Информационная система
«Ёшкин Кот»

Скачать базу одним архивом
Скачать обновления
История создания базы
Карта сайта

Скачать РД 31.45.01-88 Карты технологической оснастки для перегрузочных работ

Дата актуализации: 10.08.2017

РД 31.45.01-88

Карты технологической оснастки для перегрузочных работ

Обозначение: РД 31.45.01-88
Обозначение англ: RD 31.45.01-88
Статус:действует
Название рус.:Карты технологической оснастки для перегрузочных работ
Дата добавления в базу:01.09.2013
Дата актуализации:05.05.2017
Дата введения:01.11.1988
Область применения:Документ является общим информационным документом для работников служб технологии, механизации и эксплуатации предприятий и организаций отрасли Морского флота.
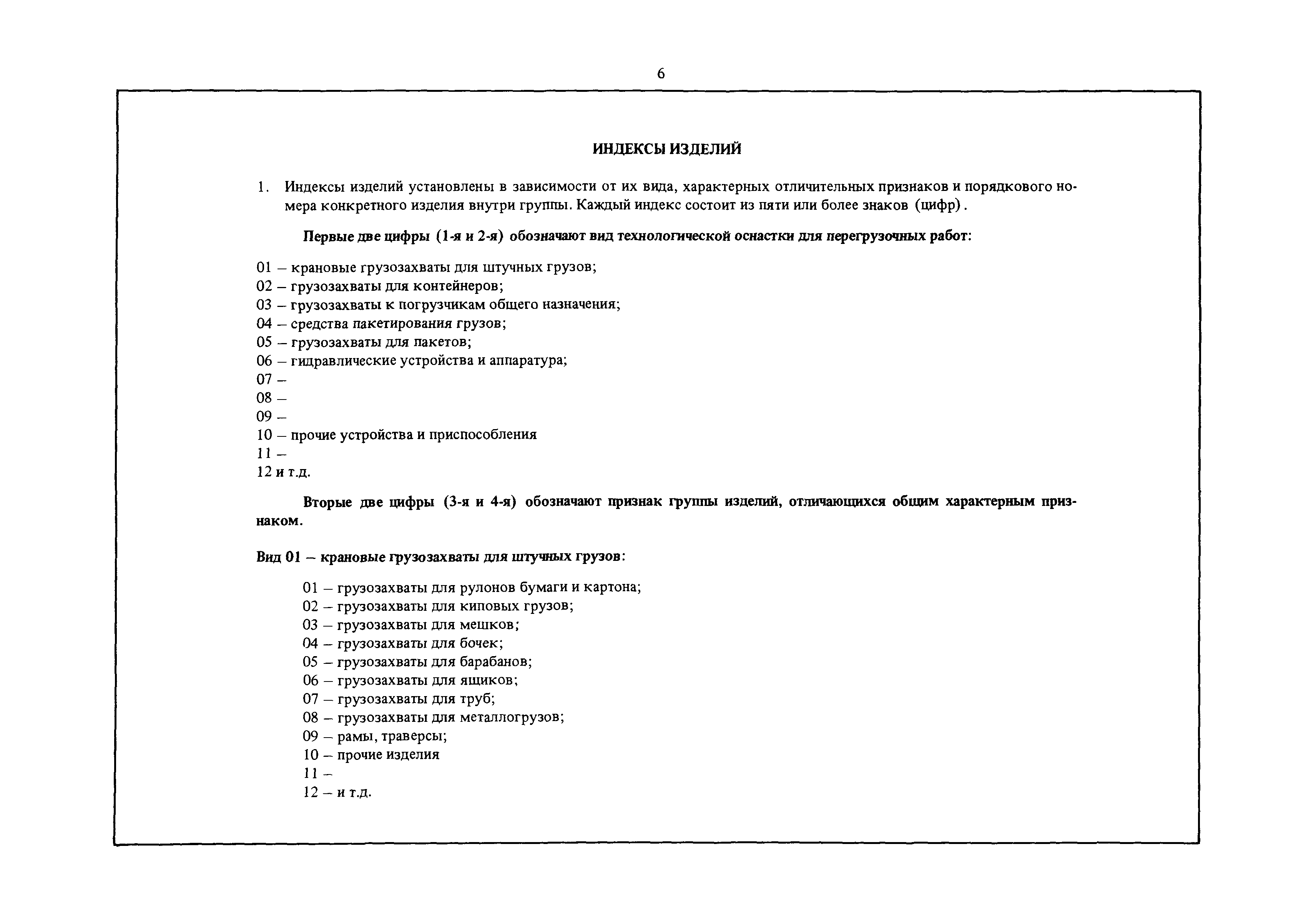
Оглавление:Вид 01 - крановые грузозахваты для штучных грузов
   Группа 01 - грузозахваты для рулонов бумаги и картона
   Группа 02 - грузозахваты для киповых грузов
   Группа 03 - грузозахваты для мешков
   Группа 04 - грузозахваты для бочек
   Группа 05 - грузозахваты для барабанов
   Группа 06 - грузозахваты для ящиков
   Группа 07 - грузозахваты для труб
   Группа 08 - грузозахваты для металлогрузов
   Группа 09 - рамы, траверсы
   Группа 09 - прочие изделия
Вид 02 - грузозахваты для контейнеров
   Группа 01 - спредеры
   Группа 02 - грузозахваты крановые с ручной застропкой для крупнотоннажных контейнеров
   Группа 03 - грузозахваты к погрузчикам для крупнотоннажных контейнеров
   Группа 04 - грузозахваты для универсальных (железнодорожных) контейнеров
   Группа 05 - грузозахваты для мягких контейнеров
Вид 03 - грузозахваты к погрузчикам общего назначения
   Группа 01 - универсальные боковые грузозахваты со сменными рабочими органами
   Группа 02 - грузозахваты-сталкиватели со сменными рабочими органами
   Группа 03 - грузозахваты-кантователи
   Группа 10 - прочие грузозахваты и устройства к погрузчикам
Вид 04 - средства пакетирования грузов
   Группа 01 - стропы пакетирующие самозатяжные "крестообразные" типа СПК
   Группа 03 - стропы пакетирующие несущие типа СПТ
Вид 05 - грузозахваты для пакетов
   Группа 01 - унифицированные грузозахваты-манипуляторы к погрузчикам
   Группа 02 - крановые грузозахваты для перегрузки пакетов на стропах из синтетических лент
   Группа 03 - стропы грузовые из синтетических лент
   Группа 04 - грузозахваты крановые вилочные
Вид 06 - гидравлические устройства и аппаратура
   Группа 01 - устройства для соединения гидросистемы погрузчика с гидросистемой грузозахвата
   Группа 02 - приборы для контроля функциональных параметров
Вид 10 - прочие устройства и приспособления
   Группа 01 - устройства для разворота грузов
   Группа 02 - ковши
   Группа 03 - приспособления для транспортирования и буксировки
   Группа 10 - отдельные изделия
Разработан: ЦНИИМФ
Утверждён:07.04.1988 Главфлот Минморфлота СССР (Glavflot, USSR Minmorflot ГФ-16/3-251)
Расположен в:Техническая документация Экология СУДОСТРОЕНИЕ И МОРСКИЕ СООРУЖЕНИЯ Судостроение и морские сооружения в целом Подъемное и погрузочно-разгрузочное оборудование Строительство Нормативные документы Отраслевые и ведомственные нормативно-методические документы Проектирование и строительство морских сооружений
Заменяет собой:
  • РД 31.45.01-81 «Карты грузозахватов»
РД 31.45.01-88РД 31.45.01-88РД 31.45.01-88РД 31.45.01-88РД 31.45.01-88РД 31.45.01-88РД 31.45.01-88РД 31.45.01-88РД 31.45.01-88РД 31.45.01-88РД 31.45.01-88РД 31.45.01-88РД 31.45.01-88РД 31.45.01-88РД 31.45.01-88РД 31.45.01-88РД 31.45.01-88РД 31.45.01-88РД 31.45.01-88РД 31.45.01-88РД 31.45.01-88РД 31.45.01-88РД 31.45.01-88РД 31.45.01-88РД 31.45.01-88РД 31.45.01-88РД 31.45.01-88РД 31.45.01-88РД 31.45.01-88РД 31.45.01-88РД 31.45.01-88РД 31.45.01-88РД 31.45.01-88РД 31.45.01-88РД 31.45.01-88РД 31.45.01-88РД 31.45.01-88РД 31.45.01-88РД 31.45.01-88РД 31.45.01-88РД 31.45.01-88РД 31.45.01-88РД 31.45.01-88РД 31.45.01-88РД 31.45.01-88РД 31.45.01-88РД 31.45.01-88РД 31.45.01-88РД 31.45.01-88РД 31.45.01-88РД 31.45.01-88РД 31.45.01-88РД 31.45.01-88РД 31.45.01-88РД 31.45.01-88РД 31.45.01-88РД 31.45.01-88РД 31.45.01-88РД 31.45.01-88РД 31.45.01-88РД 31.45.01-88РД 31.45.01-88РД 31.45.01-88РД 31.45.01-88РД 31.45.01-88РД 31.45.01-88РД 31.45.01-88РД 31.45.01-88РД 31.45.01-88РД 31.45.01-88РД 31.45.01-88РД 31.45.01-88РД 31.45.01-88РД 31.45.01-88РД 31.45.01-88РД 31.45.01-88РД 31.45.01-88РД 31.45.01-88РД 31.45.01-88РД 31.45.01-88РД 31.45.01-88РД 31.45.01-88РД 31.45.01-88РД 31.45.01-88РД 31.45.01-88РД 31.45.01-88РД 31.45.01-88РД 31.45.01-88РД 31.45.01-88РД 31.45.01-88РД 31.45.01-88РД 31.45.01-88РД 31.45.01-88РД 31.45.01-88РД 31.45.01-88РД 31.45.01-88РД 31.45.01-88РД 31.45.01-88РД 31.45.01-88РД 31.45.01-88РД 31.45.01-88РД 31.45.01-88РД 31.45.01-88РД 31.45.01-88РД 31.45.01-88РД 31.45.01-88РД 31.45.01-88РД 31.45.01-88РД 31.45.01-88РД 31.45.01-88РД 31.45.01-88РД 31.45.01-88РД 31.45.01-88РД 31.45.01-88РД 31.45.01-88РД 31.45.01-88РД 31.45.01-88РД 31.45.01-88РД 31.45.01-88РД 31.45.01-88РД 31.45.01-88РД 31.45.01-88РД 31.45.01-88РД 31.45.01-88РД 31.45.01-88РД 31.45.01-88РД 31.45.01-88РД 31.45.01-88РД 31.45.01-88РД 31.45.01-88РД 31.45.01-88РД 31.45.01-88РД 31.45.01-88РД 31.45.01-88РД 31.45.01-88РД 31.45.01-88РД 31.45.01-88РД 31.45.01-88РД 31.45.01-88РД 31.45.01-88РД 31.45.01-88РД 31.45.01-88РД 31.45.01-88РД 31.45.01-88РД 31.45.01-88РД 31.45.01-88РД 31.45.01-88РД 31.45.01-88РД 31.45.01-88РД 31.45.01-88РД 31.45.01-88РД 31.45.01-88РД 31.45.01-88РД 31.45.01-88РД 31.45.01-88РД 31.45.01-88РД 31.45.01-88РД 31.45.01-88РД 31.45.01-88РД 31.45.01-88РД 31.45.01-88РД 31.45.01-88РД 31.45.01-88РД 31.45.01-88РД 31.45.01-88РД 31.45.01-88РД 31.45.01-88РД 31.45.01-88РД 31.45.01-88РД 31.45.01-88РД 31.45.01-88РД 31.45.01-88РД 31.45.01-88РД 31.45.01-88РД 31.45.01-88РД 31.45.01-88РД 31.45.01-88РД 31.45.01-88РД 31.45.01-88РД 31.45.01-88РД 31.45.01-88РД 31.45.01-88РД 31.45.01-88РД 31.45.01-88РД 31.45.01-88РД 31.45.01-88РД 31.45.01-88РД 31.45.01-88РД 31.45.01-88РД 31.45.01-88РД 31.45.01-88РД 31.45.01-88РД 31.45.01-88РД 31.45.01-88РД 31.45.01-88РД 31.45.01-88РД 31.45.01-88РД 31.45.01-88РД 31.45.01-88РД 31.45.01-88РД 31.45.01-88РД 31.45.01-88РД 31.45.01-88РД 31.45.01-88РД 31.45.01-88РД 31.45.01-88РД 31.45.01-88РД 31.45.01-88РД 31.45.01-88РД 31.45.01-88РД 31.45.01-88РД 31.45.01-88РД 31.45.01-88РД 31.45.01-88РД 31.45.01-88РД 31.45.01-88РД 31.45.01-88

© 2013 Ёшкин Кот :-) Карта сайта