Информационная система
«Ёшкин Кот»

Скачать базу одним архивом
Скачать обновления
История создания базы
Карта сайта

Скачать Р 162-74 Руководство по расчету центрально нагруженных свай в вечномерзлых грунтах

Дата актуализации: 10.08.2017

Р 162-74

Руководство по расчету центрально нагруженных свай в вечномерзлых грунтах

Обозначение: Р 162-74
Обозначение англ: R 162-74
Статус:действует
Название рус.:Руководство по расчету центрально нагруженных свай в вечномерзлых грунтах
Дата добавления в базу:01.09.2013
Дата актуализации:05.05.2017
Область применения:Руководство распространяется на проектирование центрально нагруженных одиночных свай прямоугольного, круглого и кольцевого сечений в вечномерзлых однослойных и двухслойных грунтах.
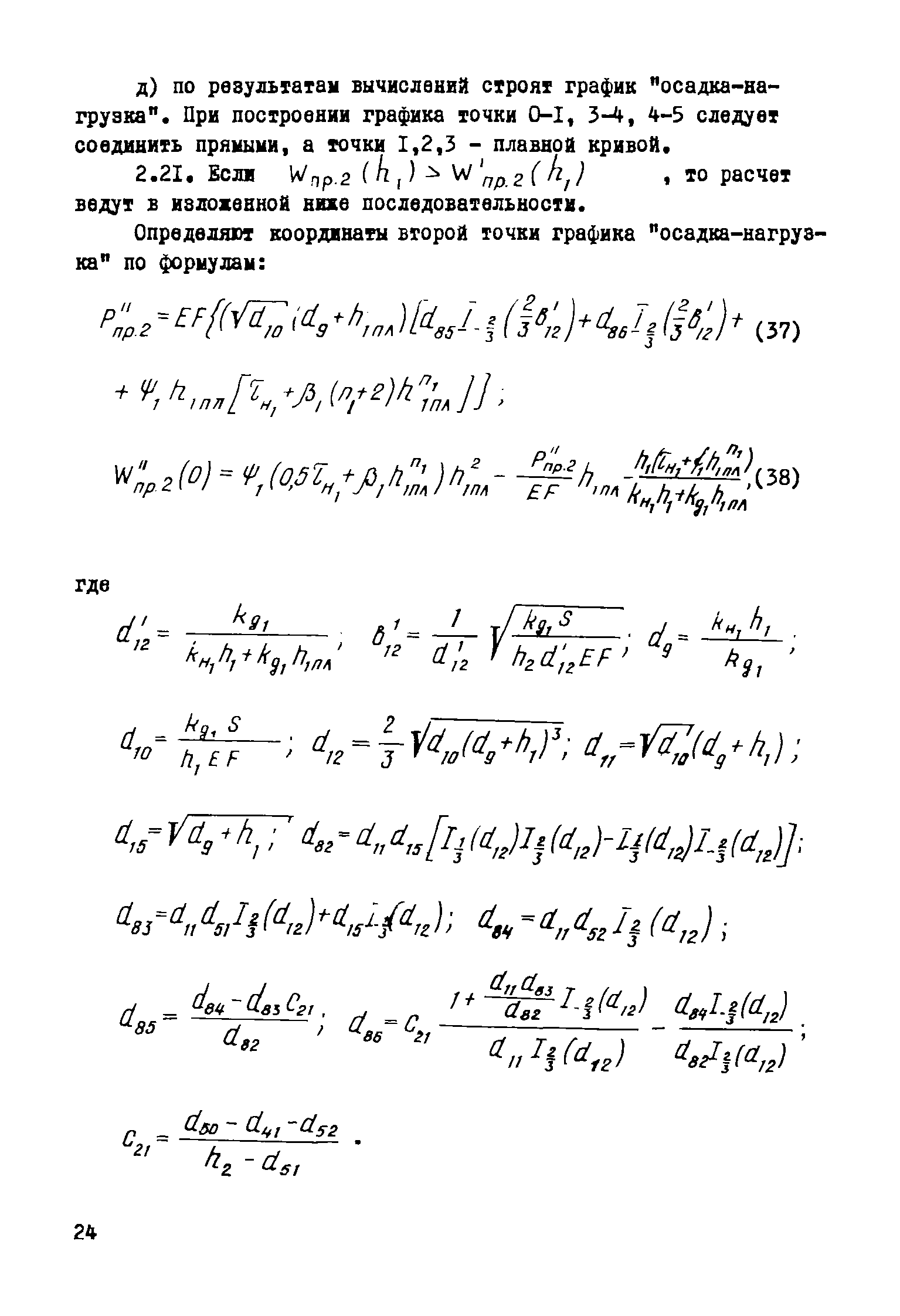
Оглавление:1. Общие положения
2. Расчет по предельным состояниям
Приложения
Разработан: ВНИИСТ
Утверждён:17.09.1974 ВНИИСТ (VNIIST )
Расположен в:Техническая документация Экология ГРАЖДАНСКОЕ СТРОИТЕЛЬСТВО Земляные работы. Выемка грунта. Сооружение фундаментов. Подземные работы Фундаменты ДОБЫЧА И ПЕРЕРАБОТКА НЕФТИ, ГАЗА И СМЕЖНЫЕ ПРОИЗВОДСТВА Оборудование для нефтяной и газовой промышленности Оборудование для нефтяной и газовой промышленности прочее Строительство Нормативные документы Отраслевые и ведомственные нормативно-методические документы Проектирование и строительство объектов нефтяной и газовой промышленности
Нормативные ссылки:
Р 162-74Р 162-74Р 162-74Р 162-74Р 162-74Р 162-74Р 162-74Р 162-74Р 162-74Р 162-74Р 162-74Р 162-74Р 162-74Р 162-74Р 162-74Р 162-74Р 162-74Р 162-74Р 162-74Р 162-74Р 162-74Р 162-74Р 162-74Р 162-74Р 162-74Р 162-74Р 162-74Р 162-74Р 162-74Р 162-74Р 162-74Р 162-74Р 162-74Р 162-74Р 162-74Р 162-74Р 162-74Р 162-74Р 162-74Р 162-74Р 162-74Р 162-74Р 162-74Р 162-74Р 162-74Р 162-74Р 162-74Р 162-74Р 162-74Р 162-74

© 2013 Ёшкин Кот :-) Карта сайта