Информационная система
«Ёшкин Кот»

Скачать базу одним архивом
Скачать обновления
История создания базы
Карта сайта

Скачать ГОСТ Р 54325-2011 Сети и системы связи на подстанциях. Часть 2. Термины и определения

Дата актуализации: 10.08.2017

ГОСТ Р 54325-2011

Сети и системы связи на подстанциях. Часть 2. Термины и определения

Обозначение: ГОСТ Р 54325-2011
Обозначение англ: GOST R 54325-2011
Статус:действует
Название рус.:Сети и системы связи на подстанциях. Часть 2. Термины и определения
Название англ.:Communication networks and systems in substation. Part 2. Glossary
Дата добавления в базу:01.09.2013
Дата актуализации:05.05.2017
Дата введения:01.07.2012
Область применения:Стандарт устанавливает термины и определения понятий в области сетей и систем связи на подстанциях. Термины, установленные настоящим стандартом, рекомендуются для применения во всех видах документации и литературы по данной научно-технической отрасли, входящих в сферу работ по стандартизации и/или использующих результаты этих работ.
Оглавление:1 Область применения
2 Термины и определения
3 Сокращения
Алфавитный указатель терминов на русском языке
Алфавитный указатель терминов на английском языке
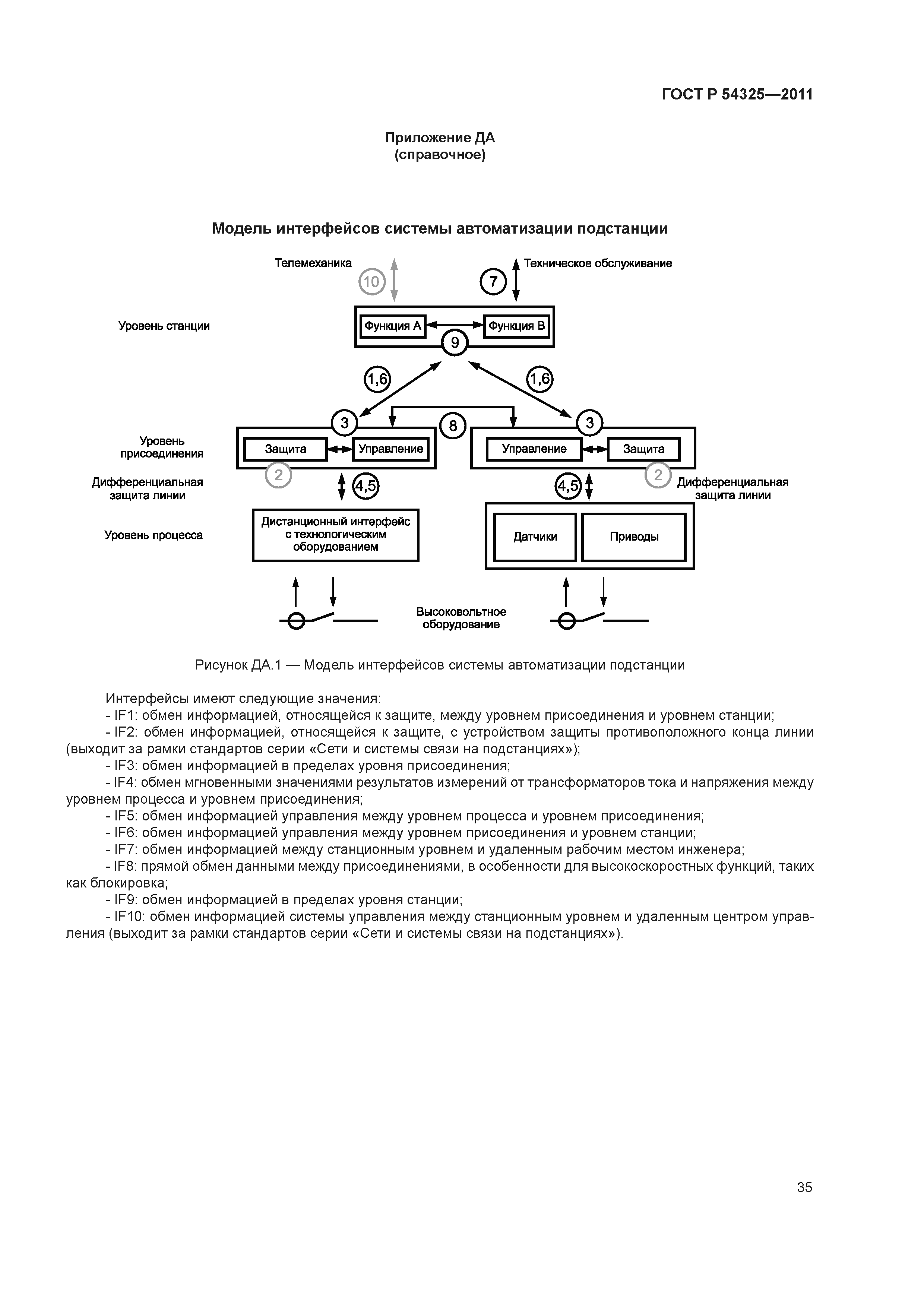
Приложение ДА (справочное) Модель интерфейсов системы автоматизации подстанции
Библиография
Разработан: ОАО Научно-технический центр электроэнергетики
Утверждён:30.05.2011 Федеральное агентство по техническому регулированию и метрологии (104-ст)
Издан: Стандартинформ (2012 г. )
Расположен в:Техническая документация Электроэнергия ТЕЛЕКОММУНИКАЦИИ. АУДИО-И ВИДЕОТЕХНИКА Телемеханика. Телеметрия Экология ТЕЛЕКОММУНИКАЦИИ. АУДИО-И ВИДЕОТЕХНИКА Телемеханика. Телеметрия Строительство Стандарты Другие государственные стандарты, применяемые в строительстве Телекоммуникации. Аудио- и видеотехника
ГОСТ Р 54325-2011ГОСТ Р 54325-2011ГОСТ Р 54325-2011ГОСТ Р 54325-2011ГОСТ Р 54325-2011ГОСТ Р 54325-2011ГОСТ Р 54325-2011ГОСТ Р 54325-2011ГОСТ Р 54325-2011ГОСТ Р 54325-2011ГОСТ Р 54325-2011ГОСТ Р 54325-2011ГОСТ Р 54325-2011ГОСТ Р 54325-2011ГОСТ Р 54325-2011ГОСТ Р 54325-2011ГОСТ Р 54325-2011ГОСТ Р 54325-2011ГОСТ Р 54325-2011ГОСТ Р 54325-2011ГОСТ Р 54325-2011ГОСТ Р 54325-2011ГОСТ Р 54325-2011ГОСТ Р 54325-2011ГОСТ Р 54325-2011ГОСТ Р 54325-2011ГОСТ Р 54325-2011ГОСТ Р 54325-2011ГОСТ Р 54325-2011ГОСТ Р 54325-2011ГОСТ Р 54325-2011ГОСТ Р 54325-2011ГОСТ Р 54325-2011ГОСТ Р 54325-2011ГОСТ Р 54325-2011ГОСТ Р 54325-2011ГОСТ Р 54325-2011ГОСТ Р 54325-2011ГОСТ Р 54325-2011ГОСТ Р 54325-2011

© 2013 Ёшкин Кот :-) Карта сайта