Скачать Выпуск 2-1/2011 Региональные индексы пересчета базисной стоимости строительно-монтажных работ, определяемой с использованием сметно-нормативной базы ТЕР-2001 в текущий уровень цен I квартала 2011 годаДата актуализации: 10.08.2017 Выпуск 2-1/2011
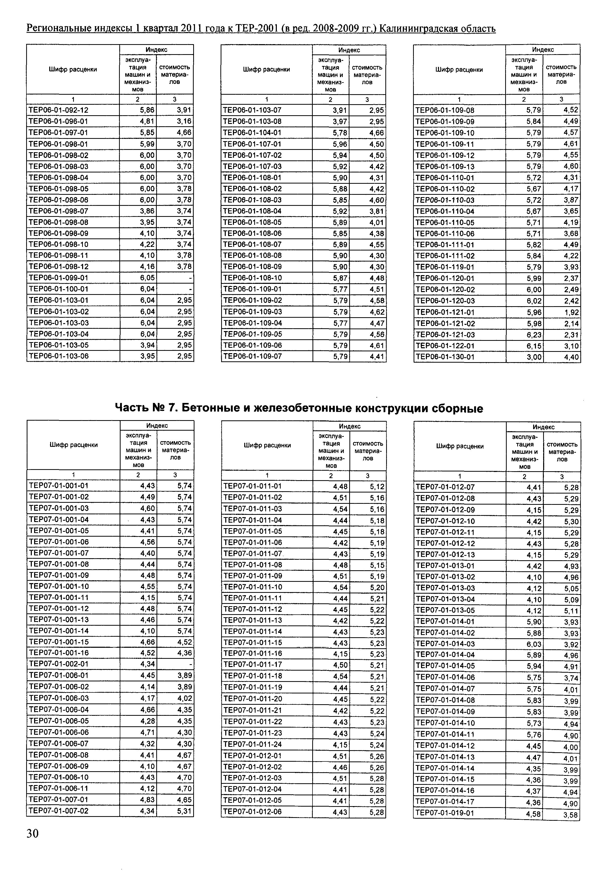
Региональные индексы пересчета базисной стоимости строительно-монтажных работ, определяемой с использованием сметно-нормативной базы ТЕР-2001 в текущий уровень цен I квартала 2011 годаОбозначение: | Выпуск 2-1/2011 | Обозначение англ: | 2-1/2011 | Статус: | действует | Название рус.: | Региональные индексы пересчета базисной стоимости строительно-монтажных работ, определяемой с использованием сметно-нормативной базы ТЕР-2001 в текущий уровень цен I квартала 2011 года | Дата добавления в базу: | 01.09.2013 | Дата актуализации: | 05.05.2017 | Область применения: | Индексы предназначены для составления сметной документации базисно-индексным методом и осуществления взаиморасчетов за выполненные работы по объектам строительства, реконструкции и капитального ремонта, расположенным на территории Калининградской области, а также для осуществления взаиморасчетов за выполненные работы, финансируемых за счет бюджетных средств и из любых других источников. | Оглавление: | 1. Региональные индексы пересчета к элементам прямых затрат к территориальным единичным расценкам на строительные и специальные строительные работы Часть № 1. Земляные работы Часть № 5. Свайные работы. Опускные колодцы. Закрепление грунтов Часть № 6. Бетонные и железобетонные конструкции монолитные Часть № 7. Бетонные и железобетонные конструкции сборные Часть № 8. Конструкции из кирпича и блоков Часть № 9. Строительные металлические конструкции Часть № 10. Деревянные конструкции Часть № 11.Полы Часть № 12. Кровли Часть № 13. Защита строительных конструкций и оборудования от коррозии Часть № 14. Конструкции в сельском строительстве Часть № 15. Отделочные работы Часть № 16. Трубопроводы внутренние Часть № 17. Водопровод и канализация - внутренние устройства Часть № 18. Отопление - внутренние устройства Часть № 19. Газоснабжение - внутренние устройства Часть № 20. Вентиляция и кондиционирование воздуха Часть № 22. Водопровод - наружные сети Часть № 23. Канализация - наружные сети Часть № 24. Теплоснабжение и газопроводы - наружные сети Часть № 26. Теплоизоляционные работы Часть № 27. Автомобильные дороги Часть № 30. Мосты и трубы Часть № 33. Линии электропередачи. Книга 1 Часть № 34. Сооружения связи, радиовещания и телевидения. Книга 2 Часть № 36. Земляные конструкции гидротехнических сооружений Часть № 37. Бетонные и железобетонные конструкции гидротехнических сооружений Часть № 38. Каменные конструкции гидротехнических сооружений Часть № 39. Металлические конструкции гидротехнических сооружений Часть № 40. деревянные конструкции гидротехнических сооружений Часть № 41. Гидроизоляционные работы в гидротехнических сооружениях Часть № 42. Берегоукрепительные работы Часть № 44. Подводно-строительные (водолазные) работы Часть № 45. Промышленные печи и трубы Часть № 46. Работы при реконструкции зданий и сооружений Часть № 47. Озеленение. Защитные лесонасаждения 2. Региональные индексы пересчета к элементам прямых затрат к территориальным единичным расценкам на монтаж оборудования Часть № 3. Подъемно-транспортное оборудование Часть № 6. Теплосиловое оборудование Часть № 7. Компрессорные установки насосы и вентиляторы Часть № 8. Электротехнические установки Часть № 10. Оборудование связи Часть №11. Приборы, средства автоматизации и вычислительной техники Часть № 12. Технологические трубопроводы Часть № 37. Оборудование общего назначения Часть № 38. Изготовление технологических металлических конструкций в условиях производственных баз Часть № 39. Контроль монтажных сварных соединений Часть № 40. Дополнительное перемещение оборудования и материальных ресурсов сверх предусмотренного в сборниках территориальных единичных расценок на монтаж оборудования 3. Региональные индексы пересчета к элементам прямых затрат к территориальным единичным расценкам на ремонтно-строительные работы Раздел № 51. Земляные работы Раздел № 52. Фундаменты Раздел № 53. Стены Раздел № 54. Перекрытия Раздел № 55. Перегородки Раздел № 56. Проемы Раздел № 57. Полы Раздел № 58. Крыши, кровли Раздел № 59. Лестницы, крыльца Раздел № 60. Печные работы Раздел № 61. Штукатурные работы Раздел № 62. Малярные работы Раздел № 63. Стекольные, обойные и облицовочные работы Раздел № 64. Лепные работы Раздел № 65. Внутренние санитарно-технические работы Раздел № 66. Наружные инженерные сети Раздел № 67. Электромонтажные работы Раздел № 68. Благоустройство Раздел № 69. Прочие ремонтно-строительные работы 4. Региональные индексы пересчета к элементам прямых затрат к территориальным единичным расценкам на капитальный ремонт оборудования Часть № 1. Капитальный ремонт и модернизация оборудования лифтов Часть № 2. Ревизия трубопроводной арматуры | Разработан: | ГАУ КО РЦЦС
| Утверждён: | 04.03.2011 Межведомственная комиссия по формированию территориальных сметных нормативов в строительстве Калининградской области (2/11)
| Расположен в: |
|
                                                                                                                                                                
|