Информационная система
«Ёшкин Кот»

Скачать базу одним архивом
Скачать обновления
История создания базы
Карта сайта

Скачать ГОСТ Р ИСО 26382-2011 Установки когенераторные. Общие технические требования

Дата актуализации: 10.08.2017

ГОСТ Р ИСО 26382-2011

Установки когенераторные. Общие технические требования

Обозначение: ГОСТ Р ИСО 26382-2011
Обозначение англ: GOST R ISO 26382-2011
Статус:действует
Название рус.:Установки когенераторные. Общие технические требования
Название англ.:Cogeneration systems. General technical requirements
Дата добавления в базу:01.09.2013
Дата актуализации:05.05.2017
Дата введения:01.06.2012
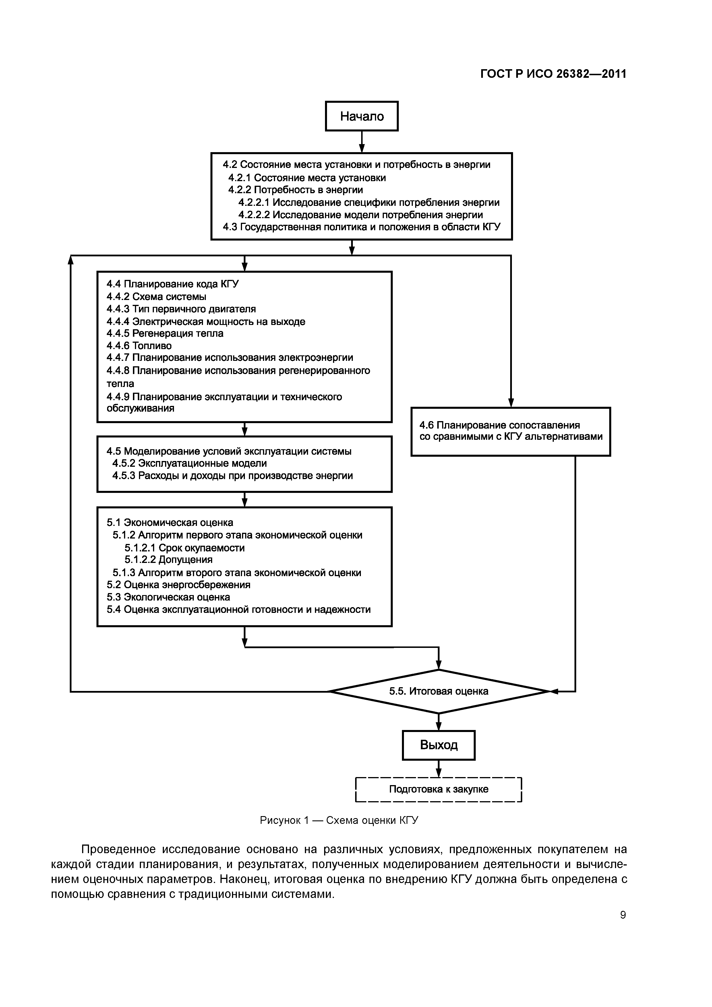
Область применения:Стандарт распространяется на когенераторные установки газотурбинных установок. Стандарт устанавливает аспекты исследования для оценки проекта, оценки когенераторных установок и первичных сведений для закупки когенераторных установок, а также необходимые контрольные показатели в процессе планирования применения когенераторных установок, обеспечивает процедуру достижения удовлетворяющей конфигурации когенераторных установок для каждого проекта и включает подробную схему этапов в процессе развития проекта.
Оглавление:1 Область применения
2 Нормативные ссылки
3 Термины и определения
4 Общая информация по проекту
5 Оценка КГУ
6 Первичная информация и работы по приобретению КГУ
Приложение А (справочное) Типовая процедура оценки для планирования ввода КГУ
Приложение В (справочное) Типовая процедура анализа стоимости жизненного цикла
Приложение С (справочное) Типовые диаграммы КГУ
Приложение D (справочное) Метод расчета периода времени, когда КГУ и традиционная система имеют одинаковые издержки
Приложение Е (справочное) Метод вычисления суммарной прибыли за срок службы агрегата
Приложение F (справочное) Рабочая классификация информации и работы по закупкам КГУ
Приложение ДА (справочное) Сведения о соответствии ссылочных международных стандартов ссылочным национальным стандартам Российской Федерации
Разработан: ФГУП ЦИАМ им. П.И. Баранова
Утверждён:16.09.2011 Федеральное агентство по техническому регулированию и метрологии (306-ст)
Издан: Стандартинформ (2011 г. )
Расположен в:Техническая документация Электроэнергия ЭНЕРГЕТИКА И ТЕПЛОТЕХНИКА Газовые и паровые турбины. Паровые двигатели Экология ЭНЕРГЕТИКА И ТЕПЛОТЕХНИКА Газовые и паровые турбины. Паровые двигатели
Нормативные ссылки:
ГОСТ Р ИСО 26382-2011ГОСТ Р ИСО 26382-2011ГОСТ Р ИСО 26382-2011ГОСТ Р ИСО 26382-2011ГОСТ Р ИСО 26382-2011ГОСТ Р ИСО 26382-2011ГОСТ Р ИСО 26382-2011ГОСТ Р ИСО 26382-2011ГОСТ Р ИСО 26382-2011ГОСТ Р ИСО 26382-2011ГОСТ Р ИСО 26382-2011ГОСТ Р ИСО 26382-2011ГОСТ Р ИСО 26382-2011ГОСТ Р ИСО 26382-2011ГОСТ Р ИСО 26382-2011ГОСТ Р ИСО 26382-2011ГОСТ Р ИСО 26382-2011ГОСТ Р ИСО 26382-2011ГОСТ Р ИСО 26382-2011ГОСТ Р ИСО 26382-2011ГОСТ Р ИСО 26382-2011ГОСТ Р ИСО 26382-2011ГОСТ Р ИСО 26382-2011

© 2013 Ёшкин Кот :-) Карта сайта