Информационная система
«Ёшкин Кот»

Скачать базу одним архивом
Скачать обновления
История создания базы
Карта сайта

Скачать ГОСТ Р МЭК 61850-7-2-2009 Сети и системы связи на подстанциях. Часть 7. Базовая структура связи для подстанций и линейного оборудования. Раздел 2. Абстрактный интерфейс услуг связи (ACSI)

Дата актуализации: 10.08.2017

ГОСТ Р МЭК 61850-7-2-2009

Сети и системы связи на подстанциях. Часть 7. Базовая структура связи для подстанций и линейного оборудования. Раздел 2. Абстрактный интерфейс услуг связи (ACSI)

Обозначение: ГОСТ Р МЭК 61850-7-2-2009
Обозначение англ: GOST R IEC 61850-7-2-2009
Статус:действует
Название рус.:Сети и системы связи на подстанциях. Часть 7. Базовая структура связи для подстанций и линейного оборудования. Раздел 2. Абстрактный интерфейс услуг связи (ACSI)
Название англ.:Communication networks and systems in substations. Part 7-2. Basic communication structure for substation and feeder equipment. Abstract communication service interface (ACSI)
Дата добавления в базу:01.09.2013
Дата актуализации:05.05.2017
Дата введения:01.01.2011
Область применения:Стандарт распространяется на связь через интерфейс ACSI для приложений, связанных с оборудованием подстанций и линий. ACSI обеспечивает следующие абстрактные интерфейсы: а) Абстрактный интерфейс, описывающий связи между клиентом и удаленным сервером для: - доступа к данным и поиска данных в реальном времени; - управления устройством; - составления отчетов по событию и регистрации события; - взаимодействия сервера публикации/подписчика; - самоописания устройств (словарь данных устройства); - печати данных и определения типов данных; - передачи файлов. b) Абстрактный интерфейс для быстрого и надежного распределения событий по всей системе между каким-либо приложением в одном устройстве и множеством удаленных приложений в различных устройствах (сервер публикации/подписчик) и для передачи выборочных измеренных значений (сервер публикации/подписчик). Стандарт также может быть использован для описания моделей и функций устройств для дополнительных действий таких, как обмен информацией: - между подстанциями; - между подстанцией и центром управления; - между электростанцией и центром управления; - для распределенной генерации; - для целей учета электроэнергии.
Оглавление:1 Область применения
2 Нормативные ссылки
3 Термины и определения
4 Сокращения
5 Обзор и основные концепции абстрактного интерфейса услуг связи (ACSI)
   5.1 Общие сведения
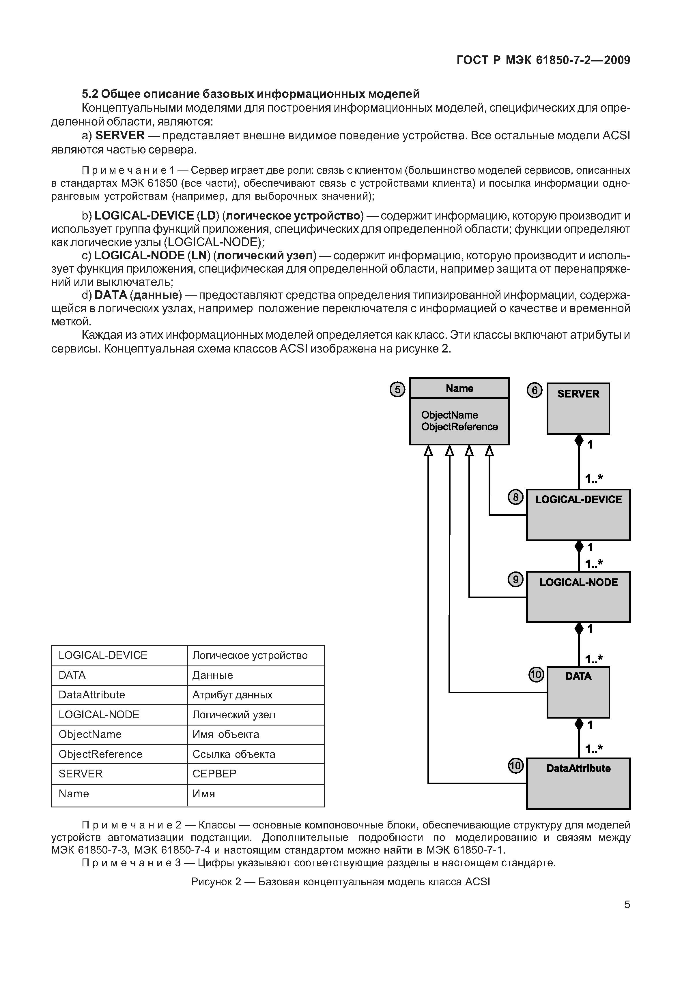
   5.2 Общее описание базовых информационных моделей
   5.3 Обзор других моделей сервисов
   5.4 Обзор сервисов ACSI
   5.5 Определения типов
6 Модель класса SERVER (сервер)
   6.1 Определение класса SERVER
   6.2 Сервисы класса SERVER
7 Прикладная модель ассоциации
   7.1 Введение
   7.2 Концепция прикладных ассоциаций
   7.3 Управление доступом
   7.4 Модель класса TWO-PARTY-APPLICATION-ASSOCIATION (TPAA)
   7.5 Класс MULTICAST-APPLICATION-ASSOCIATION (МСАА)
8 Модель класса LOGICAL-DEVICE (логическое устройство)
   8.1 Определение класса LOGICAL-DEVICE
   8.2 Сервисы класса LOGICAL-DEVICE
9 Модель класса LOGICAL-NODE (логический узел)
   9.1 Определение класса LOGICAL-NODE
   9.2 Сервисы класса LOGICAL-NODE
10 Модель класса DATA (данные)
   10.1 Общие сведения
   10.2 Определение класса DATA
   10.3 Отношения классов данных DATA, классов общих данных DATA и классов совместимых данных DATA
   10.4 Сервисы класса данных DATA
11 Модель класса DATA-SET (набор данных)
   11.1 Общие сведения
   11.2 Определение класса DATA-SET
   11.3 Сервисы класса DATA-SET
12 Модель подстановки
13 Модель класса SETTING-GROUP-CONTROL-BLOCK (блок управления группой настроек)
   13.1 Общие сведения
   13.2 Определение класса SGCB
   13.3 Сервисы класса SGCB
14 Модели классов REPORT-CONTROL-BLOCK (блок управления небуферизованным отчетом) и LOG-CONTROL-BLOCK (блок управления журналом)
   14.1 Общее описании
   14.2 Модель класса REPORT-CONTROL-BLOCK
   14.3 Модель класса LOG-CONTROL-BLOCK (блок управления журналом)
15 Модель класса общего события на подстанции (GSE)
   15.1 Общие сведения
   15.2 Класс GOOSE-CONTROL-BLOCK (GoCB) (блок управления общими объектно-ориентированными событиями на подстанции)
   15.3 Класс GSSE-CONTROL-BLOCK (О5СВ) (блок управления общим событием состояния на подстанции)
16 Модель передачи выборочных значений
   16.1 Общее описание
   16.2 Передача выборочных значений с использованием многоадресного обмена
   16.3 Передача выборочных значений с использованием одноадресного обмена
   16.4 Формат выборочного значения
17 Модель класса CONTROL
   17.1 Введение
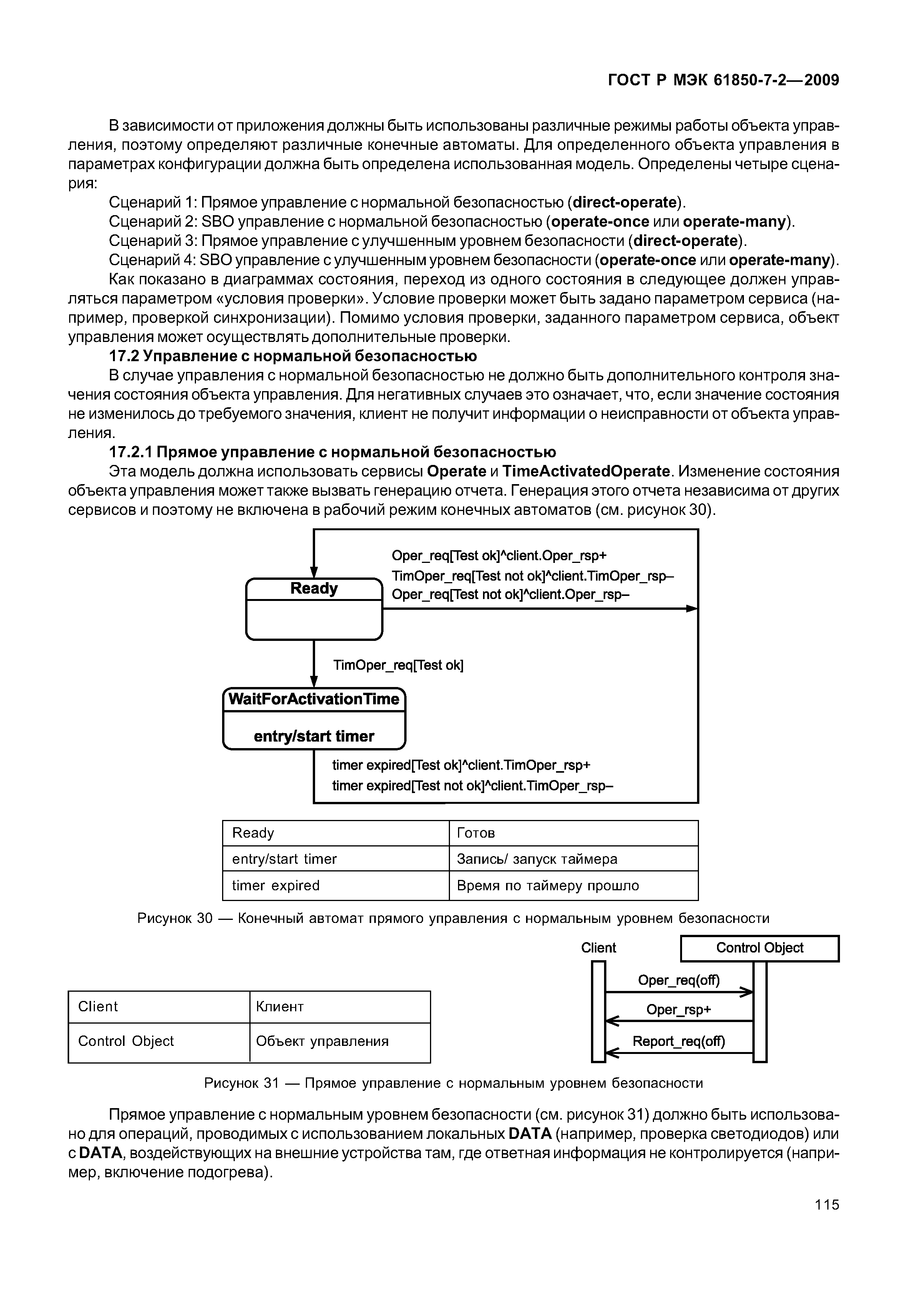
   17.2 Управление с нормальной безопасностью
   17.3 Управление с улучшенным уровнем безопасности
   17.4 Работа с активированием по времени
   17.5 Определения сервисов класса CONTROL
18 Модель времени и временной синхронизации
   18.1 Общие сведения
   18.2 Внешняя информация
19 Соглашения о присвоении имен
   19.1 Присвоение имен класса и специализации класса
   19.2 Ссылка на экземпляр класса
   19.3 Область применения
20 Передача файлов
   20.1 Модель передачи файлов
   20.2 Сервисы файла
Приложение А (обязательное) Свидетельство о соответствии ACSI
   А.1 Общие сведения
   А.2 Базовое свидетельство о соответствии ACSI
   А.3 Свидетельство о соответствии моделей ACSI
   А.4 Свидетельство о соответствии сервисов ACSI
Приложение ДА (справочное) Сведения о соответствии ссылочных международных стандартов ссылочным национальным стандартам Российской Федерации
Библиография
Разработан: ОАО НТЦ электроэнергетики
ООО ЭКСПЕРТЭНЕРГО
Утверждён:15.12.2009 Федеральное агентство по техническому регулированию и метрологии (848-ст)
Издан: Стандартинформ (2011 г. )
Расположен в:Техническая документация Электроэнергия ТЕЛЕКОММУНИКАЦИИ. АУДИО-И ВИДЕОТЕХНИКА Телемеханика. Телеметрия Экология ТЕЛЕКОММУНИКАЦИИ. АУДИО-И ВИДЕОТЕХНИКА Телемеханика. Телеметрия Строительство Стандарты Другие государственные стандарты, применяемые в строительстве Телекоммуникации. Аудио- и видеотехника
Нормативные ссылки:
ГОСТ Р МЭК 61850-7-2-2009ГОСТ Р МЭК 61850-7-2-2009ГОСТ Р МЭК 61850-7-2-2009ГОСТ Р МЭК 61850-7-2-2009ГОСТ Р МЭК 61850-7-2-2009ГОСТ Р МЭК 61850-7-2-2009ГОСТ Р МЭК 61850-7-2-2009ГОСТ Р МЭК 61850-7-2-2009ГОСТ Р МЭК 61850-7-2-2009ГОСТ Р МЭК 61850-7-2-2009ГОСТ Р МЭК 61850-7-2-2009ГОСТ Р МЭК 61850-7-2-2009ГОСТ Р МЭК 61850-7-2-2009ГОСТ Р МЭК 61850-7-2-2009ГОСТ Р МЭК 61850-7-2-2009ГОСТ Р МЭК 61850-7-2-2009ГОСТ Р МЭК 61850-7-2-2009ГОСТ Р МЭК 61850-7-2-2009ГОСТ Р МЭК 61850-7-2-2009ГОСТ Р МЭК 61850-7-2-2009ГОСТ Р МЭК 61850-7-2-2009ГОСТ Р МЭК 61850-7-2-2009ГОСТ Р МЭК 61850-7-2-2009ГОСТ Р МЭК 61850-7-2-2009ГОСТ Р МЭК 61850-7-2-2009ГОСТ Р МЭК 61850-7-2-2009ГОСТ Р МЭК 61850-7-2-2009ГОСТ Р МЭК 61850-7-2-2009ГОСТ Р МЭК 61850-7-2-2009ГОСТ Р МЭК 61850-7-2-2009ГОСТ Р МЭК 61850-7-2-2009ГОСТ Р МЭК 61850-7-2-2009ГОСТ Р МЭК 61850-7-2-2009ГОСТ Р МЭК 61850-7-2-2009ГОСТ Р МЭК 61850-7-2-2009ГОСТ Р МЭК 61850-7-2-2009ГОСТ Р МЭК 61850-7-2-2009ГОСТ Р МЭК 61850-7-2-2009ГОСТ Р МЭК 61850-7-2-2009ГОСТ Р МЭК 61850-7-2-2009ГОСТ Р МЭК 61850-7-2-2009ГОСТ Р МЭК 61850-7-2-2009ГОСТ Р МЭК 61850-7-2-2009ГОСТ Р МЭК 61850-7-2-2009ГОСТ Р МЭК 61850-7-2-2009ГОСТ Р МЭК 61850-7-2-2009ГОСТ Р МЭК 61850-7-2-2009ГОСТ Р МЭК 61850-7-2-2009ГОСТ Р МЭК 61850-7-2-2009ГОСТ Р МЭК 61850-7-2-2009ГОСТ Р МЭК 61850-7-2-2009ГОСТ Р МЭК 61850-7-2-2009ГОСТ Р МЭК 61850-7-2-2009ГОСТ Р МЭК 61850-7-2-2009ГОСТ Р МЭК 61850-7-2-2009ГОСТ Р МЭК 61850-7-2-2009ГОСТ Р МЭК 61850-7-2-2009ГОСТ Р МЭК 61850-7-2-2009ГОСТ Р МЭК 61850-7-2-2009ГОСТ Р МЭК 61850-7-2-2009ГОСТ Р МЭК 61850-7-2-2009ГОСТ Р МЭК 61850-7-2-2009ГОСТ Р МЭК 61850-7-2-2009ГОСТ Р МЭК 61850-7-2-2009ГОСТ Р МЭК 61850-7-2-2009ГОСТ Р МЭК 61850-7-2-2009ГОСТ Р МЭК 61850-7-2-2009ГОСТ Р МЭК 61850-7-2-2009ГОСТ Р МЭК 61850-7-2-2009ГОСТ Р МЭК 61850-7-2-2009ГОСТ Р МЭК 61850-7-2-2009ГОСТ Р МЭК 61850-7-2-2009ГОСТ Р МЭК 61850-7-2-2009ГОСТ Р МЭК 61850-7-2-2009ГОСТ Р МЭК 61850-7-2-2009ГОСТ Р МЭК 61850-7-2-2009ГОСТ Р МЭК 61850-7-2-2009ГОСТ Р МЭК 61850-7-2-2009ГОСТ Р МЭК 61850-7-2-2009ГОСТ Р МЭК 61850-7-2-2009ГОСТ Р МЭК 61850-7-2-2009ГОСТ Р МЭК 61850-7-2-2009ГОСТ Р МЭК 61850-7-2-2009ГОСТ Р МЭК 61850-7-2-2009ГОСТ Р МЭК 61850-7-2-2009ГОСТ Р МЭК 61850-7-2-2009ГОСТ Р МЭК 61850-7-2-2009ГОСТ Р МЭК 61850-7-2-2009ГОСТ Р МЭК 61850-7-2-2009ГОСТ Р МЭК 61850-7-2-2009ГОСТ Р МЭК 61850-7-2-2009ГОСТ Р МЭК 61850-7-2-2009ГОСТ Р МЭК 61850-7-2-2009ГОСТ Р МЭК 61850-7-2-2009ГОСТ Р МЭК 61850-7-2-2009ГОСТ Р МЭК 61850-7-2-2009ГОСТ Р МЭК 61850-7-2-2009ГОСТ Р МЭК 61850-7-2-2009ГОСТ Р МЭК 61850-7-2-2009ГОСТ Р МЭК 61850-7-2-2009ГОСТ Р МЭК 61850-7-2-2009ГОСТ Р МЭК 61850-7-2-2009ГОСТ Р МЭК 61850-7-2-2009ГОСТ Р МЭК 61850-7-2-2009ГОСТ Р МЭК 61850-7-2-2009ГОСТ Р МЭК 61850-7-2-2009ГОСТ Р МЭК 61850-7-2-2009ГОСТ Р МЭК 61850-7-2-2009ГОСТ Р МЭК 61850-7-2-2009ГОСТ Р МЭК 61850-7-2-2009ГОСТ Р МЭК 61850-7-2-2009ГОСТ Р МЭК 61850-7-2-2009ГОСТ Р МЭК 61850-7-2-2009ГОСТ Р МЭК 61850-7-2-2009ГОСТ Р МЭК 61850-7-2-2009ГОСТ Р МЭК 61850-7-2-2009ГОСТ Р МЭК 61850-7-2-2009ГОСТ Р МЭК 61850-7-2-2009ГОСТ Р МЭК 61850-7-2-2009ГОСТ Р МЭК 61850-7-2-2009ГОСТ Р МЭК 61850-7-2-2009ГОСТ Р МЭК 61850-7-2-2009ГОСТ Р МЭК 61850-7-2-2009ГОСТ Р МЭК 61850-7-2-2009ГОСТ Р МЭК 61850-7-2-2009ГОСТ Р МЭК 61850-7-2-2009ГОСТ Р МЭК 61850-7-2-2009ГОСТ Р МЭК 61850-7-2-2009ГОСТ Р МЭК 61850-7-2-2009ГОСТ Р МЭК 61850-7-2-2009ГОСТ Р МЭК 61850-7-2-2009ГОСТ Р МЭК 61850-7-2-2009ГОСТ Р МЭК 61850-7-2-2009ГОСТ Р МЭК 61850-7-2-2009ГОСТ Р МЭК 61850-7-2-2009ГОСТ Р МЭК 61850-7-2-2009ГОСТ Р МЭК 61850-7-2-2009ГОСТ Р МЭК 61850-7-2-2009ГОСТ Р МЭК 61850-7-2-2009ГОСТ Р МЭК 61850-7-2-2009ГОСТ Р МЭК 61850-7-2-2009ГОСТ Р МЭК 61850-7-2-2009ГОСТ Р МЭК 61850-7-2-2009ГОСТ Р МЭК 61850-7-2-2009ГОСТ Р МЭК 61850-7-2-2009ГОСТ Р МЭК 61850-7-2-2009ГОСТ Р МЭК 61850-7-2-2009ГОСТ Р МЭК 61850-7-2-2009ГОСТ Р МЭК 61850-7-2-2009ГОСТ Р МЭК 61850-7-2-2009

© 2013 Ёшкин Кот :-) Карта сайта