Скачать Типовые материалы для проектирования 407-03-607м.91 Альбом 2. Планы ОРУ, ячейки и узлыДата актуализации: 10.08.2017 Типовые материалы для проектирования 407-03-607м.91
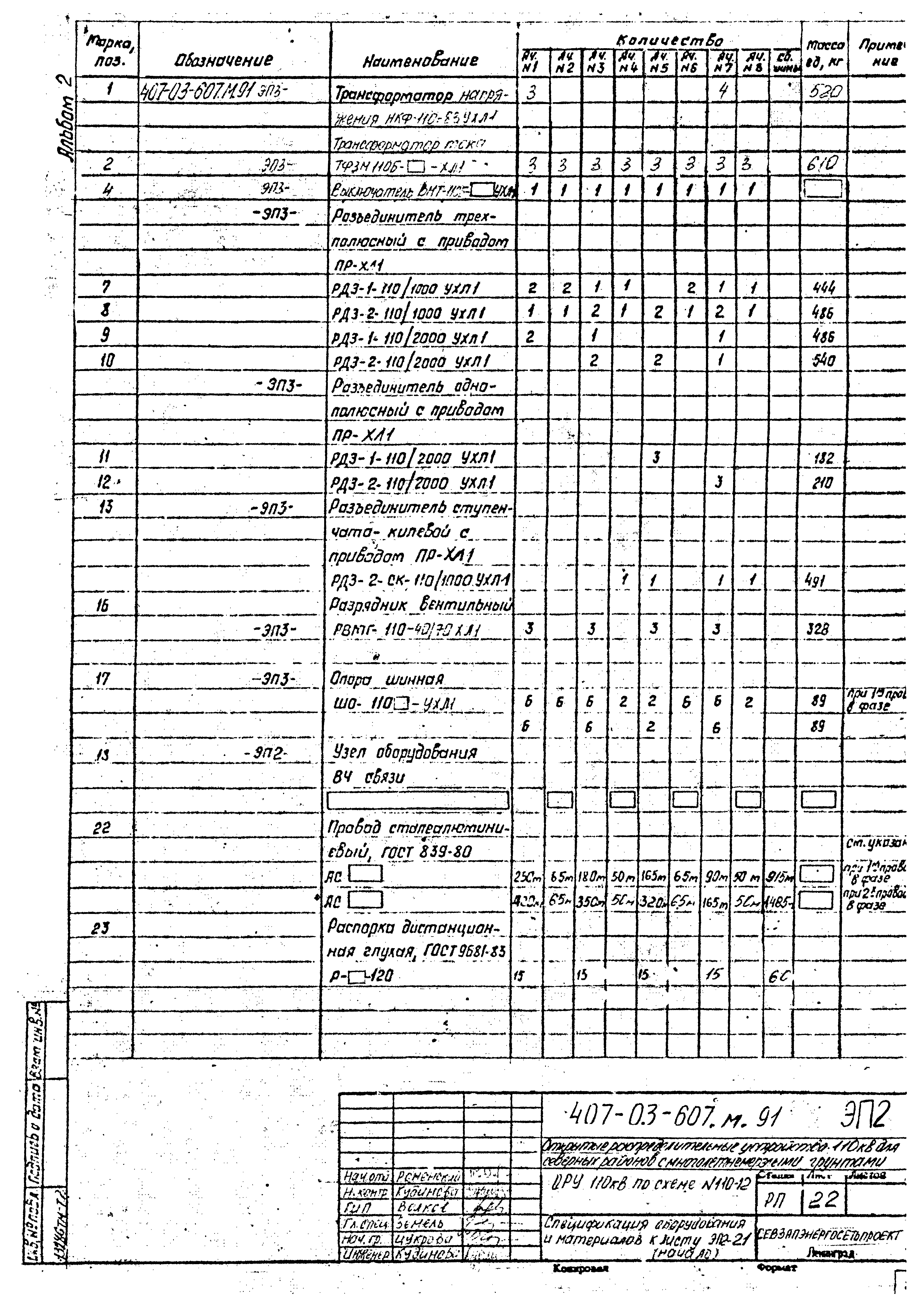
Альбом 2. Планы ОРУ, ячейки и узлыОбозначение: | Типовые материалы для проектирования 407-03-607м.91 | Обозначение англ: | 407-03-607м.91 | Статус: | cправочные материалы, мп, тпр | Название рус.: | Альбом 2. Планы ОРУ, ячейки и узлы | Дата добавления в базу: | 01.09.2013 | Дата актуализации: | 05.05.2017 | Оглавление: | ЭП2. Планы ОРУ. Ячейки и узлы ОРУ по схеме №110-4Н. План и схема заполнения ОРУ по схеме №110-4Н. Спецификация оборудования и материалов к листу ЭП2-1 ОРУ по схеме №110-4Н. Ячейка трансформатора Т1 ОРУ по схеме №110-4Н. Ячейка трансформатора Т2 ОРУ по схеме №110-4Н. Ячейка ВЛ1 и шинных аппаратов ОРУ по схемам №110-4Н, №110-5Н. Ячейка ВЛ2 и шинных аппаратов ОРУ по схеме №110-4Н без учета расширения. Ячейка перемычки и шинных аппаратов ОРУ 110 кВ по схеме №110-4Н. Ячейка перемычки ОРУ по схеме №110-5Н. План и схема заполнения ОРУ по схеме №110-5Н. Ячейка трансформатора Т1 ОРУ по схеме №110-5Н. Ячейка трансформатора Т2 ОРУ по схеме №110-5Н. Ячейка ВЛ1 ОРУ по схеме №110-5Н. Ячейка ВЛ2 ОРУ по схеме №110-5Н. Спецификация оборудования и материалов к листу ЭП2-10 ОРУ по схеме №110-5АН. План и схема заполнения ОРУ по схеме №110-5АН. Спецификация оборудования и материалов ОРУ по схемам №110-5Н, 110-5АН. Ячейка перемычки ОРУ по схеме №110-12. План и схема заполнения ОРУ по схеме №110-12. Спецификация оборудования и материалов к листу ЭП2-21 ОРУ по схеме №110-13. План и схема заполнения ОРУ по схеме №110-13. Спецификация оборудования и материалов к листу ЭП2-24 ОРУ по схеме №110-13. Ячейка трансформатора Т1 (Т2) ОРУ по схеме №110-13. Ячейка ВЛ ОРУ по схеме №110-3Н без учета расширения. План, вид и схема заполнения ОРУ по схеме №110-3Н без учета расширения. Спецификация оборудования и материалов к листу ЭП2-29 ОРУ по схеме №110-4Н без учета расширения. План и схема заполнения ОРУ по схеме №110-4Н без учета расширения. Спецификация оборудования и материалов к листу ЭП2-31 ОРУ по схеме №110-4Н без учета расширения. Ячейка ВЛ - трансформатор ОРУ по схеме №110-5Н без учета расширения. План и схема заполнения ОРУ по схеме №110-5Н без учета расширения. Спецификация оборудования и материалов к листу ЭП2-34 ОРУ по схеме №110-5Н без учета расширения. Ячейка ВЛ - трансформатор Т1 ОРУ по схеме №110-5Н без учета расширения. Ячейка ВЛ - трансформатор Т2 ОРУ по схеме №110-5Н без учета расширения. Ячейка перемычки ОРУ по схеме №110-5АН без учета расширения. План и схема заполнения ОРУ по схеме №110-5АН без учета расширения. Спецификация оборудования и материалов к листу ЭП2-39 ОРУ по схеме №110-5АН без учета расширения. Ячейка ВЛ - трансформатор ОРУ по схеме №110-5Н, 110-5АН без учета расширения. Ячейка перемычки и шинные аппараты ОРУ по схеме №110-5АН без учета расширения. Ячейка перемычки и разрядники Узлы присоединения проводов к выводам аппаратов Узел оборудования ВЧ связи с высокочастотным заградителем ВЗ-630-0,5У1 Узел оборудования ВЧ связи с высокочастотным заградителем ВЗ-1250-0,5У1 | Разработан: | Севзапэнергосетьпроект
| Утверждён: | 11.06.1991 Минэнерго СССР (USSR Minenergo 11)
| Расположен в: |
|
                                               
|