Скачать Письмо 10837-ИП/08 Рекомендуемые к применению во II квартале 2012 года индексы изменения сметной стоимости строительно-монтажных работ, индексы изменения сметной стоимости пусконаладочных работ, индексы изменения сметной стоимости проектных и изыскательских работ, индексы изменения сметной стоимости прочих работ и затрат и индексы изменения сметной стоимости оборудованияДата актуализации: 10.08.2017 Письмо 10837-ИП/08
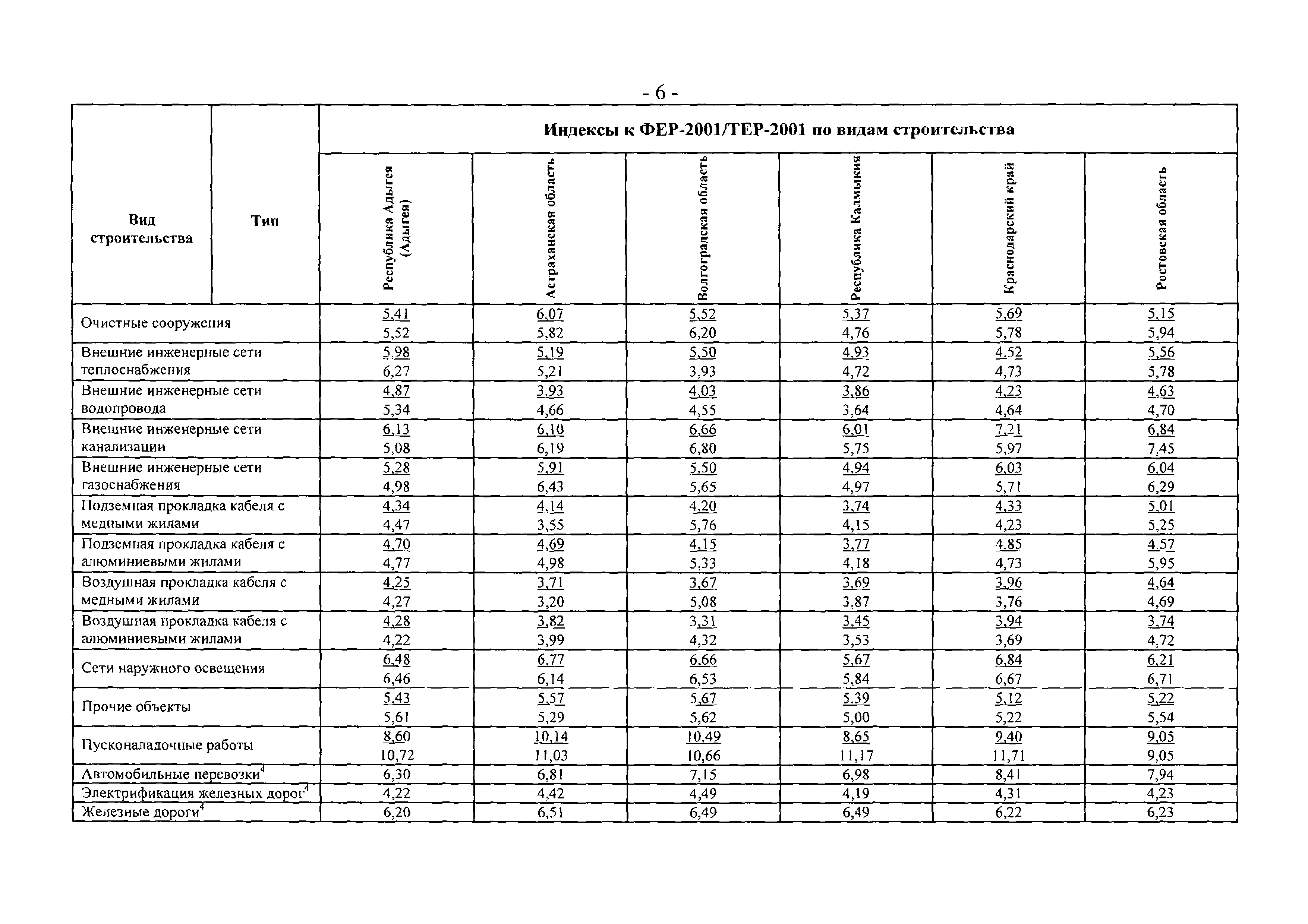
Рекомендуемые к применению во II квартале 2012 года индексы изменения сметной стоимости строительно-монтажных работ, индексы изменения сметной стоимости пусконаладочных работ, индексы изменения сметной стоимости проектных и изыскательских работ, индексы изменения сметной стоимости прочих работ и затрат и индексы изменения сметной стоимости оборудованияОбозначение: | Письмо 10837-ИП/08 | Обозначение англ: | Notice 10837-ИП/08 | Статус: | действует | Название рус.: | Рекомендуемые к применению во II квартале 2012 года индексы изменения сметной стоимости строительно-монтажных работ, индексы изменения сметной стоимости пусконаладочных работ, индексы изменения сметной стоимости проектных и изыскательских работ, индексы изменения сметной стоимости прочих работ и затрат и индексы изменения сметной стоимости оборудования | Дата добавления в базу: | 01.09.2013 | Дата актуализации: | 05.05.2017 | Область применения: | Индексы предназначены для формирования начальной (максимальной) цены торгов при подготовке конкурсной документации, общеэкономических расчетов в инвестиционной сфере для объектов капитального строительства, финансирование которых осуществляется с привлечением средств федерального бюджета. Для взаиморасчетов за выполненные работы указанные индексы не предназначены. | Оглавление: | Приложение 1. Индексы изменения сметной стоимости строительно-монтажных работ по видам строительства и пусконаладочных работ, определяемых с применением федеральных и территориальных единичных расценок на II квартал 2012 года (без НДС) Приложение 2. Индексы изменения сметной стоимости строительно-монтажных работ, определяемых с применением отраслевой сметно-нормативной базы на II квартал 2012 года (без НДС) Приложение 3. Индексы изменения сметной стоимости проектных и изыскательских работ на II квартал 2012 года (без НДС) Приложение 4. Индексы изменения сметной стоимости прочих работ и затрат к уровню цен по состоянию на 01.01.2000 на II квартал 2012 года (без НДС) Приложение 5. Индексы изменения сметной стоимости оборудования на II квартал 2012 года (без НДС) | Разработан: | ОАО Центринвестпроект ОАО ПНИИИС ФАУ Федеральный центр ценообразования в строительстве и промышленности строительных материалов
| Утверждён: | 04.05.2012 Минрегион России (10837-ИП/08)
| Расположен в: |
| Нормативные ссылки: | |
                       
|