Информационная система
«Ёшкин Кот»

Скачать базу одним архивом
Скачать обновления
История создания базы
Карта сайта

Скачать ГОСТ Р ИСО/ТС 22745-1-2009 Системы промышленной автоматизации и их интеграция. Открытые технические словари и их применение к основным данным. Часть 1. Общие сведения и основополагающие принципы

Дата актуализации: 10.08.2017

ГОСТ Р ИСО/ТС 22745-1-2009

Системы промышленной автоматизации и их интеграция. Открытые технические словари и их применение к основным данным. Часть 1. Общие сведения и основополагающие принципы

Обозначение: ГОСТ Р ИСО/ТС 22745-1-2009
Обозначение англ: GOST R ISO/TS 22745-1-2009
Статус:заменен
Название рус.:Системы промышленной автоматизации и их интеграция. Открытые технические словари и их применение к основным данным. Часть 1. Общие сведения и основополагающие принципы
Название англ.:Industrial automation systems and integration. Open technical dictionaries and their application to master data. Part 1. Overview and fundamental principles
Дата добавления в базу:01.09.2013
Дата актуализации:05.05.2017
Дата введения:01.07.2014
Область применения:Открытые технические словари (OTD) представляют собой совокупность технических концепций для программирования основных данных. Комплекс стандартов ИСО 22745 определяет модель данных для словаря таких технических концепций с однозначным общепринятым утвержденным обозначением концепций, терминов, определений и другой вспомогательной информации, имеющей отношение ко всем этим концепциям. Эти стандарты позволяют определить модель данных как для запрограммированной основной информации, так и для руководства по идентификации (IG), благодаря применению концепций, взятых из OTD. Это позволяет организации-получателю точно установить свои требования к основным данным. Стандарт распространяется на: - общие принципы; - общие требования, предъявляемые ко всем OTD; - однозначный всемирный идентификатор концепций; - модель данных и формат файлов OTD; - руководящие принципы формулирования терминологии OTD; - структуру организации, обеспечивающей обслуживание OTD; - процедуры ведения, поддерживания и обновления OTD; - требования, предъявляемые к обозначению концепций и терминологии; - модель данных и формат файлов для IG; - модель данных и формат файлов для основных данных; - руководящие принципы введения данных каталога в ИСО 10303; - структуру регистрационного органа, ведущего перечень словарей OTD, соответствующих требованиям стандарта; - процедуры обслуживания перечня словарей OTD, соответствующих требованиям стандарта; - адрес веб-сайта, содержащего перечень словарей OTD, соответствующих требованиям настоящего стандарта; Стандарт не распространяется на: - содержание словарей OTD. Стандарт включает в себя: - требования, предъявляемые ко всем OTD; - общие объяснения возможностей использования стандартов комплекса ИСО 22745 с целью выполнения требований ИСО 8000-110; - описание построения стандартов комплекса ИСО 22745; - краткое содержание других частей комплекса стандартов ИСО 22745.
Оглавление:1 Область применения
2 Нормативные ссылки
3 Термины и определения
4 Сокращения
5 Построение
   5.1 Главные принципы
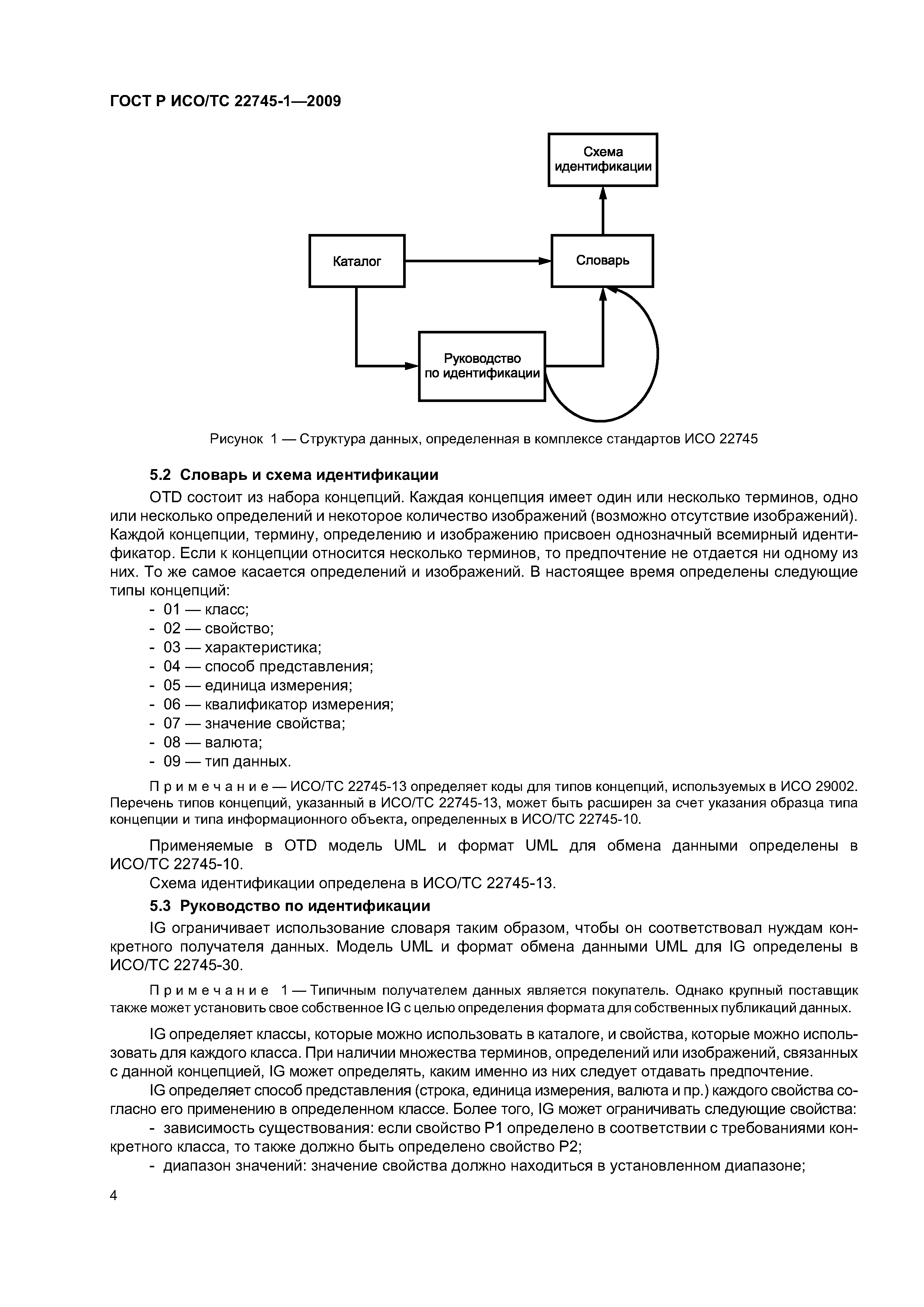
   5.2 Словарь и схема идентификации
   5.3 Руководство по идентификации
   5.4 Каталог
6 Обзор комплекса стандартов ИСО 22745
7 Требования
Приложение А (обязательное) Идентификация документа
Приложение В (справочное) Дополнительная информация по реализации
Приложение С (справочное) Связь с другими стандартами
Приложение ДА (справочное) Сведения о соответствии ссылочных международных стандартов ссылочным национальным стандартам Российской Федерации
Библиография
Разработан: ФГУ ФЦК
Утверждён:15.12.2009 Федеральное агентство по техническому регулированию и метрологии (1153-ст)
Издан: Стандартинформ (2011 г. )
Расположен в:Техническая документация Электроэнергия МАШИНОСТРОЕНИЕ Промышленные автоматизированные системы Промышленные автоматизированные системы в целом Экология МАШИНОСТРОЕНИЕ Промышленные автоматизированные системы Промышленные автоматизированные системы в целом
Чем заменён:
Нормативные ссылки:
ГОСТ Р ИСО/ТС 22745-1-2009ГОСТ Р ИСО/ТС 22745-1-2009ГОСТ Р ИСО/ТС 22745-1-2009ГОСТ Р ИСО/ТС 22745-1-2009ГОСТ Р ИСО/ТС 22745-1-2009ГОСТ Р ИСО/ТС 22745-1-2009ГОСТ Р ИСО/ТС 22745-1-2009ГОСТ Р ИСО/ТС 22745-1-2009ГОСТ Р ИСО/ТС 22745-1-2009ГОСТ Р ИСО/ТС 22745-1-2009ГОСТ Р ИСО/ТС 22745-1-2009ГОСТ Р ИСО/ТС 22745-1-2009ГОСТ Р ИСО/ТС 22745-1-2009ГОСТ Р ИСО/ТС 22745-1-2009ГОСТ Р ИСО/ТС 22745-1-2009ГОСТ Р ИСО/ТС 22745-1-2009ГОСТ Р ИСО/ТС 22745-1-2009ГОСТ Р ИСО/ТС 22745-1-2009ГОСТ Р ИСО/ТС 22745-1-2009ГОСТ Р ИСО/ТС 22745-1-2009ГОСТ Р ИСО/ТС 22745-1-2009ГОСТ Р ИСО/ТС 22745-1-2009ГОСТ Р ИСО/ТС 22745-1-2009ГОСТ Р ИСО/ТС 22745-1-2009ГОСТ Р ИСО/ТС 22745-1-2009ГОСТ Р ИСО/ТС 22745-1-2009

© 2013 Ёшкин Кот :-) Карта сайта