовых ресурсов, необходимых для реализации Программы
9. Анализ рисков реализации Программы и описание мер управления рисками реализации Программы
10. Методика оценки эффективности Программы
Приложение № 1. Сведения о показателях (индикаторах) государственной программы Российской Федерации "Развитие транспортной системы", ее подпрограмм, федеральных целевых программ (подпрограмм федеральных целевых программ) и их значениях
Приложение № 2. Перечень основных мероприятий государственной программы Российской Федерации "Развитие транспортной системы"
Приложение № 3. Оценка применения мер государственного регулирования в сфере реализации государственной программы Российской Федерации "Развитие транспортной системы"
Приложение № 4. Сведения об основных мерах правового регулирования в сфере реализации государственной программы Российской Федерации "Развитие транспортной системы"
Приложение № 5. Прогноз сводных показателей государственных заданий на оказание государственных услуг (выполнение работ) федеральными государственными учреждениями по государственной программе Российской Федерации "Развитие транспортной системы"
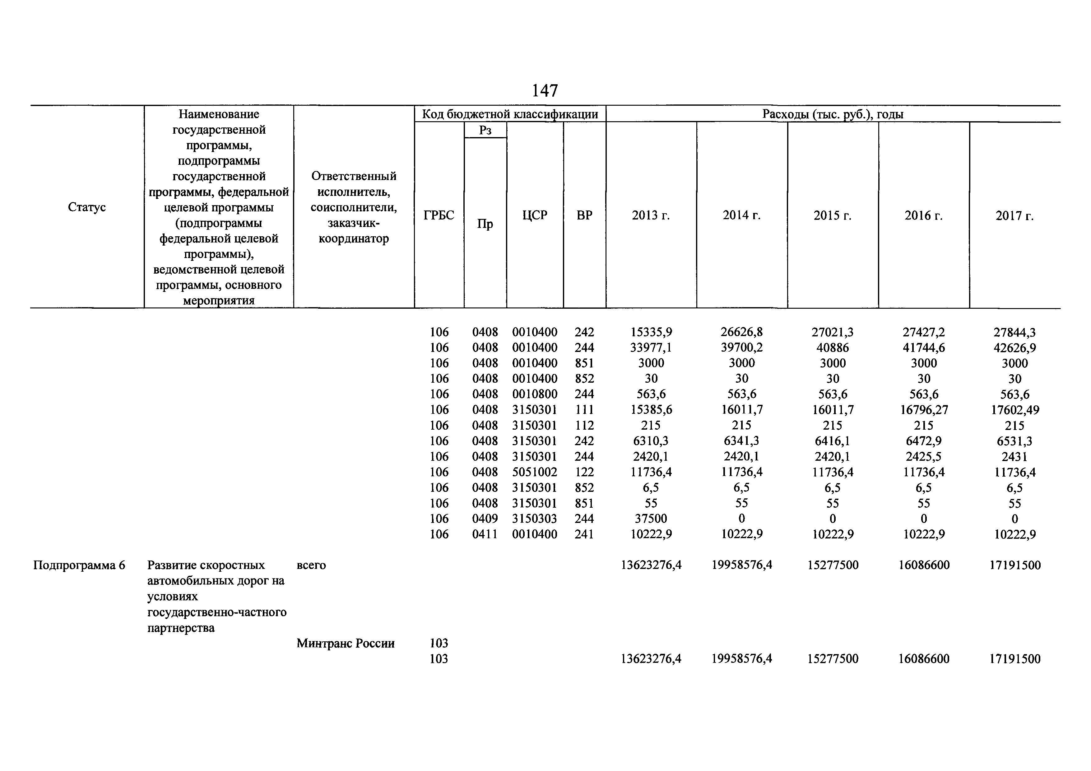
Приложение № 6. Ресурсное обеспечение реализации государственной программы Российской Федерации "Развитие транспортной системы" за счет средств федерального бюджета (тыс. руб.)
Приложение № 7. Ресурсное обеспечение и прогнозная (справочная) оценка расходов бюджетов государственных внебюджетных фондов, консолидированных бюджетов субъектов Российской Федерации и юридических лиц на реализацию целей государственной программы Российской Федерации "Развитие транспортной системы"
Приложение № 8. Паспорта федеральных целевых программ и Комплексной программы обеспечения безопасности населения на транспорте
Приложение № 9. Подпрограммы государственной программы Российской Федерации "Развитие транспортной системы"
   Подпрограмма "Магистральный железнодорожный транспорт"
   Подпрограмма "Дорожное хозяйство"
   Подпрограмма "Гражданская авиация и аэронавигационное обслуживание"
   Подпрограмма "Морской и речной транспорт"
   Подпрограмма "Надзор в сфере транспорта"
   Подпрограмма "Развитие скоростных автомобильных дорог на условиях государственно-частного партнерства"
   Подпрограмма "Транспортное обеспечение Олимпийских игр 2014 года и XXVII Всемирной летней Универсиады 2013 года в г. Казани"
   Подпрограмма "Обеспечение реализации Программы"
Приложение № 10. Информационно-аналитическая справка по развитию транспортного комплекса Московского региона
Утверждён:28.12.2012 Правительство Российской Федерации (2600-р)
Издан: Собрание законодательства Российской Федерации (от 14.01.2013 г № 2, ст. 131)
Расположен в:Техническая документация Экология СОЦИОЛОГИЯ. УСЛУГИ. ОРГАНИЗАЦИЯ ФИРМ И УПРАВЛЕНИЕ ИМИ. АДМИНИСТРАЦИЯ. ТРАНСПОРТ Законодательство. Администрация Строительство Нормативные документы Отраслевые и ведомственные нормативно-методические документы Проектирование и строительство железных дорог Проектирование и строительство автомобильных дорог
Нормативные ссылки:

© 2013 Ёшкин Кот :-) Карта сайта