Информационная система
«Ёшкин Кот»

Скачать базу одним архивом
Скачать обновления
История создания базы
Карта сайта

Скачать НД 2-020101-072 Правила классификации и постройки морских судов. Том 1 (редакция 2013 года)

Дата актуализации: 10.08.2017

НД 2-020101-072

Правила классификации и постройки морских судов. Том 1 (редакция 2013 года)

Обозначение: НД 2-020101-072
Обозначение англ: ND 2-020101-072
Статус:заменен
Название рус.:Правила классификации и постройки морских судов. Том 1 (редакция 2013 года)
Дата добавления в базу:01.09.2013
Дата актуализации:05.05.2017
Дата введения:01.01.2014
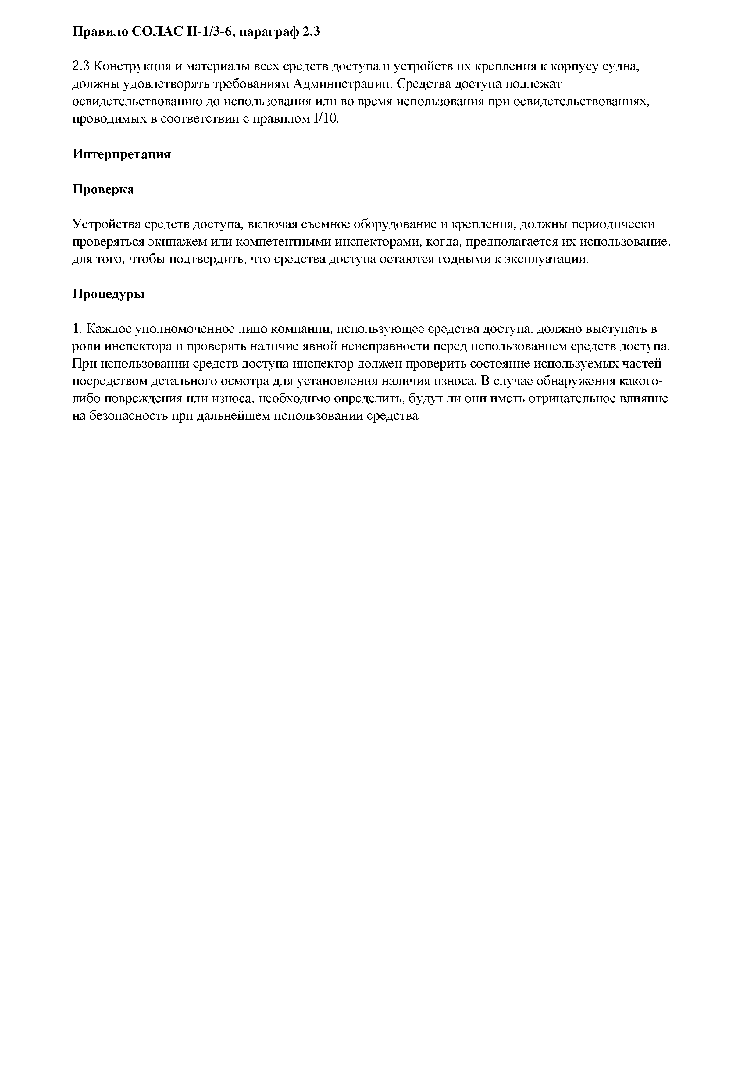
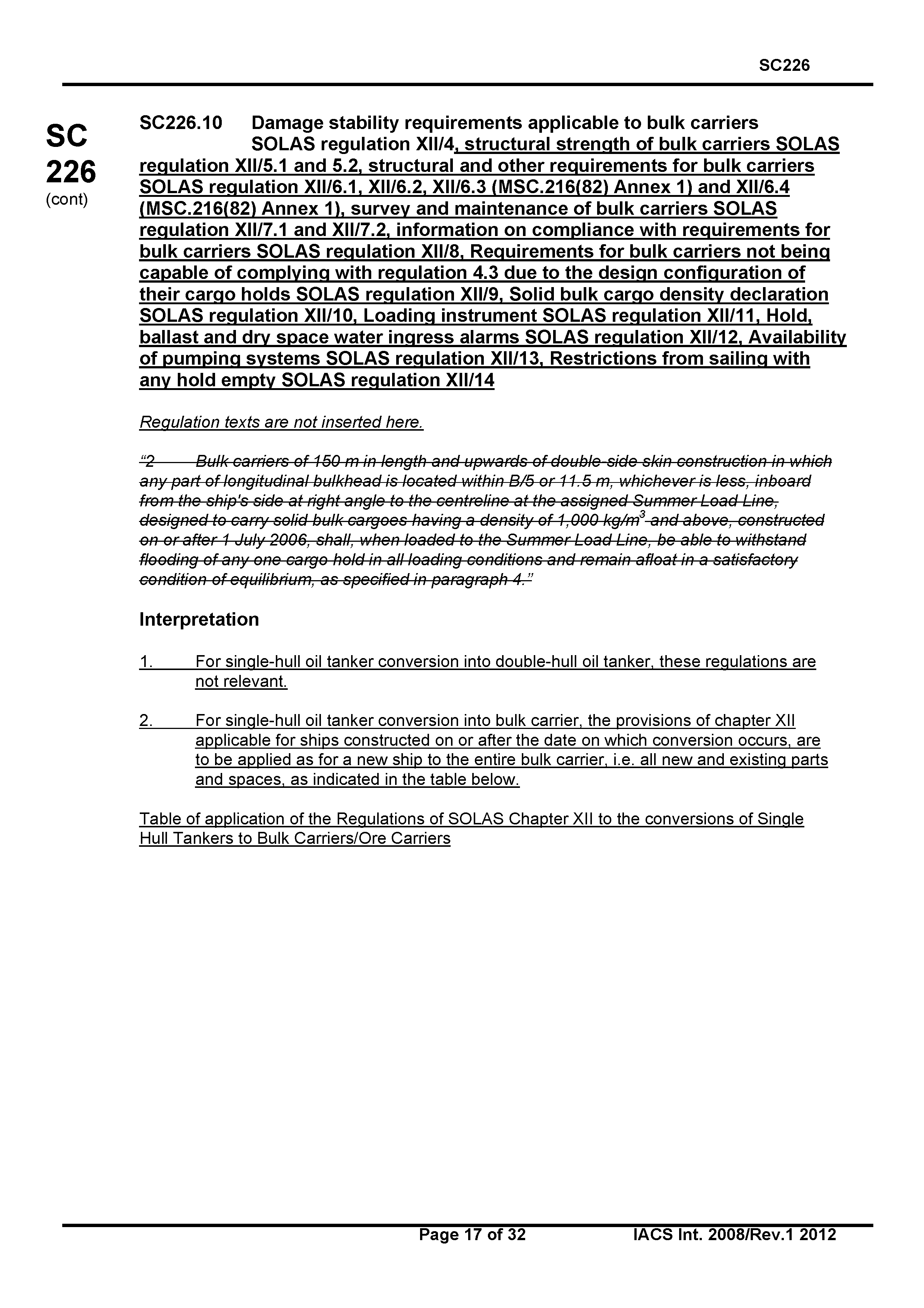
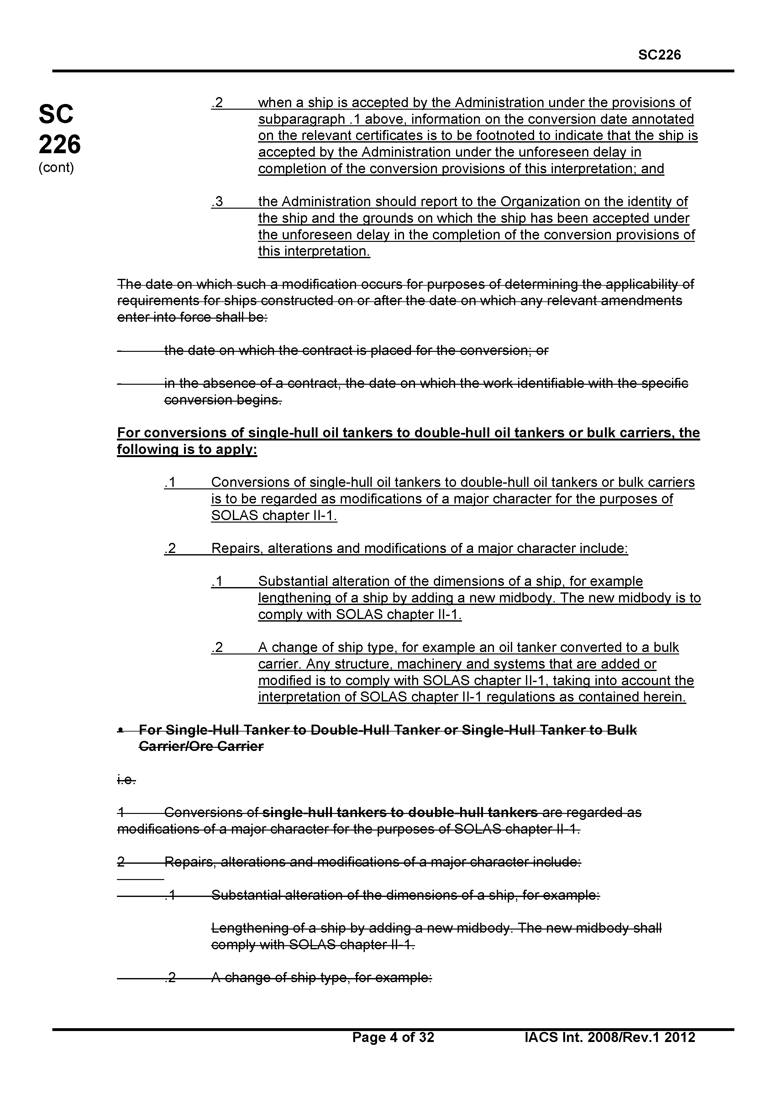
Область применения:Общие положения о классификационной и иной деятельности распространяются на деятельность Российского морского регистра судоходства, осуществляемую при: рассмотрении и согласовании технической документации на постройку, ремонт, переоборудование и модернизацию судов и морских стационарных платформ, на изготовление материалов и изделий для судов и МСП; проведении технического наблюдения за постройкой, ремонтом, переоборудованием и модернизацией судов и МСП; освидетельствовании судов и МСП в эксплуатации.
Оглавление:Общие положения о классификационной и иной деятельности
   1 Общие положения
   2 Освидетельствования
Правила классификации и постройки морских судов
Часть I. Классификация
   1 Общие положения
   2 Класс судна
   3 Техническая документация
   4 Классификация холодильных установок
Часть II. Корпус
   1 Принципы проектирования
   2 Общие требования к конструкциям корпуса
   3 Требования к конструкциям специализированных судов
Часть III. Устройства, оборудование и снабжения
   1 Общие положения
   2 Рулевое устройство
   3 Якорное устройство
   4 Швартовное устройство
   5 Буксирное устройство
   6 Сигнальные мачты
   7 Устройство и закрытие отверстий в корпусе, надстройках и рубках
   8 Устройство и оборудование помещений. Другие устройства и оборудование
   9 Аварийное снабжение
Часть IV. Остойчивость
   1 Общие положения
   2 Общие требования к остойчивости
   3 Дополнительные требования к остойчивости
   4 Требования к остойчивости плавучих кранов, крановых судов, транспортных понтонов, доков и стоечных судов
Часть V. Деление на отсеки
   1 Общие положения
   2 Вероятностная оценка деления судов на отсеки
   3 Аварийная посадка и остойчивость
   4 Специальные требования к судам типа В с уменьшенным надводным бортом и к судам типа А
   5 Требования к судам, находящимся в эксплуатации
Часть VI. Противопожарная защита
   1 Общие положения
   2 Конструктивная противопожарная защита
   3 Противопожарное оборудование и системы
   4 Системы пожарной сигнализации
   5 Противопожарное снабжение, запасные части и инструмент
   6 Требования к противопожарной защите специализированных судов и специальным устройствам на судах
   7 Специальные требования к судам, перевозящим опасные грузы в упаковке и навалом
   8 Требования к противопожарной защите грузовых судов валовой вместимостью менее 500
Алфавитно-предметный указатель
Разработан: Российский морской регистр судоходства
Утверждён:30.10.2012 Российский морской регистр судоходства
Издан: Российский морской регистр судоходства (2013 г. )
Расположен в:Техническая документация Экология СУДОСТРОЕНИЕ И МОРСКИЕ СООРУЖЕНИЯ Морские суда
Список изменений:
Чем заменён:
Нормативные ссылки:
НД 2-020101-072НД 2-020101-072НД 2-020101-072НД 2-020101-072НД 2-020101-072НД 2-020101-072НД 2-020101-072НД 2-020101-072НД 2-020101-072НД 2-020101-072НД 2-020101-072НД 2-020101-072НД 2-020101-072НД 2-020101-072НД 2-020101-072НД 2-020101-072НД 2-020101-072НД 2-020101-072НД 2-020101-072НД 2-020101-072НД 2-020101-072НД 2-020101-072НД 2-020101-072НД 2-020101-072НД 2-020101-072НД 2-020101-072НД 2-020101-072НД 2-020101-072НД 2-020101-072НД 2-020101-072НД 2-020101-072НД 2-020101-072НД 2-020101-072НД 2-020101-072НД 2-020101-072НД 2-020101-072НД 2-020101-072НД 2-020101-072НД 2-020101-072НД 2-020101-072НД 2-020101-072НД 2-020101-072НД 2-020101-072НД 2-020101-072НД 2-020101-072НД 2-020101-072НД 2-020101-072НД 2-020101-072НД 2-020101-072НД 2-020101-072НД 2-020101-072НД 2-020101-072НД 2-020101-072НД 2-020101-072НД 2-020101-072НД 2-020101-072НД 2-020101-072НД 2-020101-072НД 2-020101-072НД 2-020101-072НД 2-020101-072НД 2-020101-072НД 2-020101-072НД 2-020101-072НД 2-020101-072НД 2-020101-072НД 2-020101-072НД 2-020101-072НД 2-020101-072НД 2-020101-072НД 2-020101-072НД 2-020101-072НД 2-020101-072НД 2-020101-072НД 2-020101-072НД 2-020101-072НД 2-020101-072НД 2-020101-072НД 2-020101-072НД 2-020101-072НД 2-020101-072НД 2-020101-072НД 2-020101-072НД 2-020101-072НД 2-020101-072НД 2-020101-072НД 2-020101-072НД 2-020101-072НД 2-020101-072НД 2-020101-072НД 2-020101-072НД 2-020101-072НД 2-020101-072НД 2-020101-072НД 2-020101-072НД 2-020101-072НД 2-020101-072НД 2-020101-072НД 2-020101-072НД 2-020101-072НД 2-020101-072НД 2-020101-072НД 2-020101-072НД 2-020101-072НД 2-020101-072НД 2-020101-072НД 2-020101-072НД 2-020101-072НД 2-020101-072НД 2-020101-072НД 2-020101-072НД 2-020101-072НД 2-020101-072НД 2-020101-072НД 2-020101-072НД 2-020101-072НД 2-020101-072НД 2-020101-072НД 2-020101-072НД 2-020101-072НД 2-020101-072НД 2-020101-072НД 2-020101-072НД 2-020101-072НД 2-020101-072НД 2-020101-072НД 2-020101-072НД 2-020101-072НД 2-020101-072НД 2-020101-072НД 2-020101-072НД 2-020101-072НД 2-020101-072НД 2-020101-072НД 2-020101-072НД 2-020101-072НД 2-020101-072НД 2-020101-072НД 2-020101-072НД 2-020101-072НД 2-020101-072НД 2-020101-072НД 2-020101-072НД 2-020101-072НД 2-020101-072НД 2-020101-072НД 2-020101-072НД 2-020101-072НД 2-020101-072НД 2-020101-072НД 2-020101-072НД 2-020101-072НД 2-020101-072НД 2-020101-072НД 2-020101-072НД 2-020101-072НД 2-020101-072НД 2-020101-072НД 2-020101-072НД 2-020101-072НД 2-020101-072НД 2-020101-072НД 2-020101-072НД 2-020101-072НД 2-020101-072НД 2-020101-072НД 2-020101-072НД 2-020101-072НД 2-020101-072НД 2-020101-072НД 2-020101-072НД 2-020101-072НД 2-020101-072НД 2-020101-072НД 2-020101-072НД 2-020101-072НД 2-020101-072НД 2-020101-072НД 2-020101-072НД 2-020101-072НД 2-020101-072НД 2-020101-072НД 2-020101-072НД 2-020101-072НД 2-020101-072НД 2-020101-072НД 2-020101-072НД 2-020101-072НД 2-020101-072НД 2-020101-072НД 2-020101-072НД 2-020101-072НД 2-020101-072НД 2-020101-072НД 2-020101-072НД 2-020101-072НД 2-020101-072НД 2-020101-072НД 2-020101-072НД 2-020101-072НД 2-020101-072НД 2-020101-072НД 2-020101-072НД 2-020101-072НД 2-020101-072НД 2-020101-072НД 2-020101-072НД 2-020101-072НД 2-020101-072НД 2-020101-072НД 2-020101-072НД 2-020101-072НД 2-020101-072НД 2-020101-072НД 2-020101-072НД 2-020101-072НД 2-020101-072НД 2-020101-072НД 2-020101-072НД 2-020101-072НД 2-020101-072НД 2-020101-072НД 2-020101-072НД 2-020101-072НД 2-020101-072НД 2-020101-072НД 2-020101-072НД 2-020101-072НД 2-020101-072НД 2-020101-072НД 2-020101-072НД 2-020101-072НД 2-020101-072НД 2-020101-072НД 2-020101-072НД 2-020101-072НД 2-020101-072НД 2-020101-072НД 2-020101-072НД 2-020101-072НД 2-020101-072НД 2-020101-072НД 2-020101-072НД 2-020101-072НД 2-020101-072НД 2-020101-072НД 2-020101-072НД 2-020101-072НД 2-020101-072НД 2-020101-072НД 2-020101-072НД 2-020101-072НД 2-020101-072НД 2-020101-072НД 2-020101-072НД 2-020101-072НД 2-020101-072НД 2-020101-072НД 2-020101-072НД 2-020101-072НД 2-020101-072НД 2-020101-072НД 2-020101-072НД 2-020101-072НД 2-020101-072НД 2-020101-072НД 2-020101-072НД 2-020101-072НД 2-020101-072НД 2-020101-072НД 2-020101-072НД 2-020101-072НД 2-020101-072НД 2-020101-072НД 2-020101-072НД 2-020101-072НД 2-020101-072НД 2-020101-072НД 2-020101-072НД 2-020101-072НД 2-020101-072НД 2-020101-072НД 2-020101-072НД 2-020101-072НД 2-020101-072НД 2-020101-072НД 2-020101-072НД 2-020101-072НД 2-020101-072НД 2-020101-072НД 2-020101-072НД 2-020101-072НД 2-020101-072НД 2-020101-072НД 2-020101-072НД 2-020101-072НД 2-020101-072НД 2-020101-072НД 2-020101-072НД 2-020101-072НД 2-020101-072НД 2-020101-072НД 2-020101-072НД 2-020101-072НД 2-020101-072НД 2-020101-072НД 2-020101-072НД 2-020101-072НД 2-020101-072НД 2-020101-072НД 2-020101-072НД 2-020101-072НД 2-020101-072НД 2-020101-072НД 2-020101-072НД 2-020101-072НД 2-020101-072НД 2-020101-072НД 2-020101-072НД 2-020101-072НД 2-020101-072НД 2-020101-072НД 2-020101-072НД 2-020101-072НД 2-020101-072НД 2-020101-072НД 2-020101-072НД 2-020101-072НД 2-020101-072НД 2-020101-072НД 2-020101-072НД 2-020101-072НД 2-020101-072НД 2-020101-072НД 2-020101-072НД 2-020101-072НД 2-020101-072НД 2-020101-072НД 2-020101-072НД 2-020101-072НД 2-020101-072НД 2-020101-072НД 2-020101-072НД 2-020101-072НД 2-020101-072НД 2-020101-072НД 2-020101-072НД 2-020101-072НД 2-020101-072НД 2-020101-072НД 2-020101-072НД 2-020101-072НД 2-020101-072НД 2-020101-072НД 2-020101-072НД 2-020101-072НД 2-020101-072НД 2-020101-072НД 2-020101-072НД 2-020101-072НД 2-020101-072НД 2-020101-072НД 2-020101-072НД 2-020101-072НД 2-020101-072НД 2-020101-072НД 2-020101-072НД 2-020101-072НД 2-020101-072НД 2-020101-072НД 2-020101-072НД 2-020101-072НД 2-020101-072НД 2-020101-072НД 2-020101-072НД 2-020101-072НД 2-020101-072НД 2-020101-072НД 2-020101-072НД 2-020101-072НД 2-020101-072НД 2-020101-072НД 2-020101-072НД 2-020101-072НД 2-020101-072НД 2-020101-072НД 2-020101-072НД 2-020101-072НД 2-020101-072НД 2-020101-072НД 2-020101-072НД 2-020101-072НД 2-020101-072НД 2-020101-072НД 2-020101-072НД 2-020101-072НД 2-020101-072НД 2-020101-072НД 2-020101-072НД 2-020101-072НД 2-020101-072НД 2-020101-072НД 2-020101-072НД 2-020101-072НД 2-020101-072НД 2-020101-072НД 2-020101-072НД 2-020101-072НД 2-020101-072НД 2-020101-072НД 2-020101-072НД 2-020101-072НД 2-020101-072НД 2-020101-072НД 2-020101-072НД 2-020101-072НД 2-020101-072НД 2-020101-072НД 2-020101-072НД 2-020101-072НД 2-020101-072НД 2-020101-072НД 2-020101-072НД 2-020101-072НД 2-020101-072НД 2-020101-072НД 2-020101-072НД 2-020101-072НД 2-020101-072НД 2-020101-072НД 2-020101-072НД 2-020101-072НД 2-020101-072НД 2-020101-072НД 2-020101-072НД 2-020101-072НД 2-020101-072НД 2-020101-072НД 2-020101-072НД 2-020101-072НД 2-020101-072НД 2-020101-072НД 2-020101-072НД 2-020101-072НД 2-020101-072НД 2-020101-072НД 2-020101-072НД 2-020101-072НД 2-020101-072НД 2-020101-072НД 2-020101-072НД 2-020101-072НД 2-020101-072НД 2-020101-072НД 2-020101-072НД 2-020101-072НД 2-020101-072НД 2-020101-072НД 2-020101-072НД 2-020101-072НД 2-020101-072НД 2-020101-072НД 2-020101-072НД 2-020101-072НД 2-020101-072НД 2-020101-072НД 2-020101-072НД 2-020101-072НД 2-020101-072НД 2-020101-072НД 2-020101-072НД 2-020101-072НД 2-020101-072НД 2-020101-072НД 2-020101-072НД 2-020101-072НД 2-020101-072НД 2-020101-072НД 2-020101-072НД 2-020101-072НД 2-020101-072НД 2-020101-072НД 2-020101-072НД 2-020101-072НД 2-020101-072НД 2-020101-072НД 2-020101-072НД 2-020101-072НД 2-020101-072НД 2-020101-072НД 2-020101-072НД 2-020101-072НД 2-020101-072НД 2-020101-072НД 2-020101-072НД 2-020101-072НД 2-020101-072НД 2-020101-072НД 2-020101-072НД 2-020101-072НД 2-020101-072НД 2-020101-072НД 2-020101-072НД 2-020101-072НД 2-020101-072НД 2-020101-072

Текстовое изменение приложение

приложениеприложениеприложениеприложениеприложениеприложениеприложениеприложениеприложениеприложениеприложениеприложениеприложениеприложениеприложениеприложениеприложениеприложениеприложениеприложениеприложениеприложениеприложениеприложениеприложениеприложениеприложениеприложениеприложениеприложениеприложениеприложениеприложениеприложениеприложениеприложениеприложениеприложениеприложениеприложениеприложениеприложениеприложениеприложениеприложениеприложениеприложениеприложениеприложениеприложениеприложениеприложениеприложениеприложениеприложениеприложениеприложениеприложениеприложениеприложениеприложениеприложениеприложениеприложениеприложениеприложениеприложениеприложениеприложениеприложениеприложениеприложениеприложениеприложениеприложениеприложениеприложениеприложениеприложениеприложениеприложениеприложениеприложениеприложениеприложениеприложениеприложениеприложениеприложениеприложениеприложениеприложениеприложениеприложениеприложениеприложениеприложениеприложениеприложениеприложениеприложениеприложениеприложениеприложениеприложениеприложениеприложениеприложениеприложениеприложениеприложениеприложениеприложениеприложениеприложениеприложениеприложениеприложениеприложениеприложениеприложениеприложениеприложениеприложениеприложениеприложениеприложениеприложениеприложениеприложениеприложениеприложениеприложениеприложениеприложениеприложениеприложениеприложениеприложениеприложениеприложениеприложениеприложениеприложениеприложениеприложениеприложениеприложениеприложениеприложениеприложениеприложениеприложениеприложениеприложениеприложениеприложениеприложениеприложениеприложениеприложениеприложениеприложениеприложениеприложениеприложениеприложениеприложениеприложениеприложениеприложениеприложениеприложениеприложениеприложениеприложениеприложениеприложениеприложениеприложениеприложениеприложениеприложениеприложениеприложениеприложениеприложениеприложениеприложениеприложениеприложениеприложениеприложениеприложениеприложениеприложениеприложениеприложениеприложениеприложениеприложениеприложениеприложение

© 2013 Ёшкин Кот :-) Карта сайта