Информационная система
«Ёшкин Кот»

Скачать базу одним архивом
Скачать обновления
История создания базы
Карта сайта

Скачать ГОСТ Р ИСО/МЭК 24709-1-2009 Автоматическая идентификация. Идентификация биометрическая. Испытания на соответствие биометрическому программному интерфейсу (БиоАПИ). Часть 1. Методы и процедуры

Дата актуализации: 10.08.2017

ГОСТ Р ИСО/МЭК 24709-1-2009

Автоматическая идентификация. Идентификация биометрическая. Испытания на соответствие биометрическому программному интерфейсу (БиоАПИ). Часть 1. Методы и процедуры

Обозначение: ГОСТ Р ИСО/МЭК 24709-1-2009
Обозначение англ: GOST R ISO/IEC 24709-1-2009
Статус:действует
Название рус.:Автоматическая идентификация. Идентификация биометрическая. Испытания на соответствие биометрическому программному интерфейсу (БиоАПИ). Часть 1. Методы и процедуры
Название англ.:Automatic identification. Biometric identification. Conformance testing for the biometric application programing interface (BioAPI). Part 1. Methods and procedures
Дата добавления в базу:01.09.2013
Дата актуализации:05.05.2017
Дата введения:01.01.2011
Область применения:Стандарт устанавливает понятия, структуру, методы испытаний и критерии, необходимые для проведения испытаний биометрической продукции на соответствие спецификации BioAPI. Помимо этого, стандарт содержит руководящие указания по определению комплекта тестов для соответствия спецификации BioAPI, написанию обобщенных тестовых утверждений и определению процедур проверки на соответствие. Стандарт распространяется только на испытания на соответствие биометрической продукции спецификации BioAPI. Стандарт не устанавливает требований к методам испытаний других характеристик биометрической продукции. Испытания, проводимые с использованием методов, предназначенных для конкретного биометрического продукта, также не рассматриваются в стандарте. Стандарт следует использовать для разработки описаний методов испытаний, наборов тестов и тестирующих программ для испытаний продуктов, претендующих на соответствие спецификации BioAPI. Стандарт в основном предназначен для использования в испытательных лабораториях, однако он может быть использован разработчиками и пользователями обобщенных тестовых утверждений и реализаций тестовых методов.
Оглавление:1 Область применения
2 Соответствие
3 Нормативные ссылки
4 Термины и определения
5 Сокращения
6 Методика испытаний на соответствие
   6.1 Общие положения
   6.2 Модели испытаний на соответствие
   6.3 Абстрактная испытательная машина
7 Общие свойства языка утверждений
   7.1 Общие положения
   7.2 Переменные
   7.3 Встроенные переменные
   7.4 Представление целых чисел
   7.5 Представление логических значений
   7.6 Представление универсальных уникальных идентификаторов
   7.7 Представление набора байтов
   7.8 XML-документы
8 Элементы языка утверждений
   8.1 Элемент
   8.2 Элемент (дочерний для элемента )
   8.3 Элемент (дочерний для элемента )
   8.4 Элемент (дочерний для элемента )
   8.5 Элемент (дочерний для элемента )
   8.6 Элемент (дочерний для элемента )
   8.7 Элемент (дочерний для элемента )
   8.8 Элемент (дочерний для элемента )
   8.9 Элемент (дочерний для элемента )
   8.10 Элемент (дочерний для элемента )
   8.11 Элемент (дочерний для элемента )
   8.12 Элемент
   8.13 Элемент
   8.14 Элемент
   8.15 Элемент (дочерний для элемента )
   8.16 Элемент
   8.17 Элемент
   8.18 Элемент
   8.19 Элемент
   8.20 Элемент
   8.21 Элемент
   8.22 Элемент
   8.23 Элемент
   8.24 Элемент
   8.25 Элемент
   8.26 Элемент
   8.27 Элемент
   8.28 Элемент
   8.29 Элемент
   8.30 Элемент
   8.31 Элемент
  8.32 Элемент
9 Функции стандартного интерфейса
   9.1 Общие положения
   9.2 Группы параметров
   9.3 Функция BioAPI_Init
   9.4 Функция BioAPI_Terminate
   9.5 Функция BioAPI_GetFrameworklnfo
   9.6 Функция BioAPI_EnumBSPs
   9.7 Функция BioAPI_BSPLoad
   9.8 Функция BioAPI_BSPUnload
   9.9 Функция BioAPI_BSPAttach
   9.10 Функция BioAPI_BSPDetach
   9.11 Функция BioAPI_QueryUnits
   9.12 Функция BioAPI_EnumBFPs
   9.13 Функция BioAPI_QueryBFPs
   9.14 Функция BioAPI_ControlUnit
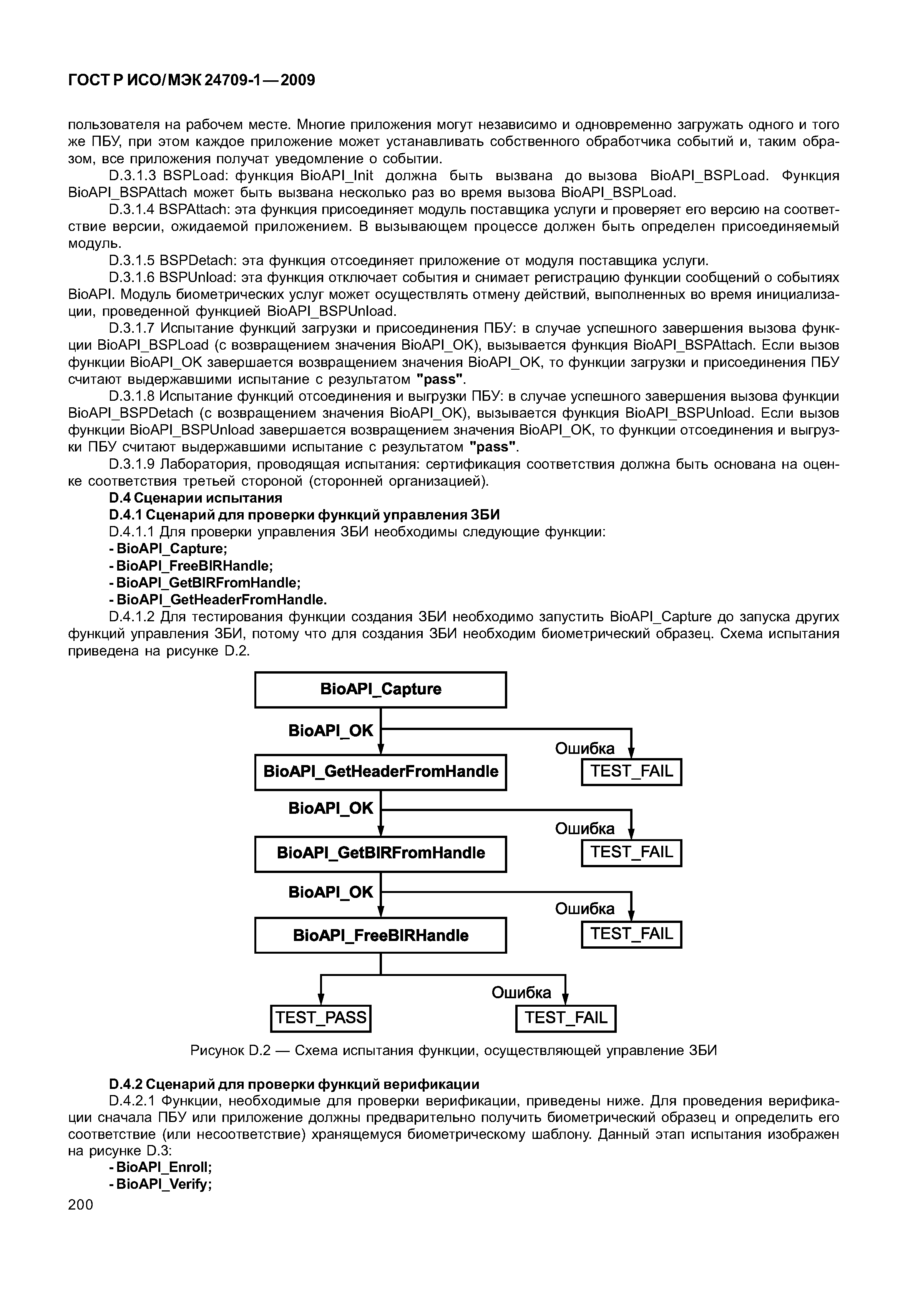
   9.15 Функция BioAPI_FreeBIRHandle
   9.16 Функция BioAPI_GetBIRFromHandle
   9.17 Функция BioAPI_GetHeaderFromHandle
   9.18 Функция BioAPI_EnableEvents
   9.19 Функция BioAPI_SetGUICallbacks
   9.20 Функция BioAPI_Capture
   9.21 Функция BioAPI_CreateTemplate
   9.22 Функция BioAPI_Process
   9.23 Функция BioAPI_ProcessWithAuxBIR
   9.24 Функция BioAPI_VerifyMatch
   9.25 Функция BioAPI_IdentifyMatch
   9.26 Функция BioAPI_Enroll
   9.27 Функция BioAPI_Verify
   9.28 Функция BioAPI_Identify
   9.29 Функция BioAPI_Import
   9.30 Функция BioAPI_PresetldentifyPopulation
   9.31 Функция BioAPI_DbOpen
   9.32 Функция BioAPI_DbClose
   9.33 Функция BioAPI_DbCreate
   9.34 Функция BioAPI_DbDelete
   9.35 Функция BioAPI_DbSetMarker
   9.36 Функция BioAPI_DbFreeMarker
   9.37 Функция BioAPI_DbStoreBIR
   9.38 Функция BioAPI_DbGetBIR
   9.39 Функция BioAPI_DbGetNextBIR
   9.40 Функция BioAPI_DbDeleteBIR
   9.41 Функция BioAPI_SetPowerMode
   9.42 Функция BioAPI_SetlndicatorStatus
   9.43 Функция BioAPI_GetlndicatorStatus
   9.44 Функция BioAPI_CalibrateSensor
   9.45 Функция BioAPI_Cancel
   9.46 Функция BioAPI_Free
   9.47 Функция BioAPI_Util_InstallBSP
   9.48 Функция BioAPI_Util_InstallBFP
   9.49 Функция BioSPI_BSPLoad
   9.50 Функция BioSPI_BSPUnload
   9.51 Функция BioSPI_BSPAttach
   9.52 Функция BioSPI_BSPDetach
   9.53 Функция BioSPI_QueryUnits
   9.54 Функция BioSPI_QueryBFPs
   9.55 Функция BioSPI_ControlUnit
   9.56 Функция BioSPI_FreeBIRHandle
   9.57 Функция BioSPI_GetBIRFromHandle
   9.58 Функция BioSPI_GetHeaderFromHandle
   9.59 Функция BioSPI_EnableEvents
   9.60 Функция BioSPI_SetGUICallback
   9.61 Функция BioSPI_Capture
   9.62 Функция BioSPI_CreateTemplate
   9.63 Функция BioSPI_Process
   9.64 Функция BioSPI_ProcessWithAuxBIR
   9.65 Функция BioSPI_VerifyMatch
   9.66 Функция BioSPI_IdentifyMatch
   9.67 Функция BioSPI_Enroll
   9.68 Функция BioSPI_Verify
   9.69 Функция BioSPI_Identify
   9.70 Функция BioSPI_Import
   9.71 Функция BioSPI_PresentldentifyPopulation
   9.72 Функция ВioSРI_DbОреn
   9.73 Функция BioSPI_DbClose
   9.74 Функция BioSPI_DbCreate
   9.75 Функция BioSPI_DbDelete
   9.76 Функция BioSPI_DbSetMarker
   9.77 Функция BioSPI_DbFreeMarker
   9.78 Функция BioSPI_DbStoreBIR
   9.79 Функция BioSPI_DbGetBIR
   9.80 Функция BioSPI_DbGetNextBIR
   9.81 Функция BioSPI_DbDeleteBIR
   9.82 Функция BioSPI_SetPowerMode
   9.83 Функция BioSPI_SetlndicatorStatus
   9.84 Функция BioSPI_GetlndicatorStatus
   9.85 Функция BioSPI_CalibrateSensor
   9.86 Функция BioSPI_Cancel
   9.87 Функция BioSPI_Free
   9.88 Функция BioAPI_EventHandler
   9.89 Функция BioAPI_GUI_STATE_CALLBACK
   9.90 Функция BioAPI_GUI_STREAMING_CALLBACK
   9.91 Функция BioSPI_EventHandler
   9.92 Функция BioSPI_GUI_STATE_CALLBACK
   9.93 Функция BioSPI_GUI_STREAMING_CALLBACK
   9.94 Функция BioSPI_BFP_ENUMERATION_HANDLER
   9.95 Функция BioSPI_MEMORY_FREE_HANDLER
10 Встроенные переменные
   10.1 Переменные, имеющие постоянное значение
   10.2 Переменные, имеющие значения, которые могут изменяться
11 Протокол испытания
12 Отчет о результатах испытаний
13 Комплект тестов на соответствие BioAPI
   13.1 Общие положения
   13.2 Структура комплекта тестов на соответствие биометрическому программному интерфейсу
Приложение А (обязательное) XML-схема языка утверждения
Приложение В (обязательное) Схема языка утверждения ASN.1
Приложение С (обязательное) XML-схема протокола теста
Приложение D (справочное) Руководство по проведению испытаний
Приложение Е (справочное) Программа оценки соответствия BioAPI
Приложение F (справочное) XML-диаграммы языка утверждений
Приложение ДА (справочное) Сведения о соответствии ссылочных международных стандартов ссылочным национальным стандартам Российской Федерации
Библиография
Разработан: НИИЦ БТ МГТУ им. Н.Э. Баумана
Утверждён:08.12.2009 Федеральное агентство по техническому регулированию и метрологии (590-ст)
Издан: Стандартинформ (2011 г. )
Расположен в:Техническая документация Электроэнергия ИНФОРМАЦИОННЫЕ ТЕХНОЛОГИИ. МАШИНЫ КОНТОРСКИЕ Наборы знаков и кодирование информации Экология ИНФОРМАЦИОННЫЕ ТЕХНОЛОГИИ. МАШИНЫ КОНТОРСКИЕ Наборы знаков и кодирование информации
ГОСТ Р ИСО/МЭК 24709-1-2009ГОСТ Р ИСО/МЭК 24709-1-2009ГОСТ Р ИСО/МЭК 24709-1-2009ГОСТ Р ИСО/МЭК 24709-1-2009ГОСТ Р ИСО/МЭК 24709-1-2009ГОСТ Р ИСО/МЭК 24709-1-2009ГОСТ Р ИСО/МЭК 24709-1-2009ГОСТ Р ИСО/МЭК 24709-1-2009ГОСТ Р ИСО/МЭК 24709-1-2009ГОСТ Р ИСО/МЭК 24709-1-2009ГОСТ Р ИСО/МЭК 24709-1-2009ГОСТ Р ИСО/МЭК 24709-1-2009ГОСТ Р ИСО/МЭК 24709-1-2009ГОСТ Р ИСО/МЭК 24709-1-2009ГОСТ Р ИСО/МЭК 24709-1-2009ГОСТ Р ИСО/МЭК 24709-1-2009ГОСТ Р ИСО/МЭК 24709-1-2009ГОСТ Р ИСО/МЭК 24709-1-2009ГОСТ Р ИСО/МЭК 24709-1-2009ГОСТ Р ИСО/МЭК 24709-1-2009ГОСТ Р ИСО/МЭК 24709-1-2009ГОСТ Р ИСО/МЭК 24709-1-2009ГОСТ Р ИСО/МЭК 24709-1-2009ГОСТ Р ИСО/МЭК 24709-1-2009ГОСТ Р ИСО/МЭК 24709-1-2009ГОСТ Р ИСО/МЭК 24709-1-2009ГОСТ Р ИСО/МЭК 24709-1-2009ГОСТ Р ИСО/МЭК 24709-1-2009ГОСТ Р ИСО/МЭК 24709-1-2009ГОСТ Р ИСО/МЭК 24709-1-2009ГОСТ Р ИСО/МЭК 24709-1-2009ГОСТ Р ИСО/МЭК 24709-1-2009ГОСТ Р ИСО/МЭК 24709-1-2009ГОСТ Р ИСО/МЭК 24709-1-2009ГОСТ Р ИСО/МЭК 24709-1-2009ГОСТ Р ИСО/МЭК 24709-1-2009ГОСТ Р ИСО/МЭК 24709-1-2009ГОСТ Р ИСО/МЭК 24709-1-2009ГОСТ Р ИСО/МЭК 24709-1-2009ГОСТ Р ИСО/МЭК 24709-1-2009ГОСТ Р ИСО/МЭК 24709-1-2009ГОСТ Р ИСО/МЭК 24709-1-2009ГОСТ Р ИСО/МЭК 24709-1-2009ГОСТ Р ИСО/МЭК 24709-1-2009ГОСТ Р ИСО/МЭК 24709-1-2009ГОСТ Р ИСО/МЭК 24709-1-2009ГОСТ Р ИСО/МЭК 24709-1-2009ГОСТ Р ИСО/МЭК 24709-1-2009ГОСТ Р ИСО/МЭК 24709-1-2009ГОСТ Р ИСО/МЭК 24709-1-2009ГОСТ Р ИСО/МЭК 24709-1-2009ГОСТ Р ИСО/МЭК 24709-1-2009ГОСТ Р ИСО/МЭК 24709-1-2009ГОСТ Р ИСО/МЭК 24709-1-2009ГОСТ Р ИСО/МЭК 24709-1-2009ГОСТ Р ИСО/МЭК 24709-1-2009ГОСТ Р ИСО/МЭК 24709-1-2009ГОСТ Р ИСО/МЭК 24709-1-2009ГОСТ Р ИСО/МЭК 24709-1-2009ГОСТ Р ИСО/МЭК 24709-1-2009ГОСТ Р ИСО/МЭК 24709-1-2009ГОСТ Р ИСО/МЭК 24709-1-2009ГОСТ Р ИСО/МЭК 24709-1-2009ГОСТ Р ИСО/МЭК 24709-1-2009ГОСТ Р ИСО/МЭК 24709-1-2009ГОСТ Р ИСО/МЭК 24709-1-2009ГОСТ Р ИСО/МЭК 24709-1-2009ГОСТ Р ИСО/МЭК 24709-1-2009ГОСТ Р ИСО/МЭК 24709-1-2009ГОСТ Р ИСО/МЭК 24709-1-2009ГОСТ Р ИСО/МЭК 24709-1-2009ГОСТ Р ИСО/МЭК 24709-1-2009ГОСТ Р ИСО/МЭК 24709-1-2009ГОСТ Р ИСО/МЭК 24709-1-2009ГОСТ Р ИСО/МЭК 24709-1-2009ГОСТ Р ИСО/МЭК 24709-1-2009ГОСТ Р ИСО/МЭК 24709-1-2009ГОСТ Р ИСО/МЭК 24709-1-2009ГОСТ Р ИСО/МЭК 24709-1-2009ГОСТ Р ИСО/МЭК 24709-1-2009ГОСТ Р ИСО/МЭК 24709-1-2009ГОСТ Р ИСО/МЭК 24709-1-2009ГОСТ Р ИСО/МЭК 24709-1-2009ГОСТ Р ИСО/МЭК 24709-1-2009ГОСТ Р ИСО/МЭК 24709-1-2009ГОСТ Р ИСО/МЭК 24709-1-2009ГОСТ Р ИСО/МЭК 24709-1-2009ГОСТ Р ИСО/МЭК 24709-1-2009ГОСТ Р ИСО/МЭК 24709-1-2009ГОСТ Р ИСО/МЭК 24709-1-2009ГОСТ Р ИСО/МЭК 24709-1-2009ГОСТ Р ИСО/МЭК 24709-1-2009ГОСТ Р ИСО/МЭК 24709-1-2009ГОСТ Р ИСО/МЭК 24709-1-2009ГОСТ Р ИСО/МЭК 24709-1-2009ГОСТ Р ИСО/МЭК 24709-1-2009ГОСТ Р ИСО/МЭК 24709-1-2009ГОСТ Р ИСО/МЭК 24709-1-2009ГОСТ Р ИСО/МЭК 24709-1-2009ГОСТ Р ИСО/МЭК 24709-1-2009ГОСТ Р ИСО/МЭК 24709-1-2009ГОСТ Р ИСО/МЭК 24709-1-2009ГОСТ Р ИСО/МЭК 24709-1-2009ГОСТ Р ИСО/МЭК 24709-1-2009ГОСТ Р ИСО/МЭК 24709-1-2009ГОСТ Р ИСО/МЭК 24709-1-2009ГОСТ Р ИСО/МЭК 24709-1-2009ГОСТ Р ИСО/МЭК 24709-1-2009ГОСТ Р ИСО/МЭК 24709-1-2009ГОСТ Р ИСО/МЭК 24709-1-2009ГОСТ Р ИСО/МЭК 24709-1-2009ГОСТ Р ИСО/МЭК 24709-1-2009ГОСТ Р ИСО/МЭК 24709-1-2009ГОСТ Р ИСО/МЭК 24709-1-2009ГОСТ Р ИСО/МЭК 24709-1-2009ГОСТ Р ИСО/МЭК 24709-1-2009ГОСТ Р ИСО/МЭК 24709-1-2009ГОСТ Р ИСО/МЭК 24709-1-2009ГОСТ Р ИСО/МЭК 24709-1-2009ГОСТ Р ИСО/МЭК 24709-1-2009ГОСТ Р ИСО/МЭК 24709-1-2009ГОСТ Р ИСО/МЭК 24709-1-2009ГОСТ Р ИСО/МЭК 24709-1-2009ГОСТ Р ИСО/МЭК 24709-1-2009ГОСТ Р ИСО/МЭК 24709-1-2009ГОСТ Р ИСО/МЭК 24709-1-2009ГОСТ Р ИСО/МЭК 24709-1-2009ГОСТ Р ИСО/МЭК 24709-1-2009ГОСТ Р ИСО/МЭК 24709-1-2009ГОСТ Р ИСО/МЭК 24709-1-2009ГОСТ Р ИСО/МЭК 24709-1-2009ГОСТ Р ИСО/МЭК 24709-1-2009ГОСТ Р ИСО/МЭК 24709-1-2009ГОСТ Р ИСО/МЭК 24709-1-2009ГОСТ Р ИСО/МЭК 24709-1-2009ГОСТ Р ИСО/МЭК 24709-1-2009ГОСТ Р ИСО/МЭК 24709-1-2009ГОСТ Р ИСО/МЭК 24709-1-2009ГОСТ Р ИСО/МЭК 24709-1-2009ГОСТ Р ИСО/МЭК 24709-1-2009ГОСТ Р ИСО/МЭК 24709-1-2009ГОСТ Р ИСО/МЭК 24709-1-2009ГОСТ Р ИСО/МЭК 24709-1-2009ГОСТ Р ИСО/МЭК 24709-1-2009ГОСТ Р ИСО/МЭК 24709-1-2009ГОСТ Р ИСО/МЭК 24709-1-2009ГОСТ Р ИСО/МЭК 24709-1-2009ГОСТ Р ИСО/МЭК 24709-1-2009ГОСТ Р ИСО/МЭК 24709-1-2009ГОСТ Р ИСО/МЭК 24709-1-2009ГОСТ Р ИСО/МЭК 24709-1-2009ГОСТ Р ИСО/МЭК 24709-1-2009ГОСТ Р ИСО/МЭК 24709-1-2009ГОСТ Р ИСО/МЭК 24709-1-2009ГОСТ Р ИСО/МЭК 24709-1-2009ГОСТ Р ИСО/МЭК 24709-1-2009ГОСТ Р ИСО/МЭК 24709-1-2009ГОСТ Р ИСО/МЭК 24709-1-2009ГОСТ Р ИСО/МЭК 24709-1-2009ГОСТ Р ИСО/МЭК 24709-1-2009ГОСТ Р ИСО/МЭК 24709-1-2009ГОСТ Р ИСО/МЭК 24709-1-2009ГОСТ Р ИСО/МЭК 24709-1-2009ГОСТ Р ИСО/МЭК 24709-1-2009ГОСТ Р ИСО/МЭК 24709-1-2009ГОСТ Р ИСО/МЭК 24709-1-2009ГОСТ Р ИСО/МЭК 24709-1-2009ГОСТ Р ИСО/МЭК 24709-1-2009ГОСТ Р ИСО/МЭК 24709-1-2009ГОСТ Р ИСО/МЭК 24709-1-2009ГОСТ Р ИСО/МЭК 24709-1-2009ГОСТ Р ИСО/МЭК 24709-1-2009ГОСТ Р ИСО/МЭК 24709-1-2009ГОСТ Р ИСО/МЭК 24709-1-2009ГОСТ Р ИСО/МЭК 24709-1-2009ГОСТ Р ИСО/МЭК 24709-1-2009ГОСТ Р ИСО/МЭК 24709-1-2009ГОСТ Р ИСО/МЭК 24709-1-2009ГОСТ Р ИСО/МЭК 24709-1-2009ГОСТ Р ИСО/МЭК 24709-1-2009ГОСТ Р ИСО/МЭК 24709-1-2009ГОСТ Р ИСО/МЭК 24709-1-2009ГОСТ Р ИСО/МЭК 24709-1-2009ГОСТ Р ИСО/МЭК 24709-1-2009ГОСТ Р ИСО/МЭК 24709-1-2009ГОСТ Р ИСО/МЭК 24709-1-2009ГОСТ Р ИСО/МЭК 24709-1-2009ГОСТ Р ИСО/МЭК 24709-1-2009ГОСТ Р ИСО/МЭК 24709-1-2009ГОСТ Р ИСО/МЭК 24709-1-2009ГОСТ Р ИСО/МЭК 24709-1-2009ГОСТ Р ИСО/МЭК 24709-1-2009ГОСТ Р ИСО/МЭК 24709-1-2009ГОСТ Р ИСО/МЭК 24709-1-2009ГОСТ Р ИСО/МЭК 24709-1-2009ГОСТ Р ИСО/МЭК 24709-1-2009ГОСТ Р ИСО/МЭК 24709-1-2009ГОСТ Р ИСО/МЭК 24709-1-2009ГОСТ Р ИСО/МЭК 24709-1-2009ГОСТ Р ИСО/МЭК 24709-1-2009ГОСТ Р ИСО/МЭК 24709-1-2009ГОСТ Р ИСО/МЭК 24709-1-2009ГОСТ Р ИСО/МЭК 24709-1-2009ГОСТ Р ИСО/МЭК 24709-1-2009ГОСТ Р ИСО/МЭК 24709-1-2009ГОСТ Р ИСО/МЭК 24709-1-2009ГОСТ Р ИСО/МЭК 24709-1-2009ГОСТ Р ИСО/МЭК 24709-1-2009ГОСТ Р ИСО/МЭК 24709-1-2009ГОСТ Р ИСО/МЭК 24709-1-2009ГОСТ Р ИСО/МЭК 24709-1-2009ГОСТ Р ИСО/МЭК 24709-1-2009ГОСТ Р ИСО/МЭК 24709-1-2009ГОСТ Р ИСО/МЭК 24709-1-2009ГОСТ Р ИСО/МЭК 24709-1-2009ГОСТ Р ИСО/МЭК 24709-1-2009ГОСТ Р ИСО/МЭК 24709-1-2009ГОСТ Р ИСО/МЭК 24709-1-2009ГОСТ Р ИСО/МЭК 24709-1-2009ГОСТ Р ИСО/МЭК 24709-1-2009ГОСТ Р ИСО/МЭК 24709-1-2009ГОСТ Р ИСО/МЭК 24709-1-2009ГОСТ Р ИСО/МЭК 24709-1-2009ГОСТ Р ИСО/МЭК 24709-1-2009ГОСТ Р ИСО/МЭК 24709-1-2009ГОСТ Р ИСО/МЭК 24709-1-2009ГОСТ Р ИСО/МЭК 24709-1-2009ГОСТ Р ИСО/МЭК 24709-1-2009ГОСТ Р ИСО/МЭК 24709-1-2009ГОСТ Р ИСО/МЭК 24709-1-2009ГОСТ Р ИСО/МЭК 24709-1-2009ГОСТ Р ИСО/МЭК 24709-1-2009ГОСТ Р ИСО/МЭК 24709-1-2009ГОСТ Р ИСО/МЭК 24709-1-2009

© 2013 Ёшкин Кот :-) Карта сайта