Информационная система
«Ёшкин Кот»

Скачать базу одним архивом
Скачать обновления
История создания базы
Карта сайта

Скачать Рекомендации по проектированию предварительно-напряженных ригелей с внешним армированием для гражданских каркасных зданий с укрупненной сеткой колонн

Дата актуализации: 10.08.2017

Рекомендации по проектированию предварительно-напряженных ригелей с внешним армированием для гражданских каркасных зданий с укрупненной сеткой колонн

Статус:действует
Название рус.:Рекомендации по проектированию предварительно-напряженных ригелей с внешним армированием для гражданских каркасных зданий с укрупненной сеткой колонн
Дата добавления в базу:01.09.2013
Дата актуализации:05.05.2017
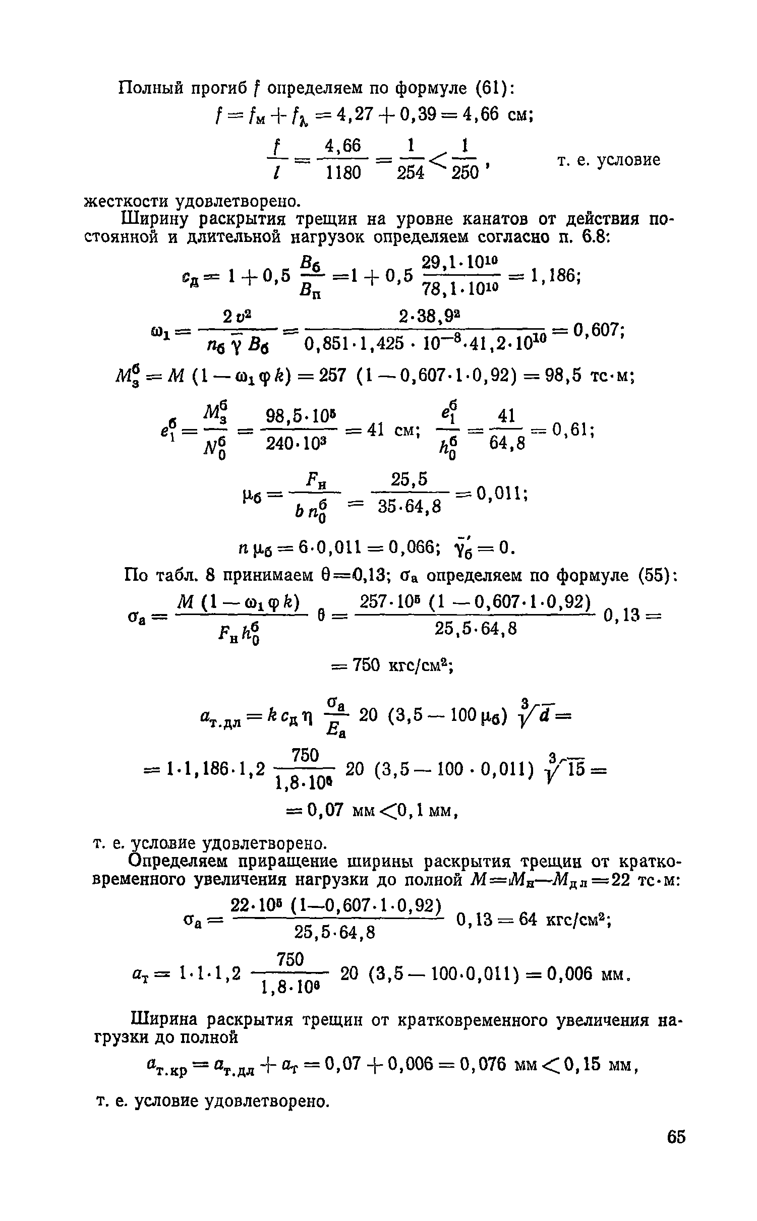
Область применения:В документе приведены основные положения проектирования балок и ригелей с внешним армированием. Дана характеристика конструктивных особенностей таких конструкций и изложена методика их расчета по прочности, образованию и закрытию трещин и деформациям. Книга предназначена для проектировщиков и инженерно-технических работников.
Оглавление:Предисловие
1. Общие положения
2. Конструктивные особенности балок и ригелей
3. Расчет по прочности
4. Определение усилий предварительного напряжения
5. Определение характеристик, учитывающих влияние податливости соединения листовой аркатуры с бетоном
6. Расчет по образованию и раскрытию трещин и деформациям
7. Расчет сборных стыков каркаса
Приложение. Примеры расчета
Разработан: ЦНИИпромзданий
ЦНИИЭП учебных зданий Госгражданстроя при Госстрое СССР
НИИ бетона и железобетона
Утверждён:15.05.1975 ЦНИИЭП учебных зданий Госгражданстроя (2)
Издан: Стройиздат (1976 г. )
Расположен в:Техническая документация Экология СТРОИТЕЛЬНЫЕ МАТЕРИАЛЫ И СТРОИТЕЛЬСТВО Арматура для зданий Строительство Справочные документы Директивные письма, положения, рекомендации и др.
Нормативные ссылки:

© 2013 Ёшкин Кот :-) Карта сайта