Информационная система
«Ёшкин Кот»

Скачать базу одним архивом
Скачать обновления
История создания базы
Карта сайта

Скачать Выпуск 3-1/2011 Региональные индексы пересчета базисной стоимости строительно-монтажных и ремонтно-строительных работ, определяемой с применением сметно-нормативной базы ФЕР-2001 в текущий уровень цен I квартала 2011 года

Дата актуализации: 10.08.2017

Выпуск 3-1/2011

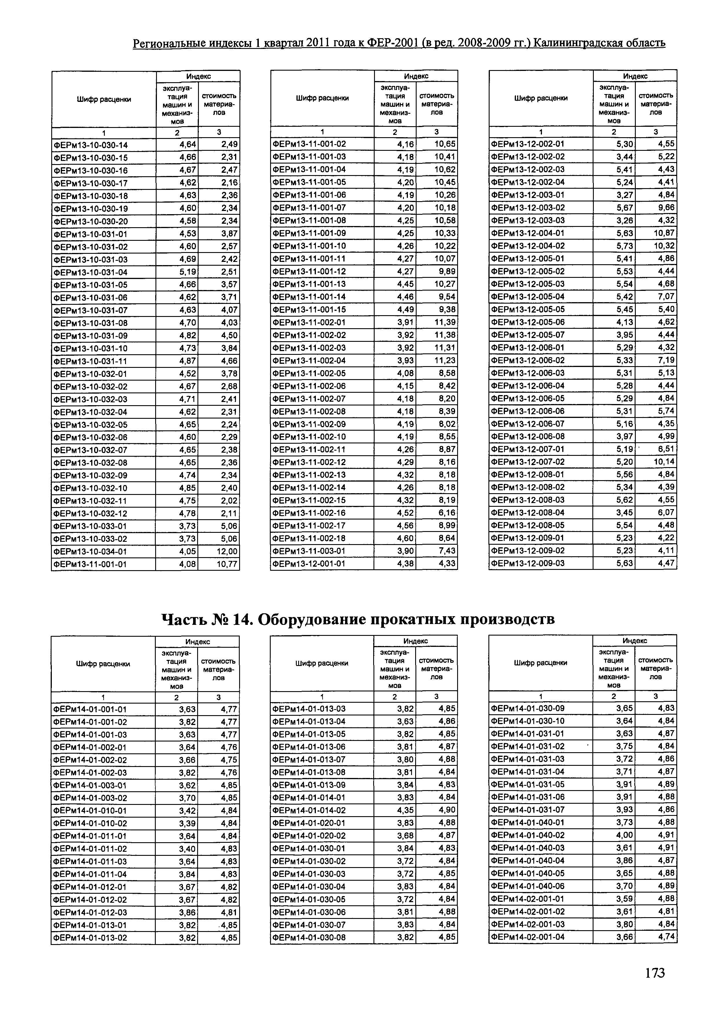
Региональные индексы пересчета базисной стоимости строительно-монтажных и ремонтно-строительных работ, определяемой с применением сметно-нормативной базы ФЕР-2001 в текущий уровень цен I квартала 2011 года

Обозначение: Выпуск 3-1/2011
Обозначение англ: 3-1/2011
Статус:действует
Название рус.:Региональные индексы пересчета базисной стоимости строительно-монтажных и ремонтно-строительных работ, определяемой с применением сметно-нормативной базы ФЕР-2001 в текущий уровень цен I квартала 2011 года
Дата добавления в базу:01.09.2013
Дата актуализации:05.05.2017
Область применения:Индексы, приведенные в сборнике, предназначены для составления сметной документации и осуществления взаиморасчетов за выполненные работы по строительству, реконструкции и капитальному ремонту объектов, расположенных на территории Калининградской области, финансируемых с привлечением средств федерального бюджета.
Оглавление:1. Региональные индексы пересчета к элементам прямых затрат к федеральным единичным расценкам на строительные и специальные строительные работы
2. Региональные индексы пересчета к элементам прямых затрат к федеральным единичным расценкам на монтаж оборудования
3. Региональные индексы пересчета к элементам прямых затрат к федеральным единичным расценкам на ремонтно-строительные работы
4. Региональные индексы пересчета к элементам прямых затрат к федеральным единичным расценкам на капитальный ремонт оборудования
Разработан: Региональный центр по ценообразованию в строительстве Калининградской области
Утверждён:04.03.2011 Межведомственная комиссия по формированию территориальных сметных нормативов в строительстве Калининградской области (2/11)
Расположен в:Техническая документация Строительство Нормативные документы Нормативные документы субъектов Российской Федерации Нормативные документы Калининградской области
Нормативные ссылки:
Выпуск 3-1/2011Выпуск 3-1/2011Выпуск 3-1/2011Выпуск 3-1/2011Выпуск 3-1/2011Выпуск 3-1/2011Выпуск 3-1/2011Выпуск 3-1/2011Выпуск 3-1/2011Выпуск 3-1/2011Выпуск 3-1/2011Выпуск 3-1/2011Выпуск 3-1/2011Выпуск 3-1/2011Выпуск 3-1/2011Выпуск 3-1/2011Выпуск 3-1/2011Выпуск 3-1/2011Выпуск 3-1/2011Выпуск 3-1/2011Выпуск 3-1/2011Выпуск 3-1/2011Выпуск 3-1/2011Выпуск 3-1/2011Выпуск 3-1/2011Выпуск 3-1/2011Выпуск 3-1/2011Выпуск 3-1/2011Выпуск 3-1/2011Выпуск 3-1/2011Выпуск 3-1/2011Выпуск 3-1/2011Выпуск 3-1/2011Выпуск 3-1/2011Выпуск 3-1/2011Выпуск 3-1/2011Выпуск 3-1/2011Выпуск 3-1/2011Выпуск 3-1/2011Выпуск 3-1/2011Выпуск 3-1/2011Выпуск 3-1/2011Выпуск 3-1/2011Выпуск 3-1/2011Выпуск 3-1/2011Выпуск 3-1/2011Выпуск 3-1/2011Выпуск 3-1/2011Выпуск 3-1/2011Выпуск 3-1/2011Выпуск 3-1/2011Выпуск 3-1/2011Выпуск 3-1/2011Выпуск 3-1/2011Выпуск 3-1/2011Выпуск 3-1/2011Выпуск 3-1/2011Выпуск 3-1/2011Выпуск 3-1/2011Выпуск 3-1/2011Выпуск 3-1/2011Выпуск 3-1/2011Выпуск 3-1/2011Выпуск 3-1/2011Выпуск 3-1/2011Выпуск 3-1/2011Выпуск 3-1/2011Выпуск 3-1/2011Выпуск 3-1/2011Выпуск 3-1/2011Выпуск 3-1/2011Выпуск 3-1/2011Выпуск 3-1/2011Выпуск 3-1/2011Выпуск 3-1/2011Выпуск 3-1/2011Выпуск 3-1/2011Выпуск 3-1/2011Выпуск 3-1/2011Выпуск 3-1/2011Выпуск 3-1/2011Выпуск 3-1/2011Выпуск 3-1/2011Выпуск 3-1/2011Выпуск 3-1/2011Выпуск 3-1/2011Выпуск 3-1/2011Выпуск 3-1/2011Выпуск 3-1/2011Выпуск 3-1/2011Выпуск 3-1/2011Выпуск 3-1/2011Выпуск 3-1/2011Выпуск 3-1/2011Выпуск 3-1/2011Выпуск 3-1/2011Выпуск 3-1/2011Выпуск 3-1/2011Выпуск 3-1/2011Выпуск 3-1/2011Выпуск 3-1/2011Выпуск 3-1/2011Выпуск 3-1/2011Выпуск 3-1/2011Выпуск 3-1/2011Выпуск 3-1/2011Выпуск 3-1/2011Выпуск 3-1/2011Выпуск 3-1/2011Выпуск 3-1/2011Выпуск 3-1/2011Выпуск 3-1/2011Выпуск 3-1/2011Выпуск 3-1/2011Выпуск 3-1/2011Выпуск 3-1/2011Выпуск 3-1/2011Выпуск 3-1/2011Выпуск 3-1/2011Выпуск 3-1/2011Выпуск 3-1/2011Выпуск 3-1/2011Выпуск 3-1/2011Выпуск 3-1/2011Выпуск 3-1/2011Выпуск 3-1/2011Выпуск 3-1/2011Выпуск 3-1/2011Выпуск 3-1/2011Выпуск 3-1/2011Выпуск 3-1/2011Выпуск 3-1/2011Выпуск 3-1/2011Выпуск 3-1/2011Выпуск 3-1/2011Выпуск 3-1/2011Выпуск 3-1/2011Выпуск 3-1/2011Выпуск 3-1/2011Выпуск 3-1/2011Выпуск 3-1/2011Выпуск 3-1/2011Выпуск 3-1/2011Выпуск 3-1/2011Выпуск 3-1/2011Выпуск 3-1/2011Выпуск 3-1/2011Выпуск 3-1/2011Выпуск 3-1/2011Выпуск 3-1/2011Выпуск 3-1/2011Выпуск 3-1/2011Выпуск 3-1/2011Выпуск 3-1/2011Выпуск 3-1/2011Выпуск 3-1/2011Выпуск 3-1/2011Выпуск 3-1/2011Выпуск 3-1/2011Выпуск 3-1/2011Выпуск 3-1/2011Выпуск 3-1/2011Выпуск 3-1/2011Выпуск 3-1/2011Выпуск 3-1/2011Выпуск 3-1/2011Выпуск 3-1/2011Выпуск 3-1/2011Выпуск 3-1/2011Выпуск 3-1/2011Выпуск 3-1/2011Выпуск 3-1/2011Выпуск 3-1/2011Выпуск 3-1/2011Выпуск 3-1/2011Выпуск 3-1/2011Выпуск 3-1/2011Выпуск 3-1/2011Выпуск 3-1/2011Выпуск 3-1/2011Выпуск 3-1/2011Выпуск 3-1/2011Выпуск 3-1/2011Выпуск 3-1/2011Выпуск 3-1/2011Выпуск 3-1/2011Выпуск 3-1/2011Выпуск 3-1/2011Выпуск 3-1/2011Выпуск 3-1/2011Выпуск 3-1/2011Выпуск 3-1/2011Выпуск 3-1/2011Выпуск 3-1/2011Выпуск 3-1/2011Выпуск 3-1/2011Выпуск 3-1/2011Выпуск 3-1/2011Выпуск 3-1/2011Выпуск 3-1/2011Выпуск 3-1/2011Выпуск 3-1/2011Выпуск 3-1/2011Выпуск 3-1/2011Выпуск 3-1/2011Выпуск 3-1/2011Выпуск 3-1/2011Выпуск 3-1/2011Выпуск 3-1/2011Выпуск 3-1/2011Выпуск 3-1/2011Выпуск 3-1/2011Выпуск 3-1/2011Выпуск 3-1/2011Выпуск 3-1/2011Выпуск 3-1/2011Выпуск 3-1/2011Выпуск 3-1/2011Выпуск 3-1/2011Выпуск 3-1/2011Выпуск 3-1/2011Выпуск 3-1/2011Выпуск 3-1/2011Выпуск 3-1/2011Выпуск 3-1/2011Выпуск 3-1/2011Выпуск 3-1/2011Выпуск 3-1/2011Выпуск 3-1/2011Выпуск 3-1/2011Выпуск 3-1/2011Выпуск 3-1/2011Выпуск 3-1/2011Выпуск 3-1/2011Выпуск 3-1/2011Выпуск 3-1/2011Выпуск 3-1/2011Выпуск 3-1/2011Выпуск 3-1/2011Выпуск 3-1/2011Выпуск 3-1/2011

© 2013 Ёшкин Кот :-) Карта сайта