Скачать ТССЦ Карачаево-Черкесская Республика 05-2001 Часть 5. Материалы, изделия и конструкции для монтажных и специальных строительных работ. Территориальный сборник сметных цен на материалы, изделия и конструкции, применяемые в строительствеДата актуализации: 10.08.2017 ТССЦ Карачаево-Черкесская Республика 05-2001
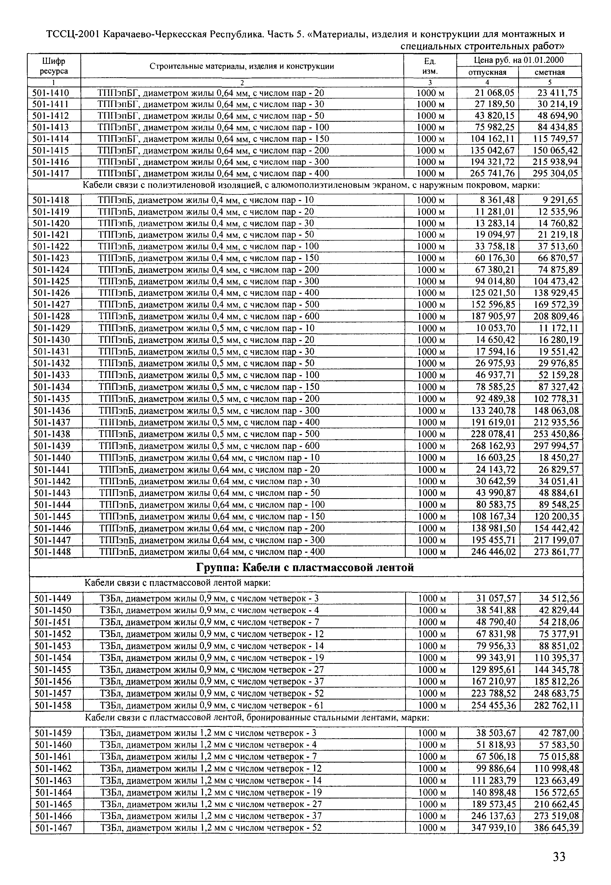
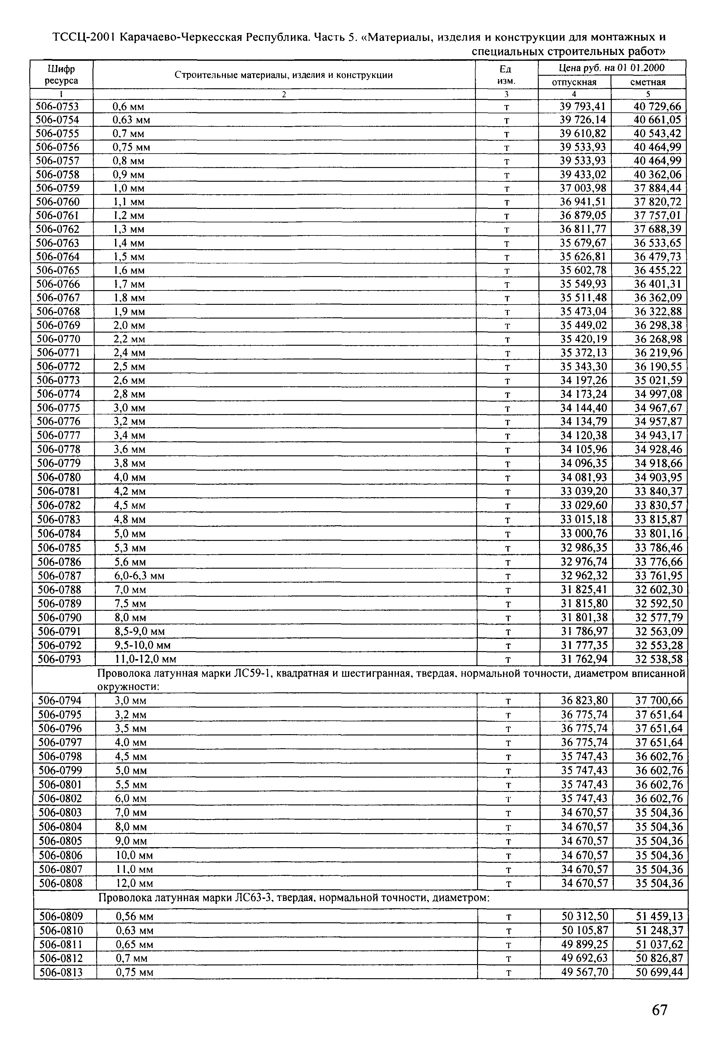
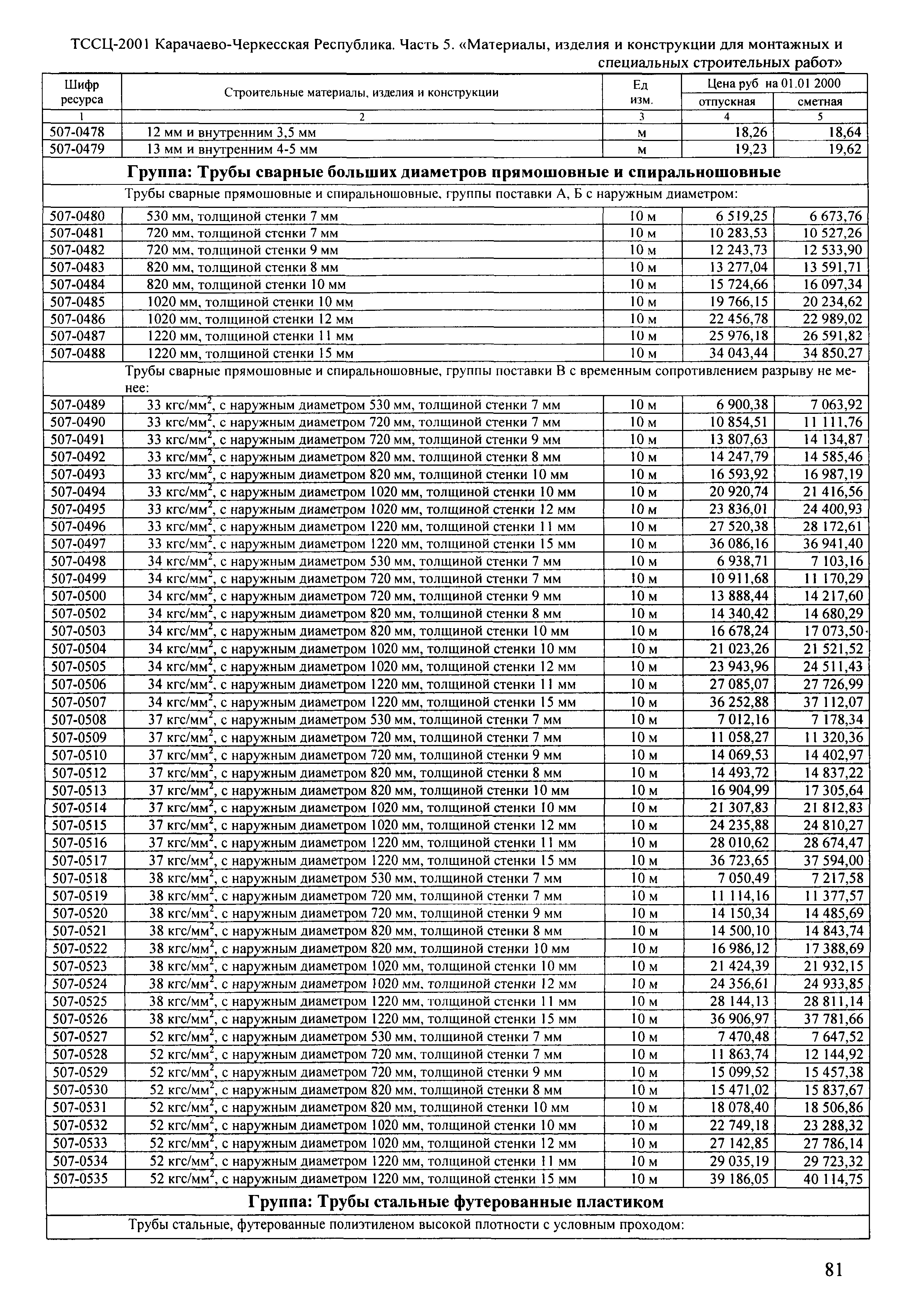
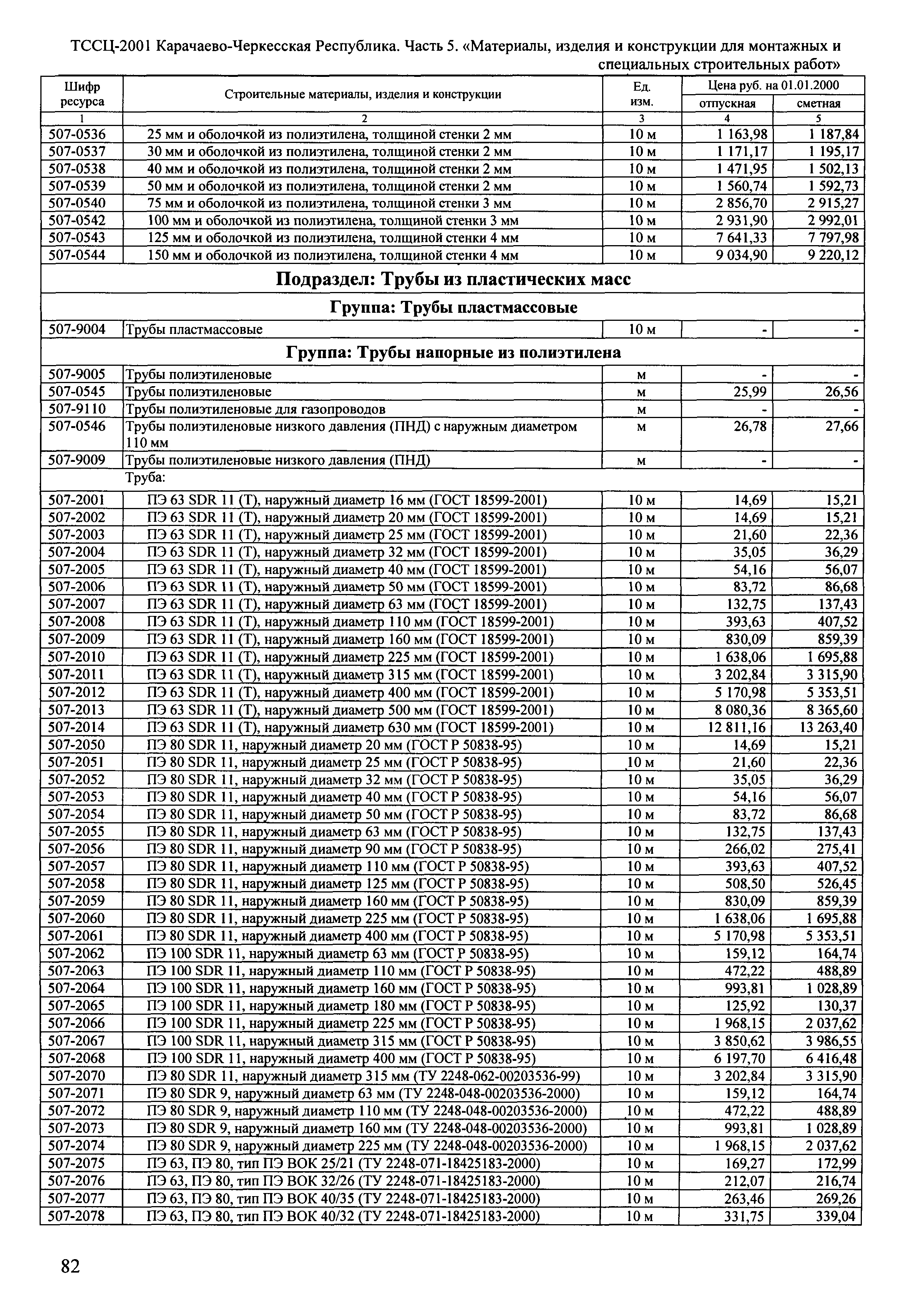
Часть 5. Материалы, изделия и конструкции для монтажных и специальных строительных работ. Территориальный сборник сметных цен на материалы, изделия и конструкции, применяемые в строительствеОбозначение: | ТССЦ Карачаево-Черкесская Республика 05-2001 | Обозначение англ: | 05-2001 | Статус: | не действует | Название рус.: | Часть 5. Материалы, изделия и конструкции для монтажных и специальных строительных работ. Территориальный сборник сметных цен на материалы, изделия и конструкции, применяемые в строительстве | Дата добавления в базу: | 01.09.2013 | Дата актуализации: | 05.05.2017 | Область применения: | Территориальный сборник сметных цен на материалы, изделия и конструкции, применяемые в строительстве (ТССЦ) предназначен для определения сметной стоимости строительно-монтажных (ремонтно-строительных) работ, а также при разработке Территориальных единичных расценок на строительные монтажные и ремонтно-строительные работы. | Оглавление: | Часть 5. Материалы, изделия и конструкции для монтажных и специальных строительных работ Раздел 5.01 Кабели Подраздел: Кабели силовые Подраздел: Кабели силовые гибкие Подраздел: Кабели контроля Подраздел: Кабели связи низкочастотные Подраздел: Кабели коаксиальные магистральные Подраздел: Кабели высокочастотные дальней и внутризонной связи, кабели радиофикации и сельской телефонной связи Подраздел: Кабели для теплых полов Раздел 5.02. Провода, шнуры, проволока, шины и муфты кабельные Подраздел: Провода Подраздел: Шнуры Подраздел: Провода, шины Подраздел: Муфты кабельные Раздел 5.03. Линейно-кабельные изделия связи Раздел 5.04. Электроконструкции Раздел 5.06. Прокатно-тянутые изделия из цветных металлов и цветные металлы Подраздел: Ленты Подраздел: Листы и плиты Подраздел: Прутки из цветных металлов Подраздел: Металлы цветные Подраздел: Полосы Подраздел: Сплавы цветных металлов Раздел 5.07. Трубы, арматура и детали трубопроводов Подраздел: Трубы из цветных металлов Подраздел: Трубы коррозийно-стойкие Подраздел: Трубы стальные Подраздел: Трубы из пластических масс Подраздел: Трубы стеклянные Подраздел: Фасонные части Подраздел: Комплекты ответных стальных плоских приварных фланцев к арматуре трубопроводной Подраздел: Соединительные части технологических трубопроводов Подраздел: Узлы технологических трубопроводов из углеродистых и легированных сталей на Ру 10 МПа Подраздел: Детали трубопроводов Раздел 5.08. Канаты стальные Подраздел: Канаты круглые Подраздел: Канаты закрытые несущие Подраздел: Канаты плоские Подраздел: Канаты стальные по техническим условиям Раздел 5.09 Прочие материалы Подраздел: Изделия специального назначения Подраздел: Аппаратура электрическая низковольтная Подраздел: Источники света Подраздел: Электроизоляционные изделия Подраздел: Асбестовые технические условия Подраздел: Химическая продукция и нефтепродукты Подраздел: Материалы для магистральных нефтепродуктов Алфавитный указатель | Разработан: | РГУ Карачаево-Черкесский центр ценообразования в строительстве
| Утверждён: | 24.03.2010 Министерство строительства, энергетики и жилищно-коммунального хозяйства Карачаево-Черкесской Республики (25)
| Принят: | 26.02.2010 Министерство регионального развития Российской Федерации (6713-СК/08) 12.03.2010 Министерство регионального развития Российской Федерации (9185-СК/08)
| Расположен в: |
|
                                                                                                                                                                                                                                                                                                                                      
|