Информационная система
«Ёшкин Кот»

Скачать базу одним архивом
Скачать обновления
История создания базы
Карта сайта

Скачать ГОСТ Р ИСО 21549-7-2010 Информатизация здоровья. Структура данных на пластиковой карте пациента. Часть 7. Лекарственные назначения

Дата актуализации: 10.08.2017

ГОСТ Р ИСО 21549-7-2010

Информатизация здоровья. Структура данных на пластиковой карте пациента. Часть 7. Лекарственные назначения

Обозначение: ГОСТ Р ИСО 21549-7-2010
Обозначение англ: GOST R ISO 21549-7-2010
Статус:действует
Название рус.:Информатизация здоровья. Структура данных на пластиковой карте пациента. Часть 7. Лекарственные назначения
Название англ.:Health informatics. Patient healthcard data. Part 7. Medication data
Дата добавления в базу:01.09.2013
Дата актуализации:05.05.2017
Дата введения:01.08.2011
Область применения:Стандарт применим в тех случаях, когда данные о лекарственных назначениях записываются на пластиковые карты пациентов или переносятся картами, физические характеристики которых совпадают с теми, что описаны для карт типа ID-1 в ИСО/МЭК 7810. Стандарт определяет базовую структуру данных, содержащихся в информационном объекте лекарственных назначений, но не определяет и не предписывает конкретные наборы данных для хранения на картах. Стандарт предназначен для карт, предоставляющих информацию другим медицинским работникам, пациенту или непрофессиональному лицу, выполняющему уход за пациентом. Описанная в нем структура данных может быть использована для передачи нового рецепта от лица, выписывающего рецепт, аптеке или лицу, отпускающему лекарственные средства.
Оглавление:1 Область применения
2 Нормативные ссылки
3 Термины и определения
4 Условные обозначения и сокращения
5 Базовая объектная модель данных медицинской пластиковой карты
   5.1 Структура информационного объекта «Пластиковая карта пациента»
   5.2 Базовые информационные объекты
6 Функциональные требования к хранению на карте лекарственных назначений
   6.1 Краткий обзор поддерживаемых способов использования
   6.2 Передача рецепта от лица, выписывающего лекарства, аптеке или лицу, отпускающему лекарства
   6.3 Информация на карточке об отпущенных лекарствах
   6.4 История лекарственных назначений
7 Данные лекарственных назначений
   7.1 Общая структура
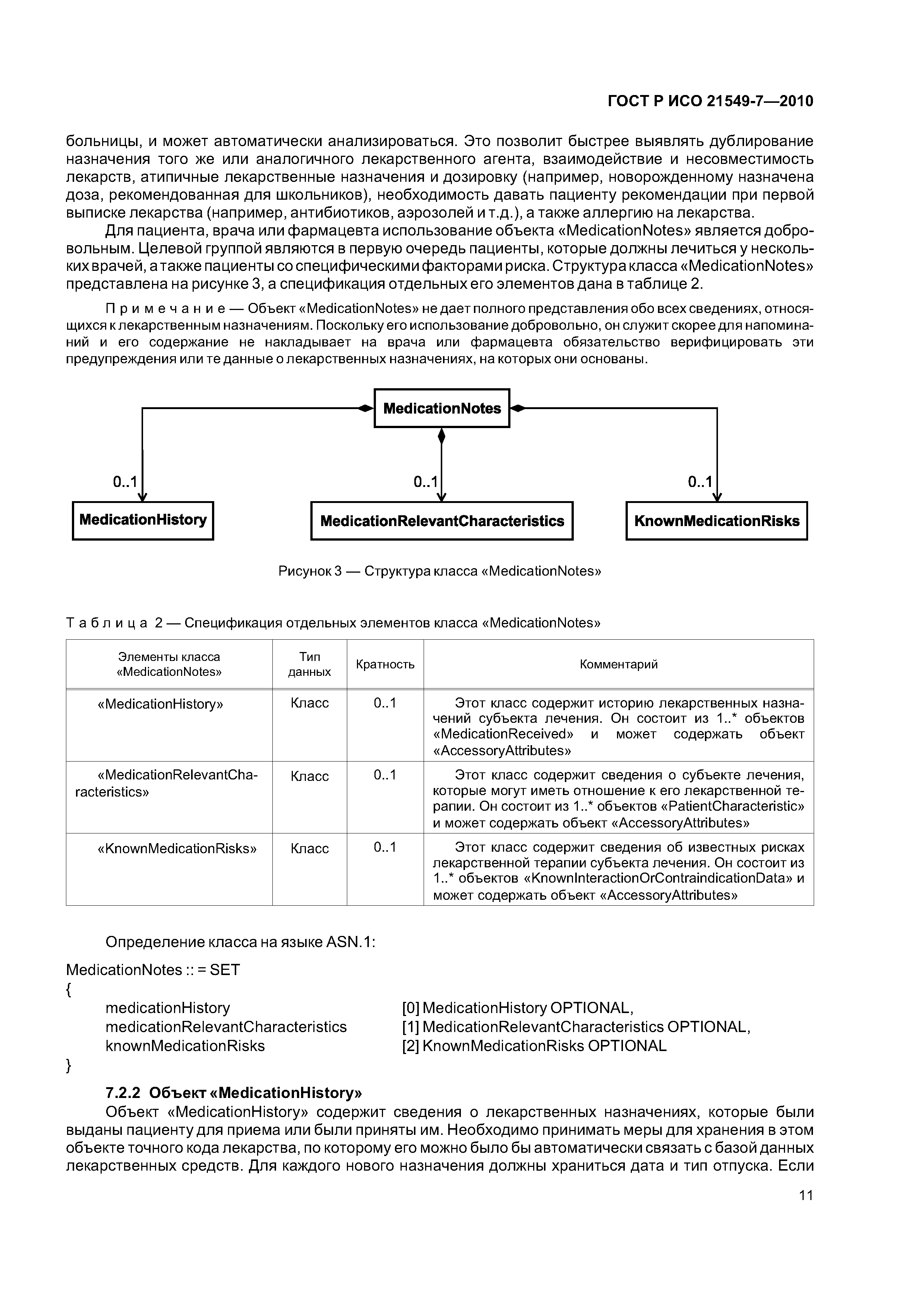
   7.2 Объект «MedicationNotes»
   7.3 Класс «MedicationPrescriptions»
   7.4 Класс «MedicatiosDispensed>
   7.5 Класс «MedicationReferences
Приложение ДА (справочное) Сведения о соответствии ссылочных международных стандартов ссылочным национальным стандартам Российской Федерации
Библиография
Разработан: ООО Корпоративные электронные системы
ЦНИИОИЗ Росздрава
Утверждён:25.10.2010 Федеральное агентство по техническому регулированию и метрологии (332-ст)
Издан: Стандартинформ (2011 г. )
Расположен в:Техническая документация Электроэнергия ИНФОРМАЦИОННЫЕ ТЕХНОЛОГИИ. МАШИНЫ КОНТОРСКИЕ Применение информационных технологий Применение информационных технологий в здравоохранении Экология ИНФОРМАЦИОННЫЕ ТЕХНОЛОГИИ. МАШИНЫ КОНТОРСКИЕ Применение информационных технологий Применение информационных технологий в здравоохранении
Нормативные ссылки:
ГОСТ Р ИСО 21549-7-2010ГОСТ Р ИСО 21549-7-2010ГОСТ Р ИСО 21549-7-2010ГОСТ Р ИСО 21549-7-2010ГОСТ Р ИСО 21549-7-2010ГОСТ Р ИСО 21549-7-2010ГОСТ Р ИСО 21549-7-2010ГОСТ Р ИСО 21549-7-2010ГОСТ Р ИСО 21549-7-2010ГОСТ Р ИСО 21549-7-2010ГОСТ Р ИСО 21549-7-2010ГОСТ Р ИСО 21549-7-2010ГОСТ Р ИСО 21549-7-2010ГОСТ Р ИСО 21549-7-2010ГОСТ Р ИСО 21549-7-2010ГОСТ Р ИСО 21549-7-2010ГОСТ Р ИСО 21549-7-2010ГОСТ Р ИСО 21549-7-2010ГОСТ Р ИСО 21549-7-2010ГОСТ Р ИСО 21549-7-2010ГОСТ Р ИСО 21549-7-2010ГОСТ Р ИСО 21549-7-2010ГОСТ Р ИСО 21549-7-2010ГОСТ Р ИСО 21549-7-2010ГОСТ Р ИСО 21549-7-2010ГОСТ Р ИСО 21549-7-2010ГОСТ Р ИСО 21549-7-2010ГОСТ Р ИСО 21549-7-2010ГОСТ Р ИСО 21549-7-2010ГОСТ Р ИСО 21549-7-2010ГОСТ Р ИСО 21549-7-2010ГОСТ Р ИСО 21549-7-2010ГОСТ Р ИСО 21549-7-2010ГОСТ Р ИСО 21549-7-2010ГОСТ Р ИСО 21549-7-2010ГОСТ Р ИСО 21549-7-2010ГОСТ Р ИСО 21549-7-2010ГОСТ Р ИСО 21549-7-2010ГОСТ Р ИСО 21549-7-2010ГОСТ Р ИСО 21549-7-2010ГОСТ Р ИСО 21549-7-2010

© 2013 Ёшкин Кот :-) Карта сайта