Скачать ТСН 23-357-2004 РБ Строительная климатологияДата актуализации: 10.08.2017 ТСН 23-357-2004 РБ
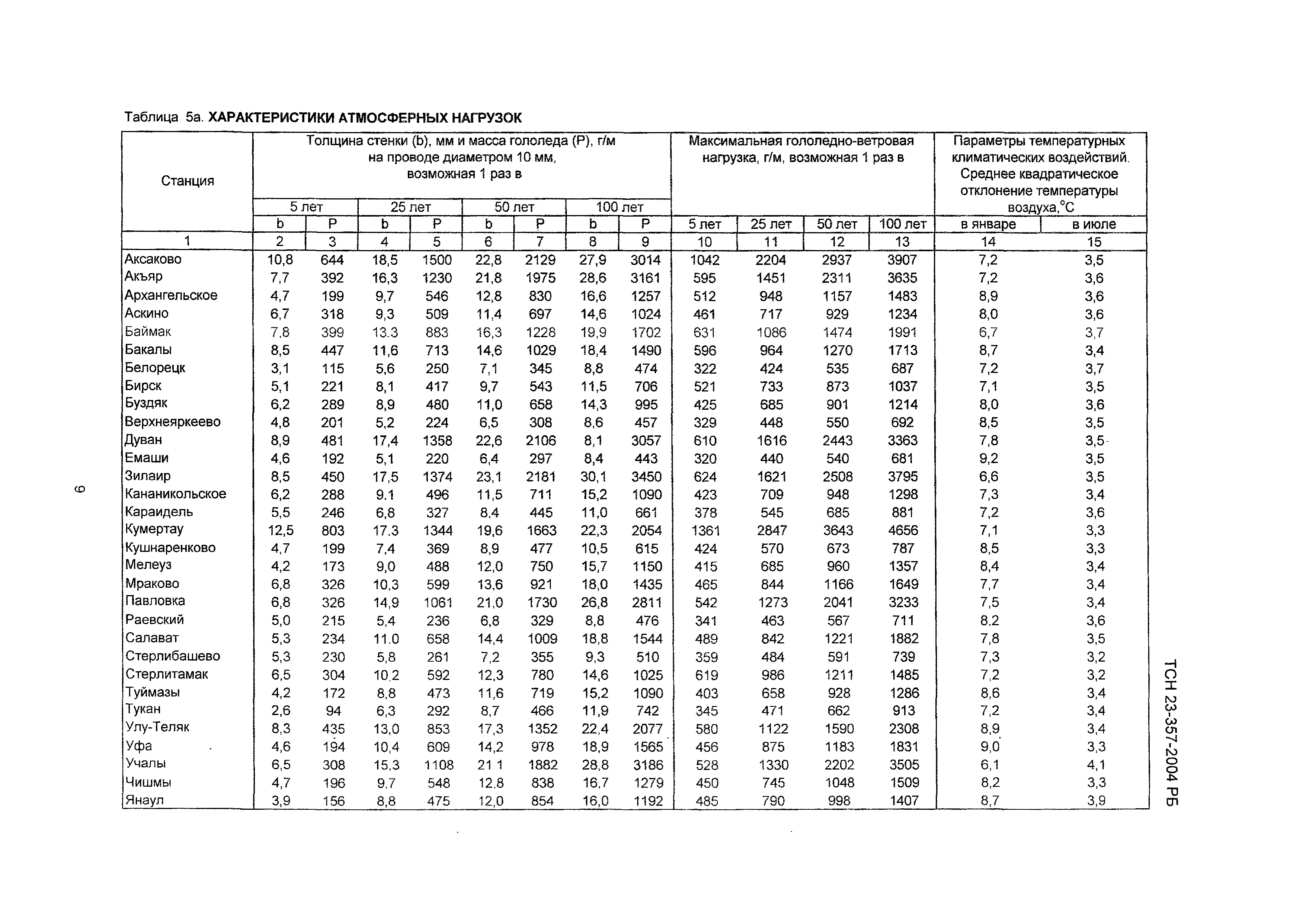
Строительная климатологияОбозначение: | ТСН 23-357-2004 РБ | Обозначение англ: | TSN 23-357-2004 РБ | Статус: | действует | Название рус.: | Строительная климатология | Название англ.: | Building climatology | Дата добавления в базу: | 01.09.2013 | Дата актуализации: | 05.05.2017 | Дата введения: | 23.03.2005 | Область применения: | Территориальные строительные нормы определяют основные климатические параметры, используемые для строительного проектирования на территории Республики Башкортостан. | Оглавление: | Введение 1 Область применения 2 Нормативные ссылки 3 Определения Таблица 1 Климатические параметры холодного периода года Таблица 1а Климатические параметры холодного периода года Таблица 2 Климатические параметры теплого периода года Таблица 2а Климатические параметры теплого периода года Таблица 3 Средняя месячная и годовая температура воздуха, градусов Цельсия Таблица 4 Средняя годовая скорость ветра по направлениям, м/с Таблица 5 Параметры атмосферных нагрузок и воздействий Таблица 5а Характеристики атмосферных нагрузок Таблица 6 Суммарная солнечная радиация (прямая и рассеянная) на горизонтальную поверхность при безоблачном небе, МДж/м Таблица 7 Суммарная солнечная радиация (прямая и рассеянная) на вертикальную поверхность при безоблачном небе, МДж/м Рисунок 1 Схематическая карта мезоклиматического районирования Рисунок 2 Схематическая карта средней месячной температуры воздуха. Январь Рисунок 3 Схематическая карта средней месячной температуры воздуха. Июль Рисунок 4 Схематическая карта числа градусодней Рисунок 5 Схематическая карта числа градусодней г. Уфы Рисунок 6 Схематическая карта расчетной температуры воздуха с обеспеченностью 0,5 % (параметр А). Холодное полугодие Рисунок 7 Схематическая карта расчетной температуры воздуха с обеспеченностью 0,1 % (параметр Б). Холодное полугодие Рисунок 8 Схематическая карта расчетной температуры воздуха с обеспеченностью 95 % (параметр А), Теплое полугодие Рисунок 9 Схематическая карта расчетной температуры воздуха с обеспеченностью 98 % (параметр Б). Теплое полугодие Рисунок 10 Схематическая карта удельной энтальпии, кДж/кг (параметр А). Теплый период года Рисунок 11 Схематическая карта удельной энтальпии, кДж/кг (параметр В). Теплый период года Рисунок 12 Схематическая карта зон влажности Рисунок 13 Схематическая карта суточного максимума осадков, мм Рисунок 14 Схематическая карта районирования по расчетным скоростям ветра (ветровому давлению), возможным 1 раз в 25 лет Рисунок 15 Схематическая карта районирования по толщине стенки гололеда, возможной 1 раз в 25 лет Рисунок 16 Схематическая карта районирования по гололедно-ветровой (результирующей) нагрузке, возможной 1 раз в 25 лет Рисунок 17 Схематическая карта районирования по весу снегового покрова, возможному 1 раз в 25 лет Рисунок 18 Схематическая карта среднего за год числа дней с туманом Рисунок 19 Схематическая карта среднего за год числа дней с метелью Рисунок 20 Схематическая карта среднего за год числа дней с грозой Рисунок 21 Схематическая карта максимальной глубины промерзания почвы, возможной 1 раз в 10 лет Рисунок 22 Схематическая карта максимальной глубины промерзания почвы, возможной 1 раз в 50 лет Рисунок 23 Схематическая карта повторяемости штилей от общего числа наблюдений за год Рисунок 24 Схематическая карта средней из скоростей ветра более 6 м/с Рисунок 25 Схематическая карта параметра "а" композиционного закона распределения температуры воздуха Рисунок 26 Схематическая карта параметра "в" композиционного закона распределения температуры воздуха Рисунок 27 Схематическая карта параметра "о" композиционного закона распределения температуры воздуха Приложение А (справочное). Методы расчета климатических показателей Приложение В (справочное). Дополнительные климатические характеристики для строительного проектирования | Разработан: | Главная геофизическая обсерватория им. А.И. Воейкова УГМС Республики Башкортостан
| Утверждён: | 15.12.2003 Министерство строительства архитектуры и транспорта Республики Башкортостан (241) 23.03.2005 Департамент строительства и ЖКХ Минпромэнерго России (10-419/5)
| Издан: | Министерство строительства, архитектуры и транспорта Республики Башкортостан (2005 г. )
| Расположен в: |
| Нормативные ссылки: | |
                                                                                                         
|