Информационная система
«Ёшкин Кот»

Скачать базу одним архивом
Скачать обновления
История создания базы
Карта сайта

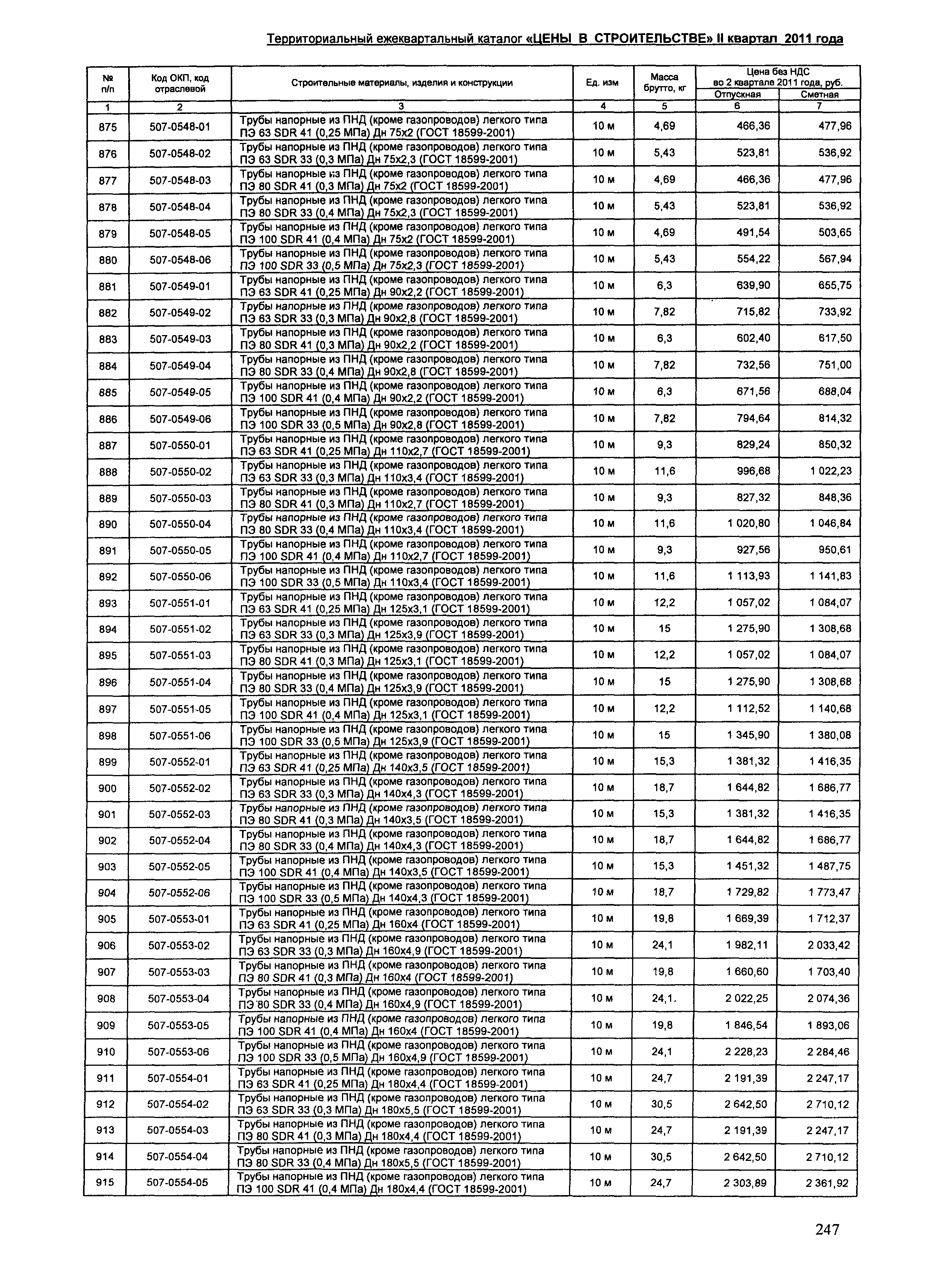
Скачать Выпуск 2(32) Территориальный ежеквартальный каталог Цены в строительстве II квартал 2011 года

Дата актуализации: 10.08.2017

Выпуск 2(32)

Территориальный ежеквартальный каталог "Цены в строительстве" II квартал 2011 года

Обозначение: Выпуск 2(32)
Обозначение англ: 2(32)
Статус:действует
Название рус.:Территориальный ежеквартальный каталог "Цены в строительстве" II квартал 2011 года
Дата добавления в базу:01.09.2013
Дата актуализации:05.05.2017
Область применения:Документ содержит информацию о текущих ценах на строительные ресурсы в уровне цен II квартала 2011 года и предназначен для применения при определении сметной стоимости строительства и капитального ремонта объектов, финансируемых за счет бюджетных средств и из любых других источников.
Оглавление:1. Тарифные ставки оплаты труда рабочих в строительстве и работников-исполнителей пусконаладочных работ
2. Сметные расценки на эксплуатацию строительных машин и автотранспортных средств
3. Сметные цены на перевозку грузов для строительства автомобильным транспортом
   3.1 Сметные цены на тару, упаковку и реквизит
   3.2 Сметные цены на погрузочно-разгрузочные работы
   3.3 Сметные цены на перевозку грузов автомобильным транспортом
4. Сметные цены на материалы, изделия и конструкции
Часть I. Общестроительные материалы
Часть II. Строительные конструкции и изделия
Часть III. Материалы и изделия для санитарно-технических работ
Часть IV. Бетонные, железобетонные и керамические изделия, нерудные материалы, товарные бетоны и растворы (местные материалы)
Часть V. Материалы, изделия и конструкции для монтажных и специальных строительных работ
V. Коэффициенты перехода от отпускных цен на строительные материалы, изделия и конструкции к сметным ценам
VI. Коэффициенты перехода от стоимости труб к стоимости трубных заготовок
VII. Стоимость внутрипостроечного транспорта строительных материалов по приложению 30.1 для части 30 "Мосты и трубы"
Разработан: ГАУ КО РЦЦС
Утверждён:03.06.2011 Межведомственная комиссия по формированию территориальных сметных нормативов в строительстве Калининградской области (3/11)
Расположен в:Техническая документация Строительство Нормативные документы Нормативные документы субъектов Российской Федерации Нормативные документы Калининградской области
Нормативные ссылки:
Выпуск 2(32)Выпуск 2(32)Выпуск 2(32)Выпуск 2(32)Выпуск 2(32)Выпуск 2(32)Выпуск 2(32)Выпуск 2(32)Выпуск 2(32)Выпуск 2(32)Выпуск 2(32)Выпуск 2(32)Выпуск 2(32)Выпуск 2(32)Выпуск 2(32)Выпуск 2(32)Выпуск 2(32)Выпуск 2(32)Выпуск 2(32)Выпуск 2(32)Выпуск 2(32)Выпуск 2(32)Выпуск 2(32)Выпуск 2(32)Выпуск 2(32)Выпуск 2(32)Выпуск 2(32)Выпуск 2(32)Выпуск 2(32)Выпуск 2(32)Выпуск 2(32)Выпуск 2(32)Выпуск 2(32)Выпуск 2(32)Выпуск 2(32)Выпуск 2(32)Выпуск 2(32)Выпуск 2(32)Выпуск 2(32)Выпуск 2(32)Выпуск 2(32)Выпуск 2(32)Выпуск 2(32)Выпуск 2(32)Выпуск 2(32)Выпуск 2(32)Выпуск 2(32)Выпуск 2(32)Выпуск 2(32)Выпуск 2(32)Выпуск 2(32)Выпуск 2(32)Выпуск 2(32)Выпуск 2(32)Выпуск 2(32)Выпуск 2(32)Выпуск 2(32)Выпуск 2(32)Выпуск 2(32)Выпуск 2(32)Выпуск 2(32)Выпуск 2(32)Выпуск 2(32)Выпуск 2(32)Выпуск 2(32)Выпуск 2(32)Выпуск 2(32)Выпуск 2(32)Выпуск 2(32)Выпуск 2(32)Выпуск 2(32)Выпуск 2(32)Выпуск 2(32)Выпуск 2(32)Выпуск 2(32)Выпуск 2(32)Выпуск 2(32)Выпуск 2(32)Выпуск 2(32)Выпуск 2(32)Выпуск 2(32)Выпуск 2(32)Выпуск 2(32)Выпуск 2(32)Выпуск 2(32)Выпуск 2(32)Выпуск 2(32)Выпуск 2(32)Выпуск 2(32)Выпуск 2(32)Выпуск 2(32)Выпуск 2(32)Выпуск 2(32)Выпуск 2(32)Выпуск 2(32)Выпуск 2(32)Выпуск 2(32)Выпуск 2(32)Выпуск 2(32)Выпуск 2(32)Выпуск 2(32)Выпуск 2(32)Выпуск 2(32)Выпуск 2(32)Выпуск 2(32)Выпуск 2(32)Выпуск 2(32)Выпуск 2(32)Выпуск 2(32)Выпуск 2(32)Выпуск 2(32)Выпуск 2(32)Выпуск 2(32)Выпуск 2(32)Выпуск 2(32)Выпуск 2(32)Выпуск 2(32)Выпуск 2(32)Выпуск 2(32)Выпуск 2(32)Выпуск 2(32)Выпуск 2(32)Выпуск 2(32)Выпуск 2(32)Выпуск 2(32)Выпуск 2(32)Выпуск 2(32)Выпуск 2(32)Выпуск 2(32)Выпуск 2(32)Выпуск 2(32)Выпуск 2(32)Выпуск 2(32)Выпуск 2(32)Выпуск 2(32)Выпуск 2(32)Выпуск 2(32)Выпуск 2(32)Выпуск 2(32)Выпуск 2(32)Выпуск 2(32)Выпуск 2(32)Выпуск 2(32)Выпуск 2(32)Выпуск 2(32)Выпуск 2(32)Выпуск 2(32)Выпуск 2(32)Выпуск 2(32)Выпуск 2(32)Выпуск 2(32)Выпуск 2(32)Выпуск 2(32)Выпуск 2(32)Выпуск 2(32)Выпуск 2(32)Выпуск 2(32)Выпуск 2(32)Выпуск 2(32)Выпуск 2(32)Выпуск 2(32)Выпуск 2(32)Выпуск 2(32)Выпуск 2(32)Выпуск 2(32)Выпуск 2(32)Выпуск 2(32)Выпуск 2(32)Выпуск 2(32)Выпуск 2(32)Выпуск 2(32)Выпуск 2(32)Выпуск 2(32)Выпуск 2(32)Выпуск 2(32)Выпуск 2(32)Выпуск 2(32)Выпуск 2(32)Выпуск 2(32)Выпуск 2(32)Выпуск 2(32)Выпуск 2(32)Выпуск 2(32)Выпуск 2(32)Выпуск 2(32)Выпуск 2(32)Выпуск 2(32)Выпуск 2(32)Выпуск 2(32)Выпуск 2(32)Выпуск 2(32)Выпуск 2(32)Выпуск 2(32)Выпуск 2(32)Выпуск 2(32)Выпуск 2(32)Выпуск 2(32)Выпуск 2(32)Выпуск 2(32)Выпуск 2(32)Выпуск 2(32)Выпуск 2(32)Выпуск 2(32)Выпуск 2(32)Выпуск 2(32)Выпуск 2(32)Выпуск 2(32)Выпуск 2(32)Выпуск 2(32)Выпуск 2(32)Выпуск 2(32)Выпуск 2(32)Выпуск 2(32)Выпуск 2(32)Выпуск 2(32)Выпуск 2(32)Выпуск 2(32)Выпуск 2(32)Выпуск 2(32)Выпуск 2(32)Выпуск 2(32)Выпуск 2(32)Выпуск 2(32)Выпуск 2(32)Выпуск 2(32)Выпуск 2(32)Выпуск 2(32)Выпуск 2(32)Выпуск 2(32)Выпуск 2(32)Выпуск 2(32)Выпуск 2(32)Выпуск 2(32)Выпуск 2(32)Выпуск 2(32)Выпуск 2(32)Выпуск 2(32)Выпуск 2(32)Выпуск 2(32)Выпуск 2(32)Выпуск 2(32)Выпуск 2(32)Выпуск 2(32)Выпуск 2(32)Выпуск 2(32)Выпуск 2(32)Выпуск 2(32)Выпуск 2(32)Выпуск 2(32)Выпуск 2(32)Выпуск 2(32)Выпуск 2(32)Выпуск 2(32)Выпуск 2(32)Выпуск 2(32)Выпуск 2(32)Выпуск 2(32)Выпуск 2(32)Выпуск 2(32)Выпуск 2(32)Выпуск 2(32)Выпуск 2(32)Выпуск 2(32)Выпуск 2(32)Выпуск 2(32)Выпуск 2(32)Выпуск 2(32)Выпуск 2(32)Выпуск 2(32)Выпуск 2(32)Выпуск 2(32)Выпуск 2(32)Выпуск 2(32)Выпуск 2(32)Выпуск 2(32)Выпуск 2(32)Выпуск 2(32)Выпуск 2(32)Выпуск 2(32)Выпуск 2(32)Выпуск 2(32)Выпуск 2(32)Выпуск 2(32)Выпуск 2(32)Выпуск 2(32)Выпуск 2(32)Выпуск 2(32)Выпуск 2(32)Выпуск 2(32)Выпуск 2(32)Выпуск 2(32)Выпуск 2(32)

© 2013 Ёшкин Кот :-) Карта сайта