Информационная система
«Ёшкин Кот»

Скачать базу одним архивом
Скачать обновления
История создания базы
Карта сайта

Скачать Р 451-82 Рекомендации по расчету трубопроводов из многослойных труб на динамические нагрузки

Дата актуализации: 10.08.2017

Р 451-82

Рекомендации по расчету трубопроводов из многослойных труб на динамические нагрузки

Обозначение: Р 451-82
Обозначение англ: R 451-82
Статус:утратил силу
Название рус.:Рекомендации по расчету трубопроводов из многослойных труб на динамические нагрузки
Дата добавления в базу:01.09.2013
Дата актуализации:05.05.2017
Дата введения:11.05.1987
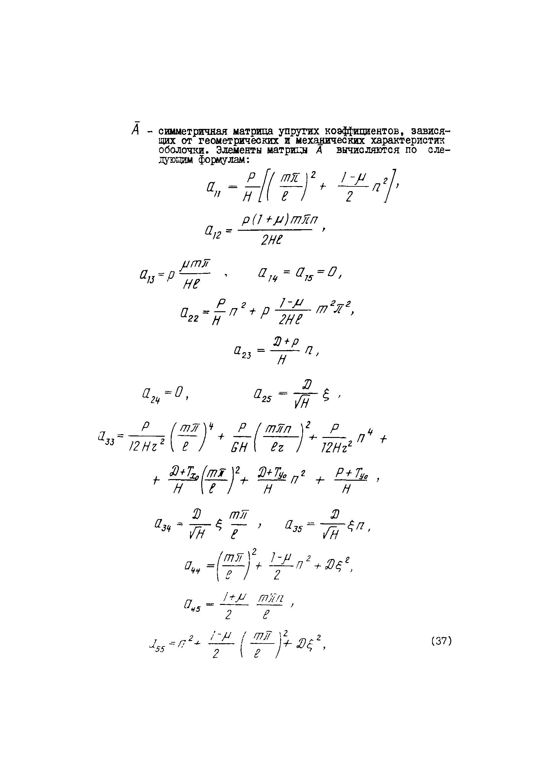
Область применения:Рекомендации по расчету содержат расчетные модели, основные уравнения, алгоритмы вычислений, расчетные и графические зависимости для определения частот и форм свободных колебаний балочных элементов трубопроводов из многослойных труб.
Оглавление:1. Общие положения
2. Свободные колебания балочного конструктивно-неоднородного трубопровода
З. Свободные колебания многослойных элементов трубопровода
Приложение
Разработан: ВНИИСТ
Утверждён:05.12.1981 ВНИИСТ (VNIIST )
Расположен в:Техническая документация Экология ДОБЫЧА И ПЕРЕРАБОТКА НЕФТИ, ГАЗА И СМЕЖНЫЕ ПРОИЗВОДСТВА Оборудование для переработки нефти, нефтяных продуктов и природного газа Трубопроводы и их компоненты Строительство Нормативные документы Отраслевые и ведомственные нормативно-методические документы Проектирование и строительство объектов нефтяной и газовой промышленности
Нормативные ссылки:
Р 451-82Р 451-82Р 451-82Р 451-82Р 451-82Р 451-82Р 451-82Р 451-82Р 451-82Р 451-82Р 451-82Р 451-82Р 451-82Р 451-82Р 451-82Р 451-82Р 451-82Р 451-82Р 451-82Р 451-82Р 451-82Р 451-82Р 451-82Р 451-82Р 451-82Р 451-82Р 451-82Р 451-82Р 451-82Р 451-82Р 451-82Р 451-82Р 451-82Р 451-82Р 451-82Р 451-82Р 451-82Р 451-82Р 451-82Р 451-82Р 451-82Р 451-82Р 451-82Р 451-82

© 2013 Ёшкин Кот :-) Карта сайта