Скачать ТЕРм Мурманская область 2001-12 Сборник 12*. Технологические трубопроводыДата актуализации: 10.08.2017 ТЕРм Мурманская область 2001-12
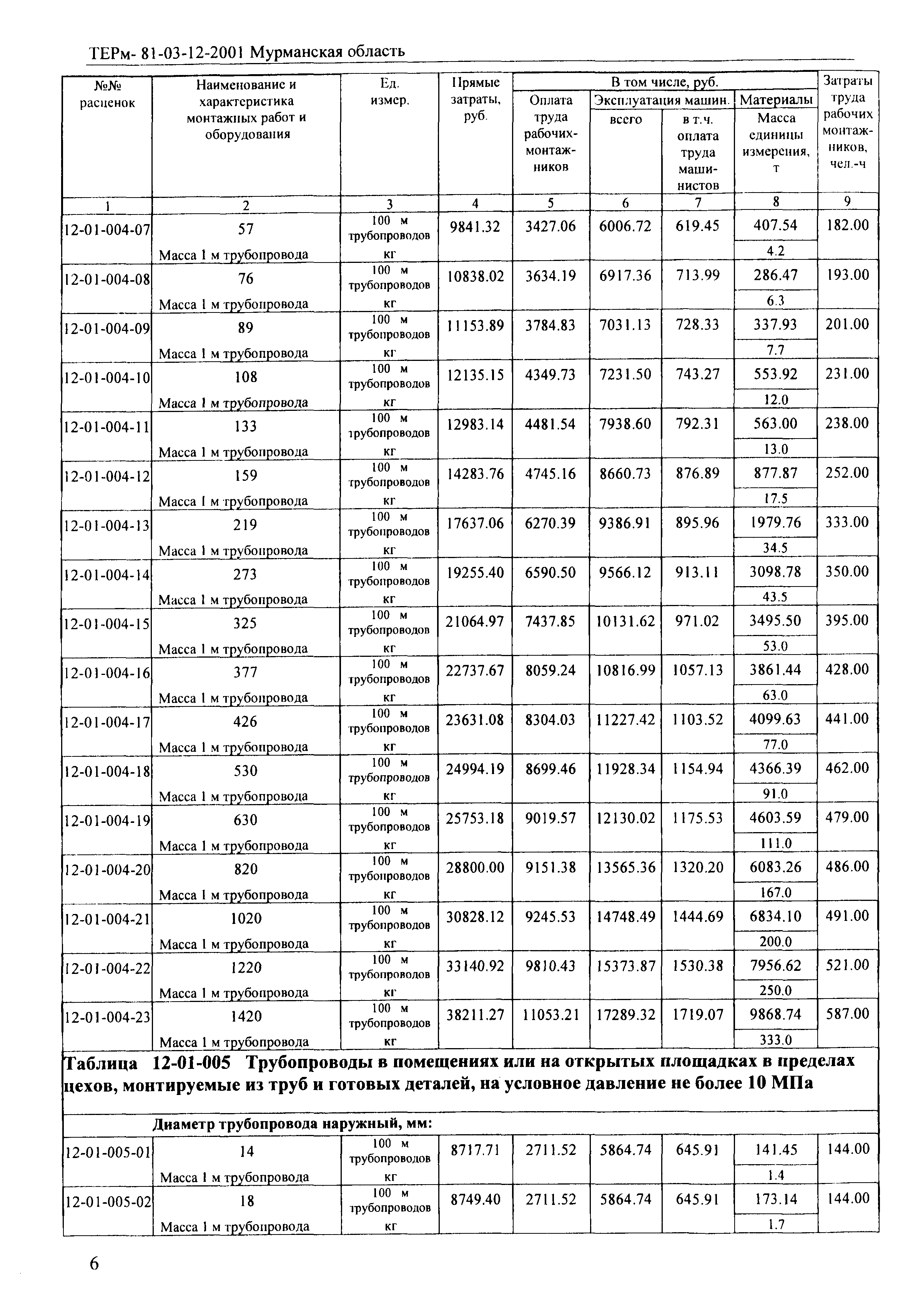
Сборник 12*. Технологические трубопроводыОбозначение: | ТЕРм Мурманская область 2001-12 | Обозначение англ: | 2001-12 | Статус: | не действует | Название рус.: | Сборник 12*. Технологические трубопроводы | Дата добавления в базу: | 01.09.2013 | Дата актуализации: | 05.05.2017 | Область применения: | Расценки предназначены для определения прямых затрат в сметной стоимости выполнения работ по монтажу технологического оборудования при строительстве новых, расширении, реконструкции и техническом перевооружении действующих предприятий, зданий и сооружений, а также для расчета за выполненные монтажные работы. | Оглавление: | Техническая часть Отдел 01. Трубопроводы технологические цеховые Раздел 1. Трубопроводы из труб углеродистых и качественных сталей Раздел 2. Трубопроводы из труб легированных и высоколегированных сталей Раздел 3. Трубопроводы из алюминиевых труб Раздел 4. Трубопроводы из медных и латунных труб Раздел 5. Трубопроводы из свинцовых труб Раздел 6. Трубопроводы из чугунных труб Раздел 7. Трубопроводы из керамических и фарфоровых труб Раздел 8. Трубопроводы из пластмассовых труб Отдел 02. Трубопроводы технологические межцеховые Раздел 1. Трубопроводы из труб углеродистых и качественных сталей Раздел 2. Трубопроводы из алюминиевых труб Раздел 3. Трубопроводы из медных и латунных труб Раздел 4. Трубопроводы из свинцовых труб Раздел 5. Трубопроводы из чугунных труб Раздел 6. Трубопроводы из керамических и фарфоровых труб Раздел 7. Трубопроводы из пластмассовых труб Раздел 8. Трубопроводы из труб легированных и высоколегированных сталей Отдел 03. Трубопроводы внутристанционные тепловых электростанций Раздел 1. Трубопроводы из деталей Раздел 2. Трубопроводы из узлов и блоков сварных Отдел 04. Трубопроводы шахтные Раздел 1. Трубопроводы стальные в стволе шахты Раздел 2. Трубопроводы стальные в горизонтальных и наклонных выработках Раздел 3. Трубопроводы стальные водоотливных установок Раздел 4. Трубопроводы проходческие в стволе шахты Отдел 05. Трубопроводы молочных, молочно-консервных, маслодельных и сыродельных заводов на быстроразъемных соединениях Отдел 07. Трубные проводки систем автоматизации Раздел 1. Трубные проводки из труб углеродистых и низколегированных сталей Раздел 2. Трубные проводки из труб легированных и коррозионно-стойких сталей Раздел 3. Трубные проводки из труб цветных металлов Раздел 4. Трубные проводки из пластмассовых труб и пневматических кабелей, коробки соединительные для пневмокабелей КС-7 и КС-14 Отдел 08. Трубопроводы и арматура установок автоматического пожаротушения Отдел 09. Компенсаторы и смотровые фонари Раздел 1. Компенсаторы стальные линзовые и сальниковые Раздел 2. Компенсаторы волнистые из углеродистых качественных, легированных, коррозионно-стойких и жаростойких сталей Отдел 10. Закладные и отборные устройства систем автоматизации Раздел 1. Закладные устройства систем автоматизации Отдел 11. Разные работы, связанные с монтажом трубопроводов Отдел 12. Арматура общего назначения Раздел 1. Арматура фланцевая, приварная, муфтовая Раздел 2. Арматура газовой промышленности Раздел 3. Арматура аммиачная Отдел 13. Арматура тепловых электростанций Раздел 1. Арматура запорная, регулирующая и дросселирующая Раздел 2. Арматура предохранительная Раздел 3. Арматура водоподготовительных установок и химводоочисток Отдел 14. Арматура для кислородных установок Раздел 1. Вентили латунные Раздел 2. Вентили стальные Раздел 3. Задвижки стальные Раздел 4. Заслонки стальные Раздел 5. Клапаны латунные, стальные и чугунные Отдел 15. Приводы дистанционные Отдел 16. Трубопроводы систем пластичной смазки Отдел 17. Маслопроводы оборудования тепловых электростанций Отдел 18. Изготовление узлов и секций трубопроводов Раздел 1. Изготовление узлов трубопроводов Раздел 2. Изготовление секций трубопроводов Отдел 20. Трубопроводы нефтегазоперерабатывающего комплекса Раздел 1. Трубопроводы из труб углеродистой и качественной стали Приложение 1. Перечень материальных ресурсов, не учтенных в нормах на монтаж оборудования Приложение 2. Нормы отходов труб Приложение 3. Сметные цены на эксплуатацию строительных машин и механизмов, учтенных в сборниках территориальных единичных расценок на монтаж оборудования Сметные цены на строительные материалы, изделия и конструкции, учтенные в сборниках территориальных единичных расценок на монтаж оборудования Средства на оплату труда рабочих в зависимости от разрядности работ | Разработан: | Региональный Центр Ценообразования в строительстве по Мурманской области
| Утверждён: | 18.03.2003 Межведомственная комиссия по ценообразованию в строительстве при правительстве Мурманской области (1/03)
| Издан: | Администрация Мурманской области (2008 г. )
| Расположен в: |
| Нормативные ссылки: | |
                                                                                                                                     
|