| ||||||||||||||||||||||||||||||||||
Скачать ГОСТ Р МЭК 62305-2-2010 Менеджмент риска. Защита от молнии. Часть 2. Оценка рискаДата актуализации: 10.08.2017
|
| Обозначение: | ГОСТ Р МЭК 62305-2-2010 |
| Обозначение англ: | GOST R IEC 62305-2-2010 |
| Статус: | действует |
| Название рус.: | Менеджмент риска. Защита от молнии. Часть 2. Оценка риска |
| Название англ.: | Risk management. Protection against lightning. Part 2. Risk assessment |
| Дата добавления в базу: | 01.09.2013 |
| Дата актуализации: | 05.05.2017 |
| Дата введения: | 01.12.2011 |
| Область применения: | Стандарт применим к оценке риска удара молнии и его последствий для зданий, сооружений и их частей. В стандарте установлены процедуры оценки риска удара молнии для зданий (сооружений). Если установлен приемлемый риск, то такая процедура позволяет выбрать соответствующие меры защиты от молнии для снижения риска до приемлемого значения. |
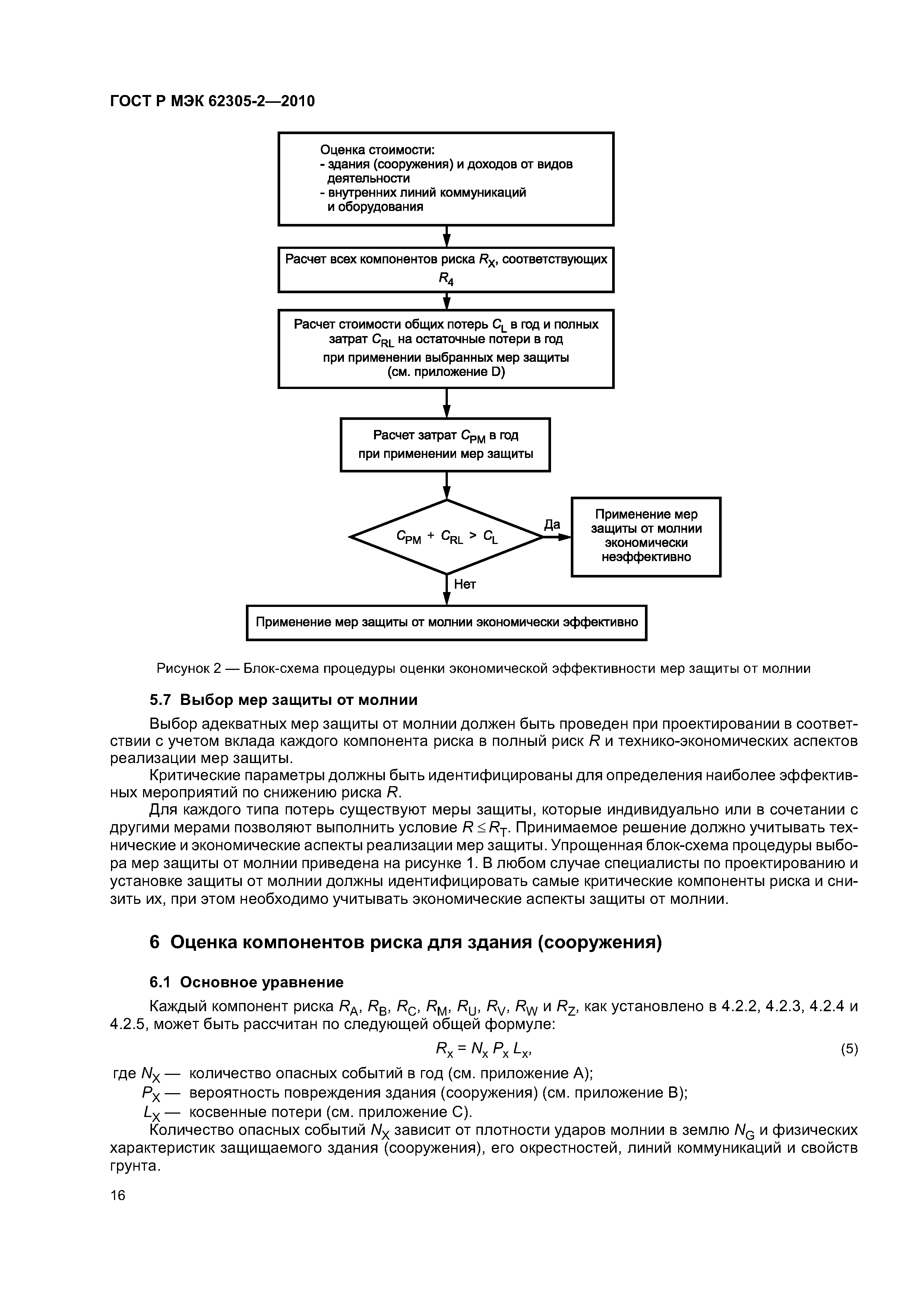
| Оглавление: | 1 Область применения 2 Нормативные ссылки 3 Термины, определения, обозначения и сокращения 3.1 Термины и определения 3.2 Обозначения и сокращения 4 Пояснения терминов 5 Менеджмент риска 6 Оценка компонентов риска для здания (сооружения) Приложение А (справочное) Оценка количества опасных событий в год N Приложение В (справочное) Оценка вероятности повреждений Рх для здания (сооружения) Приложение С (справочное) Оценка величины потерь Lx Приложение D (справочное) Расчет стоимости потерь Приложение Е (справочное) Примеры Приложение ДА (справочное) Сведения о соответствии ссылочных международных стандартов ссылочным национальным стандартам Российской Федерации Библиография |
| Разработан: | АНО НИЦ КД |
| Утверждён: | 30.11.2010 Федеральное агентство по техническому регулированию и метрологии (795-ст) |
| Издан: | Стандартинформ (2011 г. ) |
| Расположен в: | |
| Нормативные ссылки: |
|










































































