Скачать Типовые нормы бесплатной выдачи специальной одежды, специальной обуви и других средств индивидуальной защиты работникам машиностроительных и металлообрабатывающих производств, занятым на работах с вредными и (или) опасными условиями труда, а также на работах, выполняемых в особых температурных условиях или связанных с загрязнениемДата актуализации: 10.08.2017
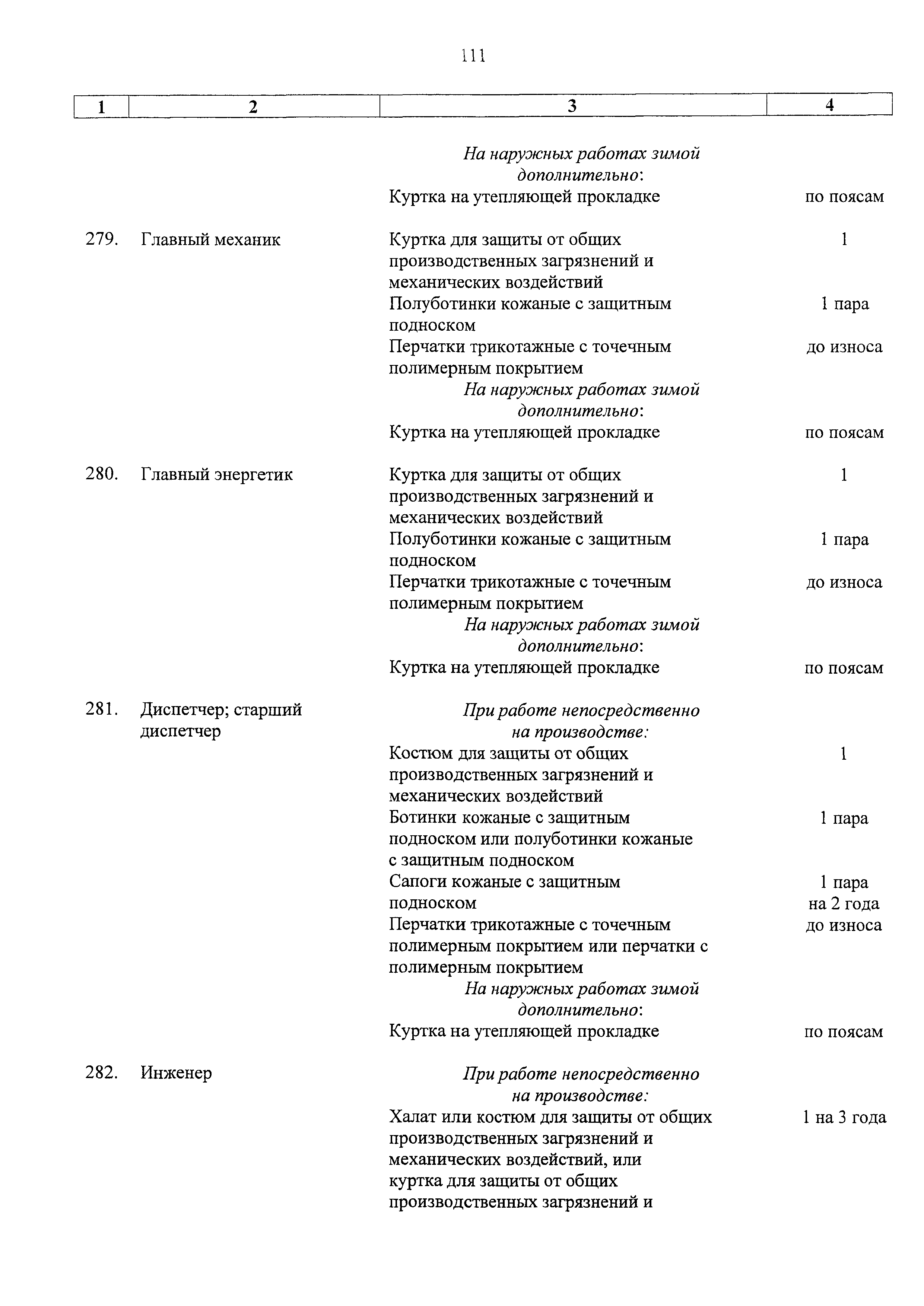
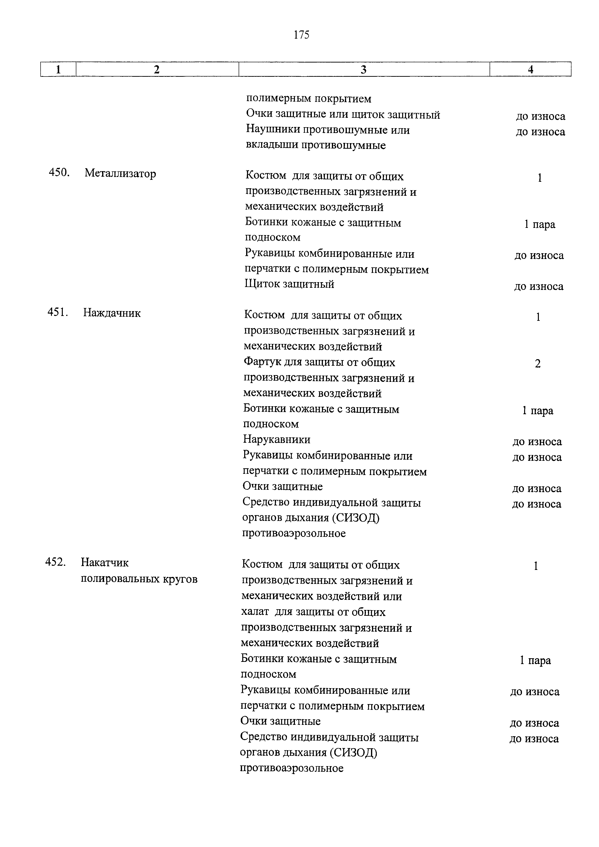
Типовые нормы бесплатной выдачи специальной одежды, специальной обуви и других средств индивидуальной защиты работникам машиностроительных и металлообрабатывающих производств, занятым на работах с вредными и (или) опасными условиями труда, а также на работах, выполняемых в особых температурных условиях или связанных с загрязнениемСтатус: | действует | Название рус.: | Типовые нормы бесплатной выдачи специальной одежды, специальной обуви и других средств индивидуальной защиты работникам машиностроительных и металлообрабатывающих производств, занятым на работах с вредными и (или) опасными условиями труда, а также на работах, выполняемых в особых температурных условиях или связанных с загрязнением | Дата добавления в базу: | 01.09.2013 | Дата актуализации: | 05.05.2017 | Оглавление: | 1. Чугунолитейное производство и литье цветных металлов 2. Производства порошковой металлургии 3. Производство электродов и флюсов 4. Кузнечно-прессовые и термические работы 5. Сварочные работы 6. Работы по металлопокрытиям и окраске 7. Механическая обработка металлов; слесарные и слесарно-сборочные работы 8. Производство подшипников 9. Кузовное производство 10. Работы по производству и восстановлению напильников 11. Абразивное производство 12. Производство сверхтвердых материалов и инструмента из них 13. Производство шлифовальной шкурки 14. Разборка, ремонт, сборка и испытание тягачей, автомобилей и тракторов 15. Испытание двигателей и силовых установок 16. Производство мягких баков 17. Производство мипоры 18. Котельные работы и работы по металлическим конструкциям 19. Производство грузовых автомобилей 19.1 Сварка и сборка кабин 19.2. Сварка и сборка цельнометаллических кузовов 19.3. Сборка узлов 19.4. Сборка грузовых автомобилей 19.5. Подсборка узлов и агрегатов 20. Производство легковых автомобилей 20.1. Сборка-сварка кузовов 20.2. Сборка легковых автомобилей 21. Производство автокомпонентов 22. Агрегатное производство 23. Производство спецтехники 23.1. Сборочные, сварочные, окрасочные работы 23.2. Сборка автомобилей и узлов 23.3. Тюнинг автомобилей 24. Инструментальное производство 25. Общие профессии машиностроительных и металлообрабатывающих производств Примечания к типовым нормам | Утверждён: | 14.12.2010 Минздравсоцразвития России (1104н)
| Расположен в: |
|
                                                                                                                                                                                                                                                                                                         
|