Информационная система
«Ёшкин Кот»

Скачать базу одним архивом
Скачать обновления
История создания базы
Карта сайта

Скачать ГОСТ Р 52867-2007 Экологический менеджмент. Оценка жизненного цикла. Примеры применения ГОСТ Р ИСО 14041 для определения цели, области исследования и проведения инвентаризационного анализа

Дата актуализации: 10.08.2017

ГОСТ Р 52867-2007

Экологический менеджмент. Оценка жизненного цикла. Примеры применения ГОСТ Р ИСО 14041 для определения цели, области исследования и проведения инвентаризационного анализа

Обозначение: ГОСТ Р 52867-2007
Обозначение англ: GOST R 52867-2007
Статус:действует
Название рус.:Экологический менеджмент. Оценка жизненного цикла. Примеры применения ГОСТ Р ИСО 14041 для определения цели, области исследования и проведения инвентаризационного анализа
Название англ.:Management environmental. Life сycle assessment. Еxamples of application of GOST R ISO 14041 to goal and scope definition and inventory analyses
Дата добавления в базу:01.09.2013
Дата актуализации:05.05.2017
Дата введения:01.01.2009
Область применения:В стандарте приведены примеры проведения инвентаризационного анализа жизненного цикла (ИАЖЦ) как средства выполнения определенных положений ГОСТ Р ИСО 14041. Приведенные в стандарте примеры следует рассматривать как возможные способы, а не единственные методы применения ГОСТ Р ИСО 14041. Эти примеры отражают только некоторые этапы исследования ИАЖЦ. Следует заметить, что приведенные примеры не исключают существования многих других примеров, иллюстрируют изложенные методологические вопросы и являются частью полного ИАЖЦ.
Оглавление:1 Область применения
2 Общие положения
3 Примеры разработки функций, функциональных единиц и базовых потоков
4 Примеры различения функций сравнительных систем
5 Примеры определения входов и выходов типовых процессов и границ системы
6 Примеры уклонения от распределения
7 Примеры распределения
8 Примеры применения методов распределения для повторения цикла или операции
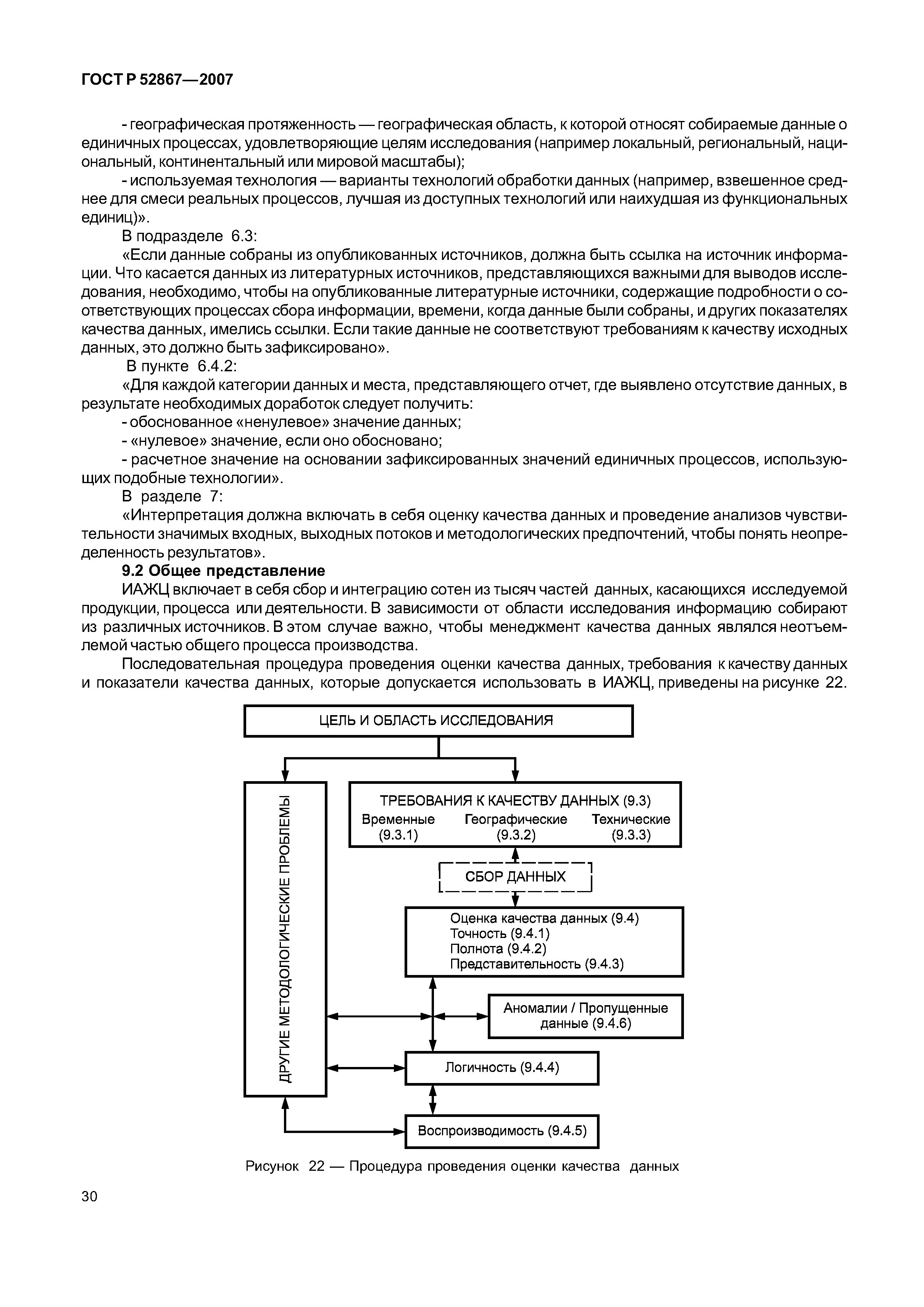
9 Примеры оценки качества данных
10 Примеры проведения анализа чувствительности
Разработан: НИИ ИНТЕРЭКОМС
Утверждён:27.12.2007 Федеральное агентство по техническому регулированию и метрологии (430-ст)
Издан: Стандартинформ (2010 г. )
Расположен в:Техническая документация Электроэнергия ОХРАНА ОКРУЖАЮЩЕЙ СРЕДЫ, ЗАЩИТА ЧЕЛОВЕКА ОТ ВОЗДЕЙСТВИЯ ОКРУЖАЮЩЕЙ СРЕДЫ. БЕЗОПАСНОСТЬ Охрана окружающей среды Окружающая среда и охрана окружающей среды в целом Экология ОХРАНА ОКРУЖАЮЩЕЙ СРЕДЫ, ЗАЩИТА ЧЕЛОВЕКА ОТ ВОЗДЕЙСТВИЯ ОКРУЖАЮЩЕЙ СРЕДЫ. БЕЗОПАСНОСТЬ Охрана окружающей среды Окружающая среда и охрана окружающей среды в целом Автомобильные дороги Экологические разделы проектной документации Демонтаж зданий и сооружений Охрана окружающей среды Реконструкция и строительство Охрана окружающей среды Охрана окружающей среды в целом
Нормативные ссылки:
ГОСТ Р 52867-2007ГОСТ Р 52867-2007ГОСТ Р 52867-2007ГОСТ Р 52867-2007ГОСТ Р 52867-2007ГОСТ Р 52867-2007ГОСТ Р 52867-2007ГОСТ Р 52867-2007ГОСТ Р 52867-2007ГОСТ Р 52867-2007ГОСТ Р 52867-2007ГОСТ Р 52867-2007ГОСТ Р 52867-2007ГОСТ Р 52867-2007ГОСТ Р 52867-2007ГОСТ Р 52867-2007ГОСТ Р 52867-2007ГОСТ Р 52867-2007ГОСТ Р 52867-2007ГОСТ Р 52867-2007ГОСТ Р 52867-2007ГОСТ Р 52867-2007ГОСТ Р 52867-2007ГОСТ Р 52867-2007ГОСТ Р 52867-2007ГОСТ Р 52867-2007ГОСТ Р 52867-2007ГОСТ Р 52867-2007ГОСТ Р 52867-2007ГОСТ Р 52867-2007ГОСТ Р 52867-2007ГОСТ Р 52867-2007ГОСТ Р 52867-2007ГОСТ Р 52867-2007ГОСТ Р 52867-2007ГОСТ Р 52867-2007ГОСТ Р 52867-2007ГОСТ Р 52867-2007ГОСТ Р 52867-2007ГОСТ Р 52867-2007ГОСТ Р 52867-2007ГОСТ Р 52867-2007

© 2013 Ёшкин Кот :-) Карта сайта