Информационная система
«Ёшкин Кот»

Скачать базу одним архивом
Скачать обновления
История создания базы
Карта сайта

Скачать ГОСТ Р ИСО 9329-4-2010 Трубы бесшовные из аустенитных высоколегированных сталей для работы под давлением. Технические условия

Дата актуализации: 10.08.2017

ГОСТ Р ИСО 9329-4-2010

Трубы бесшовные из аустенитных высоколегированных сталей для работы под давлением. Технические условия

Обозначение: ГОСТ Р ИСО 9329-4-2010
Обозначение англ: GOST R ISO 9329-4-2010
Статус:действует
Название рус.:Трубы бесшовные из аустенитных высоколегированных сталей для работы под давлением. Технические условия
Название англ.:Seamless tubes from austenitic high-alloy steels for pressure purposes. Specifications
Дата добавления в базу:01.09.2013
Дата актуализации:05.05.2017
Дата введения:01.03.2012
Область применения:Стандарт распространяется на бесшовные трубы круглого поперечного сечения, изготовленные из аустенитных высоколегированных сталей. Трубы предназначены для работы под давлением в условиях воздействия агрессивных сред при комнатной, пониженной или повышенной температурах, например в установках высокого давления, химических установках, парогенераторах и трубопроводных системах. Трубы, изготовленные в соответствии с стандартом, могут соответствовать различным требованиям к свойствам при комнатной температуре, ударной вязкости при пониженных температурах и пределу текучести при повышенных температурах в зависимости от назначения и условий эксплуатации. Пользователи стандарта также должны учитывать требования ИСО 1129, ИСО 2037, ИСО 6759, ИСО 7598. Трубы для котлов и сосудов высокого давления должны соответствовать требованиям ИСO/Р 831 и ИСO 5730. Стандарт не распространяется на: а) обсадные, насосно-компрессорные, бурильные трубы и трубы для трубопроводов нефтяной и газовой промышленности; b) трубы для транспортирования газа, воды и сточных вод. Общие технические требования к трубам приведены в ИСО 404.
Оглавление:1 Область применения
2 Нормативные ссылки
3 Обозначения
4 Информация, предоставляемая заказчиком
5 Технология производства
6 Требования к материалу труб
7 Размеры, масса и предельные отклонения
8 Состояние поставки
9 Контроль и испытания
10 Маркировка
11 Защита труб
12 Документация
13 Разногласия
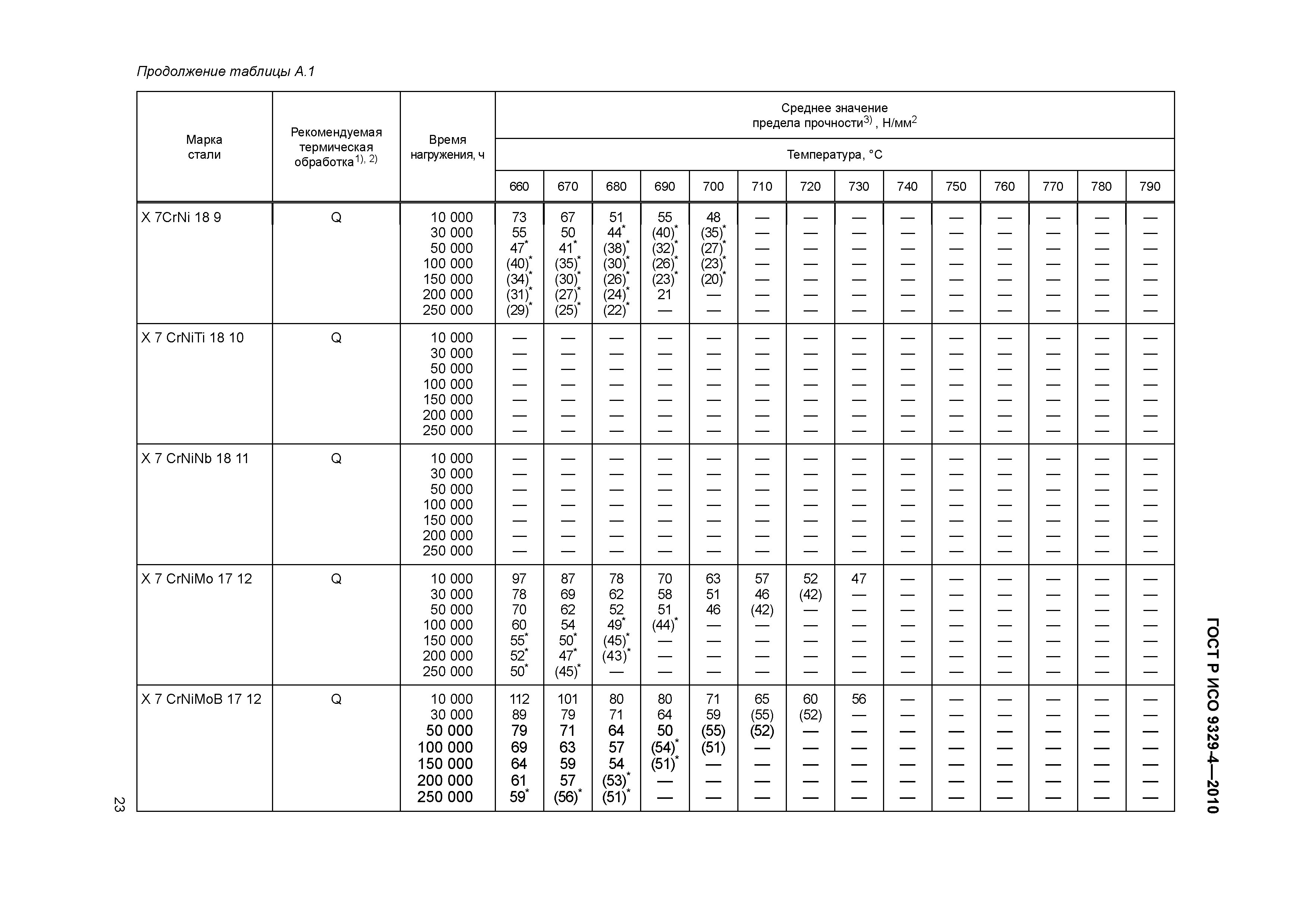
Приложение А (справочное) Длительная прочность аустенитных сталей при повышенных температурах
Приложение В (справочное) Работа удара при пониженных температурах для труб в состоянии после термической обработки на твердый раствор
Приложение ДА (справочное) Сведения о соответствии ссылочных международных стандартов ссылочным национальным стандартам Российской Федерации (и действующим в этом качестве межгосударственным стандартам)
Разработан: ТК 357 Стальные и чугунные трубы и баллоны
ОАО РосНИТИ
Утверждён:21.12.2010 Федеральное агентство по техническому регулированию и метрологии (907-ст)
Издан: Стандартинформ (2012 г. )
Расположен в:Техническая документация Электроэнергия МЕТАЛЛУРГИЯ Продукция из чугуна и стали Стальные трубы и трубки специального назначения ГИДРАВЛИЧЕСКИЕ И ПНЕВМАТИЧЕСКИЕ СИСТЕМЫ И КОМПОНЕНТЫ ОБЩЕГО НАЗНАЧЕНИЯ Трубопроводы и их компоненты Чугунные и стальные трубы Экология МЕТАЛЛУРГИЯ Продукция из чугуна и стали Стальные трубы и трубки специального назначения ГИДРАВЛИЧЕСКИЕ И ПНЕВМАТИЧЕСКИЕ СИСТЕМЫ И КОМПОНЕНТЫ ОБЩЕГО НАЗНАЧЕНИЯ Трубопроводы и их компоненты Чугунные и стальные трубы
Нормативные ссылки:
ГОСТ Р ИСО 9329-4-2010ГОСТ Р ИСО 9329-4-2010ГОСТ Р ИСО 9329-4-2010ГОСТ Р ИСО 9329-4-2010ГОСТ Р ИСО 9329-4-2010ГОСТ Р ИСО 9329-4-2010ГОСТ Р ИСО 9329-4-2010ГОСТ Р ИСО 9329-4-2010ГОСТ Р ИСО 9329-4-2010ГОСТ Р ИСО 9329-4-2010ГОСТ Р ИСО 9329-4-2010ГОСТ Р ИСО 9329-4-2010ГОСТ Р ИСО 9329-4-2010ГОСТ Р ИСО 9329-4-2010ГОСТ Р ИСО 9329-4-2010ГОСТ Р ИСО 9329-4-2010ГОСТ Р ИСО 9329-4-2010ГОСТ Р ИСО 9329-4-2010ГОСТ Р ИСО 9329-4-2010ГОСТ Р ИСО 9329-4-2010ГОСТ Р ИСО 9329-4-2010ГОСТ Р ИСО 9329-4-2010ГОСТ Р ИСО 9329-4-2010ГОСТ Р ИСО 9329-4-2010ГОСТ Р ИСО 9329-4-2010ГОСТ Р ИСО 9329-4-2010ГОСТ Р ИСО 9329-4-2010ГОСТ Р ИСО 9329-4-2010ГОСТ Р ИСО 9329-4-2010ГОСТ Р ИСО 9329-4-2010ГОСТ Р ИСО 9329-4-2010ГОСТ Р ИСО 9329-4-2010

© 2013 Ёшкин Кот :-) Карта сайта