Информационная система
«Ёшкин Кот»

Скачать базу одним архивом
Скачать обновления
История создания базы
Карта сайта

Скачать ГОСТ Р ИСО 6507-4-2009 Государственная система обеспечения единства измерений. Металлы и сплавы. Измерения твердости по Виккерсу. Часть 4. Таблицы определения твердости

Дата актуализации: 10.08.2017

ГОСТ Р ИСО 6507-4-2009

Государственная система обеспечения единства измерений. Металлы и сплавы. Измерения твердости по Виккерсу. Часть 4. Таблицы определения твердости

Обозначение: ГОСТ Р ИСО 6507-4-2009
Обозначение англ: GOST R ISO 6507-4-2009
Статус:действует
Название рус.:Государственная система обеспечения единства измерений. Металлы и сплавы. Измерения твердости по Виккерсу. Часть 4. Таблицы определения твердости
Название англ.:Metals and alloys. Vickers hardness test. Part 4. Tables of hardness values
Дата добавления в базу:01.09.2013
Дата актуализации:05.05.2017
Дата введения:01.01.2011
Область применения:Стандарт распространяется на таблицы для определения значений чисел твердости по шкалам Виккерса при выполнении измерений на плоских поверхностях по среднему длин диагоналей отпечатка.
Оглавление:1 Область применения
2 Таблицы для определения чисел твердости по шкалам Виккерса при выполнении измерений со значениями нагрузки
   Таблица 1 - Значение нагрузки менее 1,961 Н
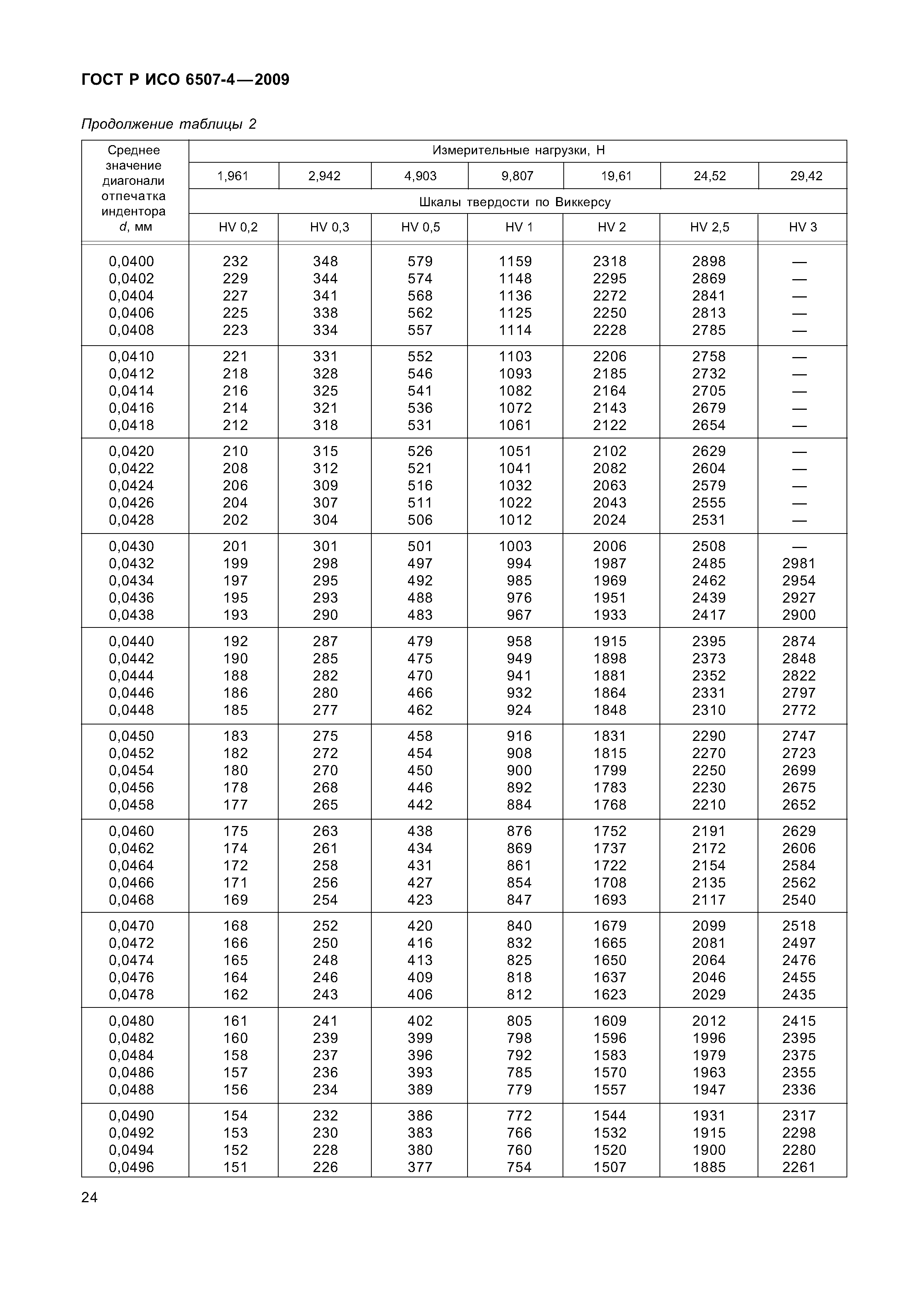
   Таблица 2 - Значение нагрузки более или равной 1,961 Н, но менее 49,03 Н
   Таблица 3 - Значение нагрузки более или равной 49,03 Н. но менее или равной 980,7 Н
Разработан: ФГУП ВНИИФТРИ
Утверждён:15.12.2009 Федеральное агентство по техническому регулированию и метрологии (1123-ст)
Издан: Стандартинформ (2010 г. )
Расположен в:Техническая документация Электроэнергия МЕТРОЛОГИЯ И ИЗМЕРЕНИЯ. ФИЗИЧЕСКИЕ ЯВЛЕНИЯ Метрология и измерения в целом Экология МЕТРОЛОГИЯ И ИЗМЕРЕНИЯ. ФИЗИЧЕСКИЕ ЯВЛЕНИЯ Метрология и измерения в целом Строительство Стандарты Другие государственные стандарты, применяемые в строительстве Метрология и измерения. Физические явления
ГОСТ Р ИСО 6507-4-2009ГОСТ Р ИСО 6507-4-2009ГОСТ Р ИСО 6507-4-2009ГОСТ Р ИСО 6507-4-2009ГОСТ Р ИСО 6507-4-2009ГОСТ Р ИСО 6507-4-2009ГОСТ Р ИСО 6507-4-2009ГОСТ Р ИСО 6507-4-2009ГОСТ Р ИСО 6507-4-2009ГОСТ Р ИСО 6507-4-2009ГОСТ Р ИСО 6507-4-2009ГОСТ Р ИСО 6507-4-2009ГОСТ Р ИСО 6507-4-2009ГОСТ Р ИСО 6507-4-2009ГОСТ Р ИСО 6507-4-2009ГОСТ Р ИСО 6507-4-2009ГОСТ Р ИСО 6507-4-2009ГОСТ Р ИСО 6507-4-2009ГОСТ Р ИСО 6507-4-2009ГОСТ Р ИСО 6507-4-2009ГОСТ Р ИСО 6507-4-2009ГОСТ Р ИСО 6507-4-2009ГОСТ Р ИСО 6507-4-2009ГОСТ Р ИСО 6507-4-2009ГОСТ Р ИСО 6507-4-2009ГОСТ Р ИСО 6507-4-2009ГОСТ Р ИСО 6507-4-2009ГОСТ Р ИСО 6507-4-2009ГОСТ Р ИСО 6507-4-2009ГОСТ Р ИСО 6507-4-2009ГОСТ Р ИСО 6507-4-2009ГОСТ Р ИСО 6507-4-2009ГОСТ Р ИСО 6507-4-2009ГОСТ Р ИСО 6507-4-2009ГОСТ Р ИСО 6507-4-2009ГОСТ Р ИСО 6507-4-2009ГОСТ Р ИСО 6507-4-2009ГОСТ Р ИСО 6507-4-2009ГОСТ Р ИСО 6507-4-2009ГОСТ Р ИСО 6507-4-2009ГОСТ Р ИСО 6507-4-2009ГОСТ Р ИСО 6507-4-2009ГОСТ Р ИСО 6507-4-2009ГОСТ Р ИСО 6507-4-2009ГОСТ Р ИСО 6507-4-2009ГОСТ Р ИСО 6507-4-2009ГОСТ Р ИСО 6507-4-2009ГОСТ Р ИСО 6507-4-2009ГОСТ Р ИСО 6507-4-2009ГОСТ Р ИСО 6507-4-2009ГОСТ Р ИСО 6507-4-2009ГОСТ Р ИСО 6507-4-2009ГОСТ Р ИСО 6507-4-2009ГОСТ Р ИСО 6507-4-2009ГОСТ Р ИСО 6507-4-2009ГОСТ Р ИСО 6507-4-2009ГОСТ Р ИСО 6507-4-2009ГОСТ Р ИСО 6507-4-2009ГОСТ Р ИСО 6507-4-2009ГОСТ Р ИСО 6507-4-2009ГОСТ Р ИСО 6507-4-2009ГОСТ Р ИСО 6507-4-2009ГОСТ Р ИСО 6507-4-2009ГОСТ Р ИСО 6507-4-2009ГОСТ Р ИСО 6507-4-2009ГОСТ Р ИСО 6507-4-2009ГОСТ Р ИСО 6507-4-2009ГОСТ Р ИСО 6507-4-2009ГОСТ Р ИСО 6507-4-2009ГОСТ Р ИСО 6507-4-2009ГОСТ Р ИСО 6507-4-2009ГОСТ Р ИСО 6507-4-2009ГОСТ Р ИСО 6507-4-2009ГОСТ Р ИСО 6507-4-2009ГОСТ Р ИСО 6507-4-2009ГОСТ Р ИСО 6507-4-2009ГОСТ Р ИСО 6507-4-2009ГОСТ Р ИСО 6507-4-2009ГОСТ Р ИСО 6507-4-2009ГОСТ Р ИСО 6507-4-2009ГОСТ Р ИСО 6507-4-2009ГОСТ Р ИСО 6507-4-2009ГОСТ Р ИСО 6507-4-2009ГОСТ Р ИСО 6507-4-2009ГОСТ Р ИСО 6507-4-2009ГОСТ Р ИСО 6507-4-2009ГОСТ Р ИСО 6507-4-2009ГОСТ Р ИСО 6507-4-2009ГОСТ Р ИСО 6507-4-2009

© 2013 Ёшкин Кот :-) Карта сайта