Скачать ГОСТ Р 54502-2011 Микробиология пищевых продуктов и кормов для животных. Руководство по оценке неопределенности измерений при количественных определенияхДата актуализации: 10.08.2017 ГОСТ Р 54502-2011
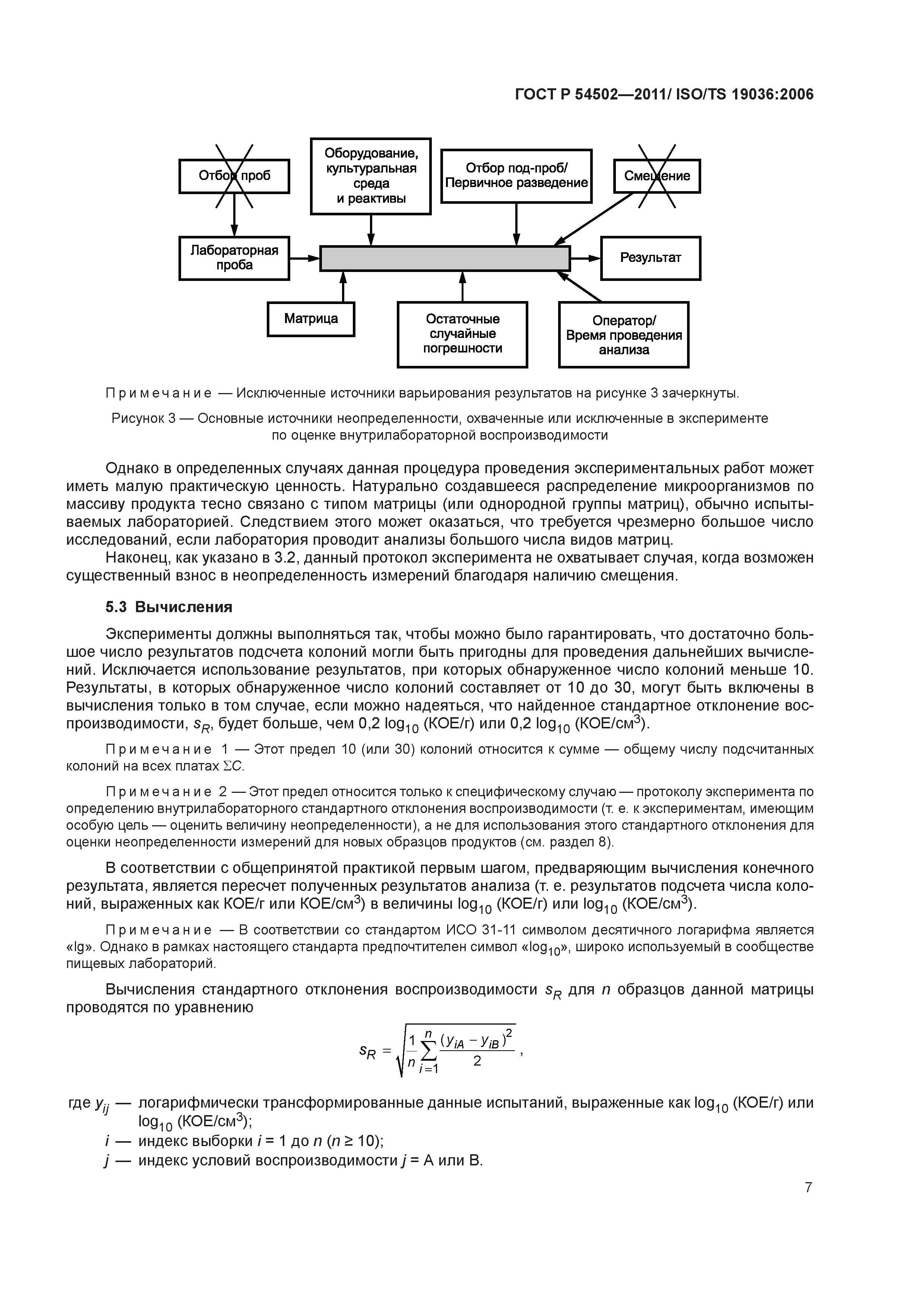
Микробиология пищевых продуктов и кормов для животных. Руководство по оценке неопределенности измерений при количественных определенияхОбозначение: | ГОСТ Р 54502-2011 | Обозначение англ: | GOST R 54502-2011 | Статус: | действует | Название рус.: | Микробиология пищевых продуктов и кормов для животных. Руководство по оценке неопределенности измерений при количественных определениях | Название англ.: | Microbiology of food and animal feeding stuffs. Guidelines for the estimation of measurement uncertainty for quantitative determinations | Дата добавления в базу: | 01.09.2013 | Дата актуализации: | 05.05.2017 | Дата введения: | 01.01.2013 | Область применения: | Стандарт представляет собой руководство по оценке и выражению неопределенности, связанной с количественными определениями, осуществляемыми в пищевой микробиологии. Стандарт применим при количественных анализах: - продуктов, предназначенных для потребления человеком, и кормов для животных и - проб, взятых с целью контроля состояния окружающей среды при производстве продуктов, которые обычно проводятся путем определения количества микроорганизмов с использованием техники подсчета числа культивированных колоний, однако он пригоден также и при количественных анализах, осуществляемых альтернативными инструментальными методами. Стандарт не применим в случае использования так называемой "техники определения наиболее вероятного числа". В стандарте неопределенность измерений оценивается с использованием упрощенного подхода, в котором принимается в учет Пуассоновское распределение, и поэтому он применим по отношению к любому результату микробиологического анализа, включая случаи "низкого" результата подсчета числа колониеобразующих единиц и/или "низкого" числа микроорганизмов. | Оглавление: | 1 Область применения 2 Термины и определения 3 Принципы 3.1 Глобальный подход при оценке неопределенности измерений 3.2 Рассмотрение смещения 4 Общие положения 4.1 Суммарная стандартная неопределенность 4.2 Стандартное отклонение воспроизводимости 4.3 Расширенная неопределенность 4.4 Общие правила оценки величины стандартного отклонения воспроизводимости 5 Внутрилабораторное стандартное отклонение воспроизводимости 5.1 Общие положения 5.2 Процедура проведения эксперимента 5.3 Вычисления 6 Стандартное отклонение воспроизводимости метода, определяемое по данным межлабораторных испытаний 6.1 Общие положения 6.2 Использование в пищевой микробиологии 7 Стандартное отклонение воспроизводимости, определяемое по данным межлабораторных испытаний по подтверждению технической компетентности 8 Вычисление расширенной неопределенности 8.1 Введение 8.2 Вычисления 9 Выражение неопределенности измерений в отчетах по испытаниям Приложение А (справочное) Результаты исследований компоненты неопределенности, связанной с этапами приготовления под-проб и исходной суспензии Приложение В (справочное) Величины Сlim и нижний и верхний предельные значения результата измерений, выраженные в относительных единицах Библиография | Разработан: | ГНУ ВНИИКОП Россельхозакадемии
| Утверждён: | 21.11.2011 Федеральное агентство по техническому регулированию и метрологии (565-ст)
| Издан: | Стандартинформ (2012 г. )
| Расположен в: |
|
                         
|