Информационная система
«Ёшкин Кот»

Скачать базу одним архивом
Скачать обновления
История создания базы
Карта сайта

Скачать Р 591-86 Рекомендации по определению мощности и потенциала долговременного потока

Дата актуализации: 10.08.2017

Р 591-86

Рекомендации по определению мощности и потенциала долговременного потока

Обозначение: Р 591-86
Обозначение англ: R 591-86
Статус:действует
Название рус.:Рекомендации по определению мощности и потенциала долговременного потока
Дата добавления в базу:01.09.2013
Дата актуализации:05.05.2017
Дата введения:01.07.1986
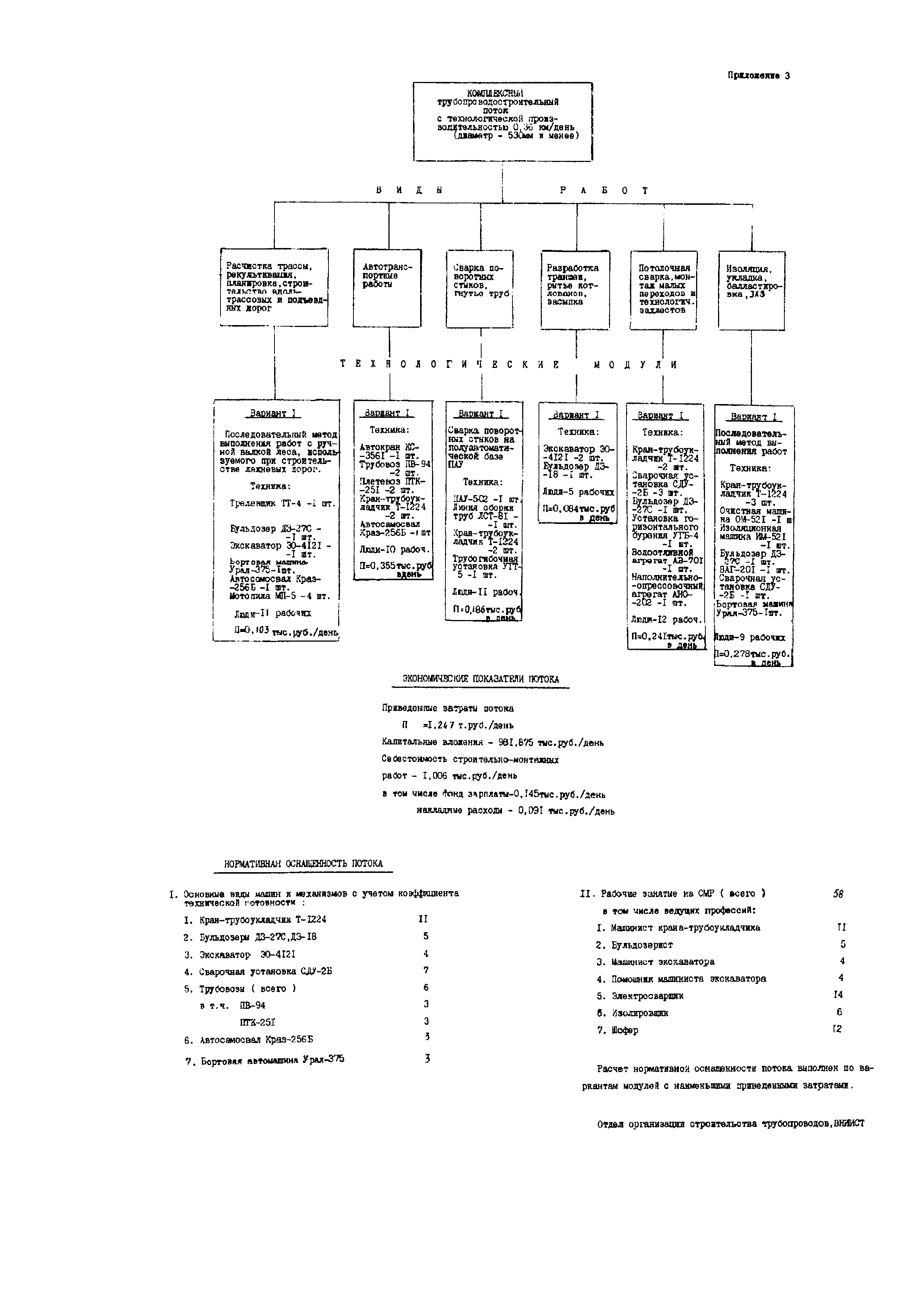
Область применения:Рекомендации распространяются на долговременные комплексные технологические потоки строительных организаций (трестов, главков, объединений) Миннефтегазстроя. Документ устанавливает методы расчета мощности и потенциала для долговременных потоков с оптимальной технической производительностью, структурой и ресурсным составом для различных диаметров сооружаемых трубопроводов и регионов строительства.
Оглавление:1. Основные положения
2. Балансы рабочего времени
3. Расчет мощности и потенциала долговременного потока
Приложения
Разработан: ВНИИСТ
Утверждён:05.02.1986 ВНИИСТ (VNIIST )
Расположен в:Техническая документация Строительство Нормативные документы Отраслевые и ведомственные нормативно-методические документы Проектирование и строительство объектов нефтяной и газовой промышленности
Р 591-86Р 591-86Р 591-86Р 591-86Р 591-86Р 591-86Р 591-86Р 591-86Р 591-86Р 591-86Р 591-86Р 591-86Р 591-86Р 591-86Р 591-86Р 591-86Р 591-86Р 591-86Р 591-86Р 591-86Р 591-86

© 2013 Ёшкин Кот :-) Карта сайта