Информационная система
«Ёшкин Кот»

Скачать базу одним архивом
Скачать обновления
История создания базы
Карта сайта

Скачать Р 486-83 Руководство по прогнозированию теплового взаимодействия трубопроводов с окружающей средой

Дата актуализации: 10.08.2017

Р 486-83

Руководство по прогнозированию теплового взаимодействия трубопроводов с окружающей средой

Обозначение: Р 486-83
Обозначение англ: R 486-83
Статус:действует
Название рус.:Руководство по прогнозированию теплового взаимодействия трубопроводов с окружающей средой
Дата добавления в базу:01.09.2013
Дата актуализации:05.05.2017
Дата введения:01.03.1984
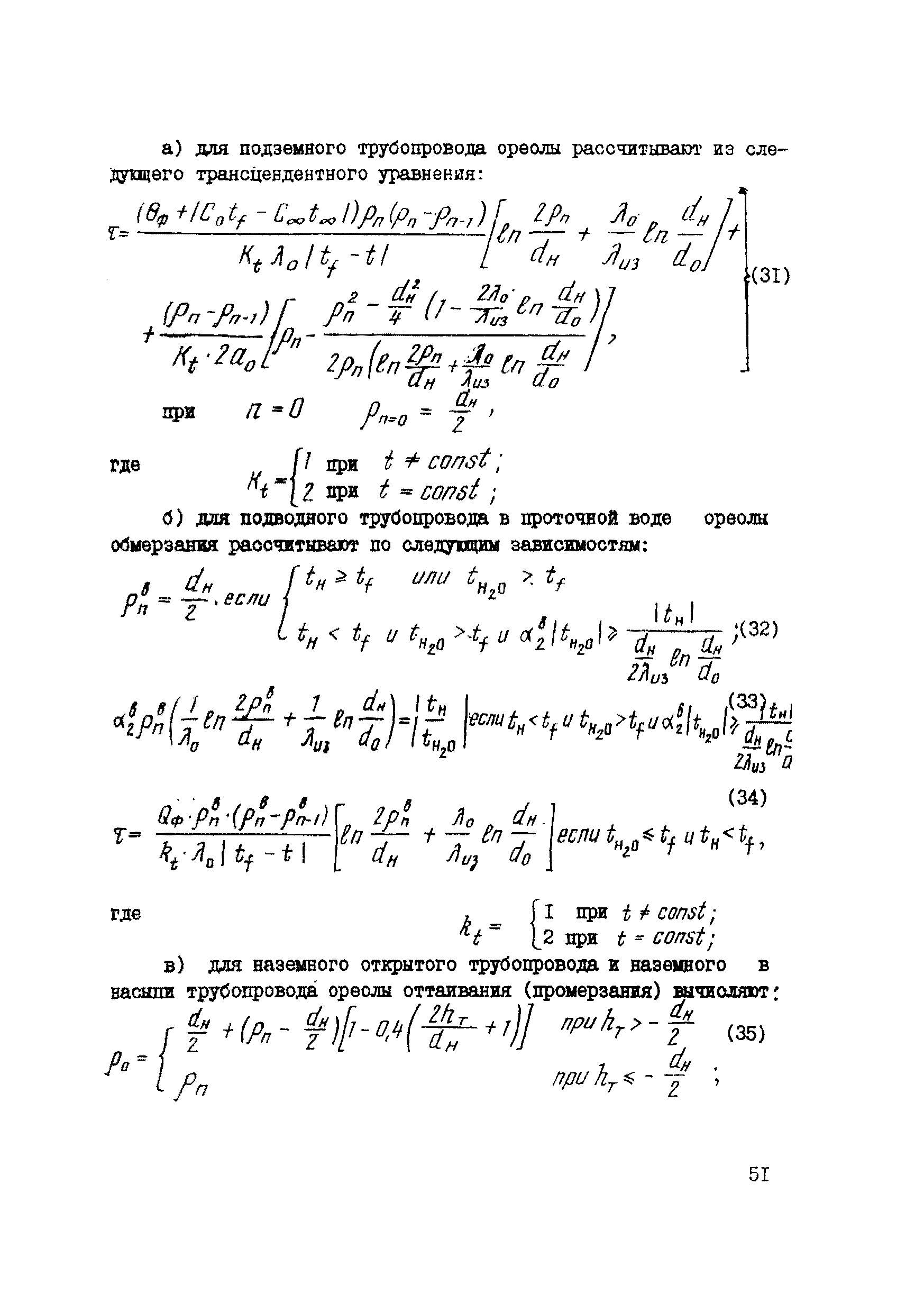
Область применения:Руководство распространяется на проектирование магистральных трубопроводов различного целевого назначения (газопроводы, нефтепроводы, конденсатопроводы, водопроводы сооружаемых в различных районах, в том числе в районах распространения вечномерзлых грунтов и для всех применяющихся в настоящее время конструктивных систем прокладок (надземная, подземная, подземная, подводная).
Оглавление:1. Общие положения
2. Основные принципы прогнозирования теплового взаимодействия трубопроводов с окружающей средой
3. Методика прогнозирования температурного режима грунтов трассы в полосе строительства трубопровода вне зоны его теплового влияния
4. Методика расчета тепловых режимов трубопроводов, взаимодействующих с окружающей средой
5. Приложение
Разработан: ВНИИСТ
Утверждён:12.11.1982 ВНИИСТ (VNIIST )
Расположен в:Техническая документация Экология ДОБЫЧА И ПЕРЕРАБОТКА НЕФТИ, ГАЗА И СМЕЖНЫЕ ПРОИЗВОДСТВА Оборудование для переработки нефти, нефтяных продуктов и природного газа Трубопроводы и их компоненты Строительство Нормативные документы Отраслевые и ведомственные нормативно-методические документы Проектирование и строительство объектов нефтяной и газовой промышленности
Заменяет собой:
  • Р 191-75
Нормативные ссылки:
Р 486-83Р 486-83Р 486-83Р 486-83Р 486-83Р 486-83Р 486-83Р 486-83Р 486-83Р 486-83Р 486-83Р 486-83Р 486-83Р 486-83Р 486-83Р 486-83Р 486-83Р 486-83Р 486-83Р 486-83Р 486-83Р 486-83Р 486-83Р 486-83Р 486-83Р 486-83Р 486-83Р 486-83Р 486-83Р 486-83Р 486-83Р 486-83Р 486-83Р 486-83Р 486-83Р 486-83Р 486-83Р 486-83Р 486-83Р 486-83Р 486-83Р 486-83Р 486-83Р 486-83Р 486-83Р 486-83Р 486-83Р 486-83Р 486-83Р 486-83Р 486-83Р 486-83Р 486-83Р 486-83Р 486-83Р 486-83Р 486-83Р 486-83Р 486-83Р 486-83Р 486-83Р 486-83Р 486-83Р 486-83Р 486-83Р 486-83Р 486-83Р 486-83Р 486-83Р 486-83Р 486-83Р 486-83Р 486-83Р 486-83Р 486-83Р 486-83Р 486-83Р 486-83Р 486-83Р 486-83Р 486-83Р 486-83Р 486-83Р 486-83Р 486-83Р 486-83Р 486-83Р 486-83Р 486-83Р 486-83Р 486-83Р 486-83Р 486-83Р 486-83Р 486-83Р 486-83Р 486-83Р 486-83Р 486-83Р 486-83Р 486-83Р 486-83Р 486-83Р 486-83Р 486-83Р 486-83Р 486-83Р 486-83Р 486-83Р 486-83Р 486-83Р 486-83Р 486-83Р 486-83Р 486-83Р 486-83Р 486-83Р 486-83Р 486-83Р 486-83Р 486-83Р 486-83Р 486-83Р 486-83Р 486-83Р 486-83Р 486-83Р 486-83Р 486-83

© 2013 Ёшкин Кот :-) Карта сайта