Информационная система
«Ёшкин Кот»

Скачать базу одним архивом
Скачать обновления
История создания базы
Карта сайта

Скачать ГОСТ Р ИСО 2560-2009 Материалы сварочные. Электроды покрытые для ручной дуговой сварки нелегированных и мелкозернистых сталей. Классификация

Дата актуализации: 10.08.2017

ГОСТ Р ИСО 2560-2009

Материалы сварочные. Электроды покрытые для ручной дуговой сварки нелегированных и мелкозернистых сталей. Классификация

Обозначение: ГОСТ Р ИСО 2560-2009
Обозначение англ: GOST R ISO 2560-2009
Статус:действует
Название рус.:Материалы сварочные. Электроды покрытые для ручной дуговой сварки нелегированных и мелкозернистых сталей. Классификация
Название англ.:Welding consumables. Covered electrodes for manual metal arс welding of non-alloy and fine grain steels. Classification
Дата добавления в базу:01.09.2013
Дата актуализации:05.05.2017
Дата введения:01.01.2011
Область применения:Стандарт устанавливает требования к классификации покрытых электродов и наплавленному металлу в состоянии после сварки и послесварочной термообработки при ручной дуговой сварке нелегированных и мелкозернистых сталей с минимальным пределом текучести до 500 Мпа или минимальным пределом прочности при растяжении до 570 Мпа. Стандарт содержит технические требования для классификации по пределу текучести металла шва и средней энергии удара 47 Дж (метод A) и по пределу прочности при растяжении металла шва и средней энергии удара 27 Дж (метод B).
Оглавление:1 Область применения
2 Нормативные ссылки
3 Классификация
4 Символы и требования
   4.1 Символ покрытого электрода
   4.2 Символы прочности и относительного удлинения металла шва
   4.3 Символ свойств металла шва при ударе
   4.4 Символ химического состава металла шва
   4.5 Символ типа покрытия электрода
   4.6 Символ условий послесварочной термической обработки металла шва
   4.7 Символ эффективного переноса металла электрода и рода тока
   4.8 Символ положения сварки
   4.9 Символ содержания диффузионного водорода в наплавленном металле
5 Механические испытания
   5.1 Температура предварительного подогрева и температура между проходами
   5.2 Последовательность выполнения проходов
6 Химический анализ
7 Испытание углового сварного шва
8 Требования к округлению величин
9 Повторные испытания
10 Технические условия на поставку
11 Примеры обозначения
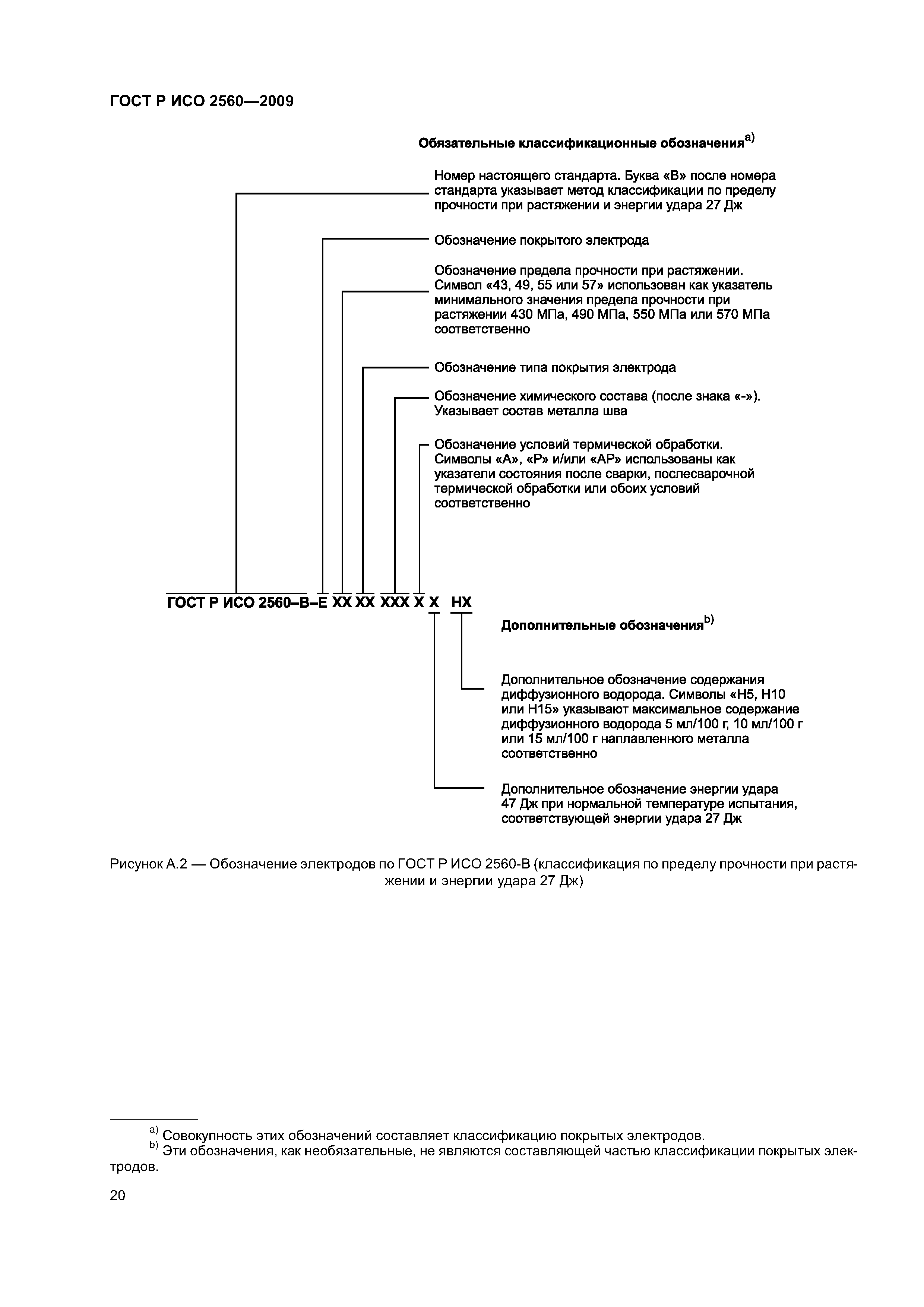
Приложение А (справочное) Методы классификации
Приложение В (справочное) Описание типов покрытия электрода. (Классификация по пределу текучести и энергии удара 47 Дж)
Приложение С (справочное) Описание типов покрытия электродов. (Классификация по пределу прочности при растяжении и энергии удара 27 Дж)
Приложение D (справочное) Примечания по диффузионному водороду и предотвращению образования холодных трещин
Приложение ДА (обязательное) Сведения о соответствии ссылочных международных стандартов ссылочным национальным стандартам Российской Федерации (и действующим в этом качестве межгосударственным стандартам)
Библиография
Разработан: НАКС
ФГУ НУЦСК при МГТУ им. Н.Э. Баумана
Утверждён:15.12.2009 Федеральное агентство по техническому регулированию и метрологии (1076-ст)
Издан: Стандартинформ (2011 г. )
Расположен в:Техническая документация Электроэнергия МАШИНОСТРОЕНИЕ Сварка, пайка твердым и мягким припоем Сварочные расходуемые материалы Экология МАШИНОСТРОЕНИЕ Сварка, пайка твердым и мягким припоем Сварочные расходуемые материалы
Нормативные ссылки:
ГОСТ Р ИСО 2560-2009ГОСТ Р ИСО 2560-2009ГОСТ Р ИСО 2560-2009ГОСТ Р ИСО 2560-2009ГОСТ Р ИСО 2560-2009ГОСТ Р ИСО 2560-2009ГОСТ Р ИСО 2560-2009ГОСТ Р ИСО 2560-2009ГОСТ Р ИСО 2560-2009ГОСТ Р ИСО 2560-2009ГОСТ Р ИСО 2560-2009ГОСТ Р ИСО 2560-2009ГОСТ Р ИСО 2560-2009ГОСТ Р ИСО 2560-2009ГОСТ Р ИСО 2560-2009ГОСТ Р ИСО 2560-2009ГОСТ Р ИСО 2560-2009ГОСТ Р ИСО 2560-2009ГОСТ Р ИСО 2560-2009ГОСТ Р ИСО 2560-2009ГОСТ Р ИСО 2560-2009ГОСТ Р ИСО 2560-2009ГОСТ Р ИСО 2560-2009ГОСТ Р ИСО 2560-2009ГОСТ Р ИСО 2560-2009ГОСТ Р ИСО 2560-2009ГОСТ Р ИСО 2560-2009ГОСТ Р ИСО 2560-2009ГОСТ Р ИСО 2560-2009ГОСТ Р ИСО 2560-2009ГОСТ Р ИСО 2560-2009

© 2013 Ёшкин Кот :-) Карта сайта