Информационная система
«Ёшкин Кот»

Скачать базу одним архивом
Скачать обновления
История создания базы
Карта сайта

Скачать ГОСТ Р 53871-2010 Методы оценки реабилитационной эффективности протезирования нижних конечностей

Дата актуализации: 10.08.2017

ГОСТ Р 53871-2010

Методы оценки реабилитационной эффективности протезирования нижних конечностей

Обозначение: ГОСТ Р 53871-2010
Обозначение англ: GOST R 53871-2010
Статус:действует
Название рус.:Методы оценки реабилитационной эффективности протезирования нижних конечностей
Название англ.:Methods of evaluation of rehabilitation efficiency of lower-limb prosthetics
Дата добавления в базу:01.09.2013
Дата актуализации:05.05.2017
Дата введения:01.10.2011
Область применения:Стандарт распространяется на протезы нижних конечностей и устанавливает следующие методы оценки реабилитационной эффективности протезирования нижних конечностей: клинический и биомеханический.
Оглавление:1 Область применения
2 Нормативные ссылки
3 Термины, определения и сокращения
4 Общие положения
5 Клинический метод оценки
   5.1 Сущность метода
   5.2 Общие требования
   5.3 Требования безопасности
   5.4 Требования к условиям, при которых проводят клиническую оценку.
   5.5 Порядок подготовки к проведению клинической оценки
   5.6 Методика оценки клинических показателей
   5.7 Правила оформления результатов оценки клинических показателей
6 Биомеханический метод оценки
   6.1 Сущность метода
   6.2 Общие требования
   6.3 Требования безопасности
   6.4 Требования к условиям, при которых проводят биомеханические исследования ходьбы
   6.5 Требования к средствам измерений и аппаратуре
   6.6 Порядок проведения биомеханических исследований ходьбы
   6.7 Правила обработки результатов биомеханических исследований ходьбы
   6.8 Правила оформления результатов оценки биомеханических показателей
   6.9 Точность биомеханического метода оценки
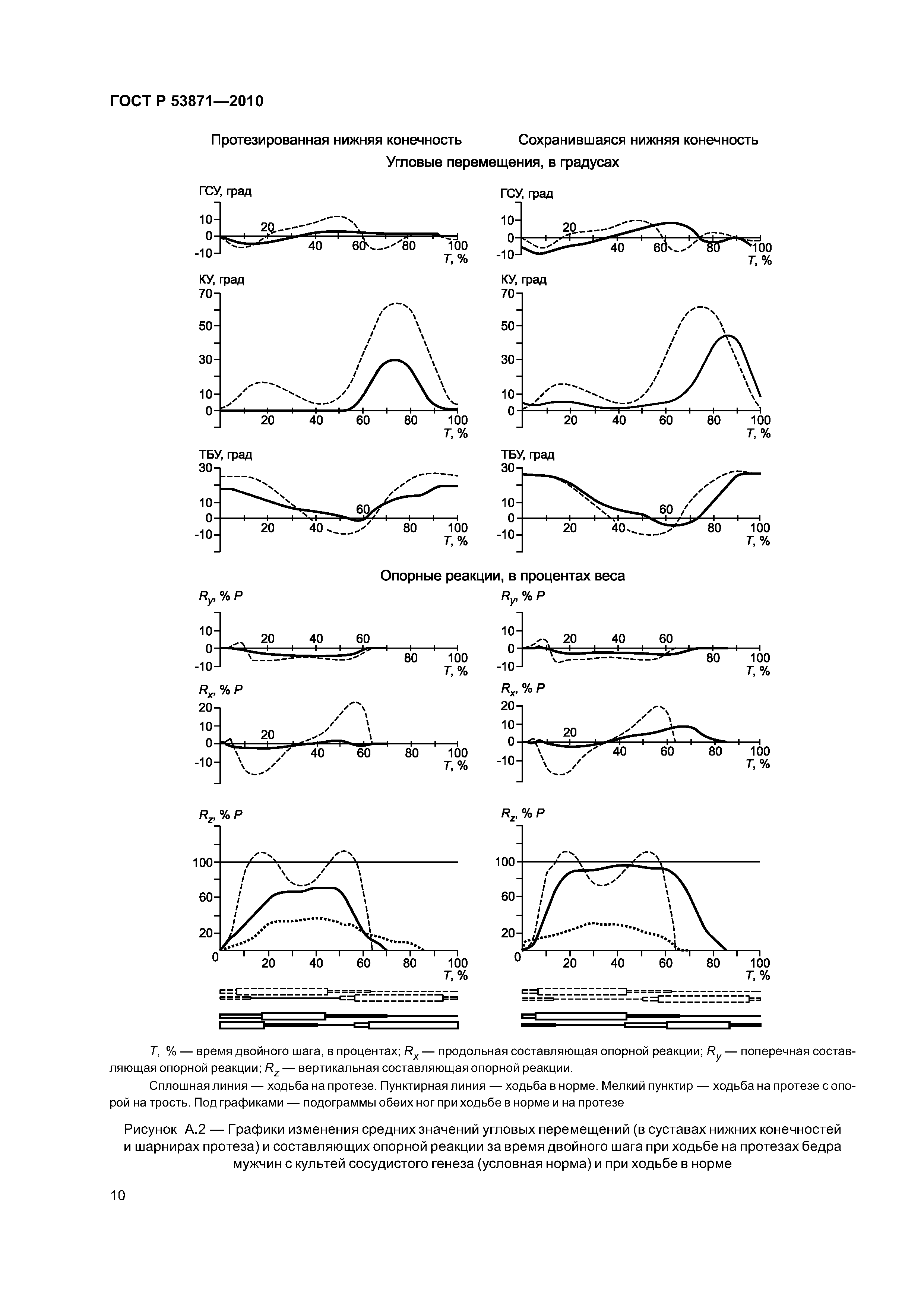
Приложение А (рекомендуемое) Графики изменения средних значений кинематических и динамических параметров за время двойного шага при ходьбе мужчин на протезах голени и бедра (условная норма) и при ходьбе в норме
Библиография
Разработан: ФГУ ФБМСЭ
Утверждён:17.09.2010 Федеральное агентство по техническому регулированию и метрологии (251-ст)
Издан: Стандартинформ (2012 г. )
Расположен в:Техническая документация Электроэнергия ЗДРАВООХРАНЕНИЕ Средства помощи для лиц с физическими недостатками и увечьями Средства помощи и приспособления для движения Экология ЗДРАВООХРАНЕНИЕ Средства помощи для лиц с физическими недостатками и увечьями Средства помощи и приспособления для движения
Нормативные ссылки:
ГОСТ Р 53871-2010ГОСТ Р 53871-2010ГОСТ Р 53871-2010ГОСТ Р 53871-2010ГОСТ Р 53871-2010ГОСТ Р 53871-2010ГОСТ Р 53871-2010ГОСТ Р 53871-2010ГОСТ Р 53871-2010ГОСТ Р 53871-2010ГОСТ Р 53871-2010ГОСТ Р 53871-2010ГОСТ Р 53871-2010ГОСТ Р 53871-2010ГОСТ Р 53871-2010

© 2013 Ёшкин Кот :-) Карта сайта