Скачать ФССЦ 2001 Часть V. Материалы, изделия и конструкции для монтажных и специальных строительных работ (редакция 2008 года). Материалы, изделия и конструкции для монтажных и специальных строительных работ. Федеральный сборник сметных цен на материалы, изделия и конструкции, применяемые в строительствеДата актуализации: 10.08.2017 ФССЦ 2001
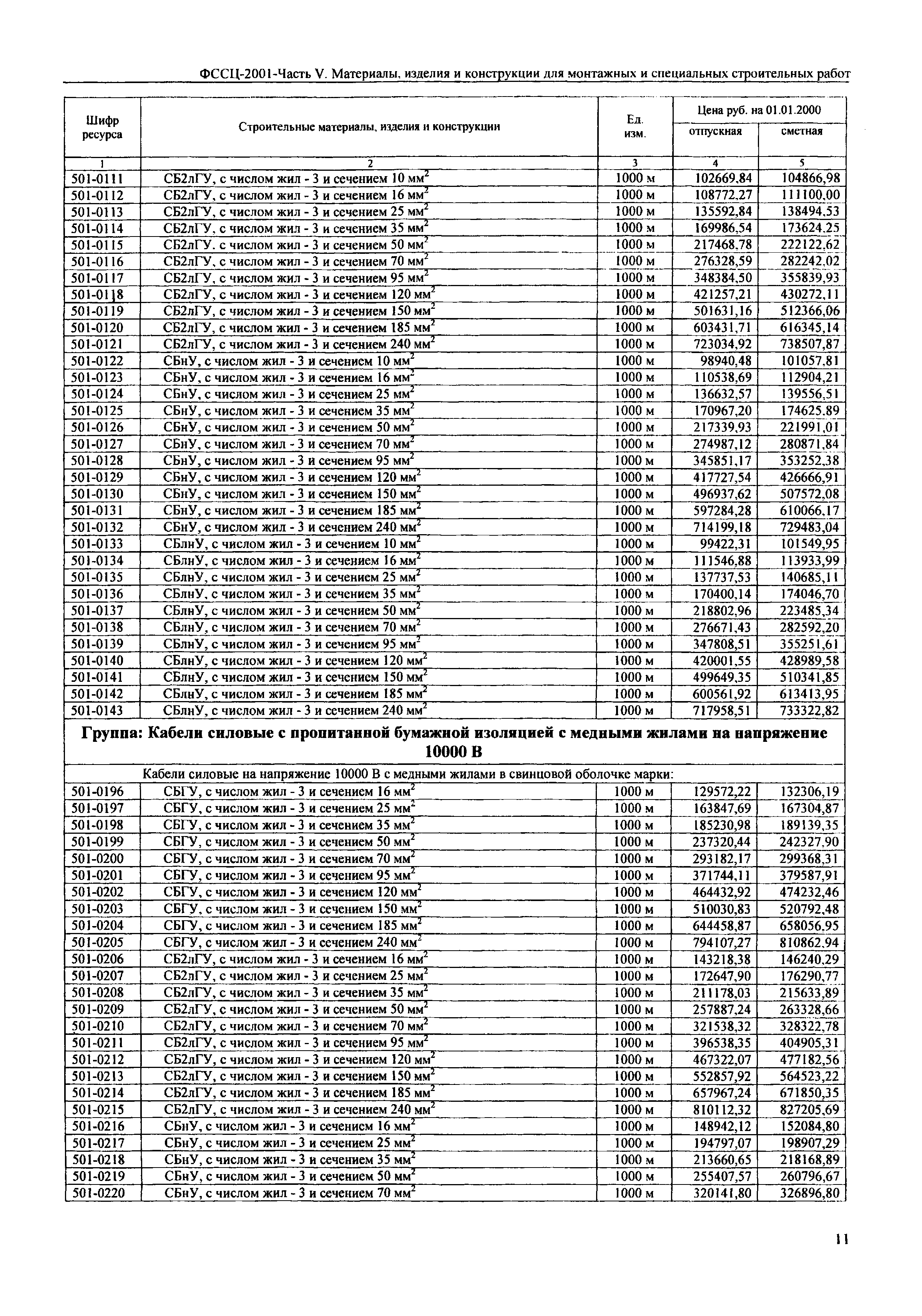
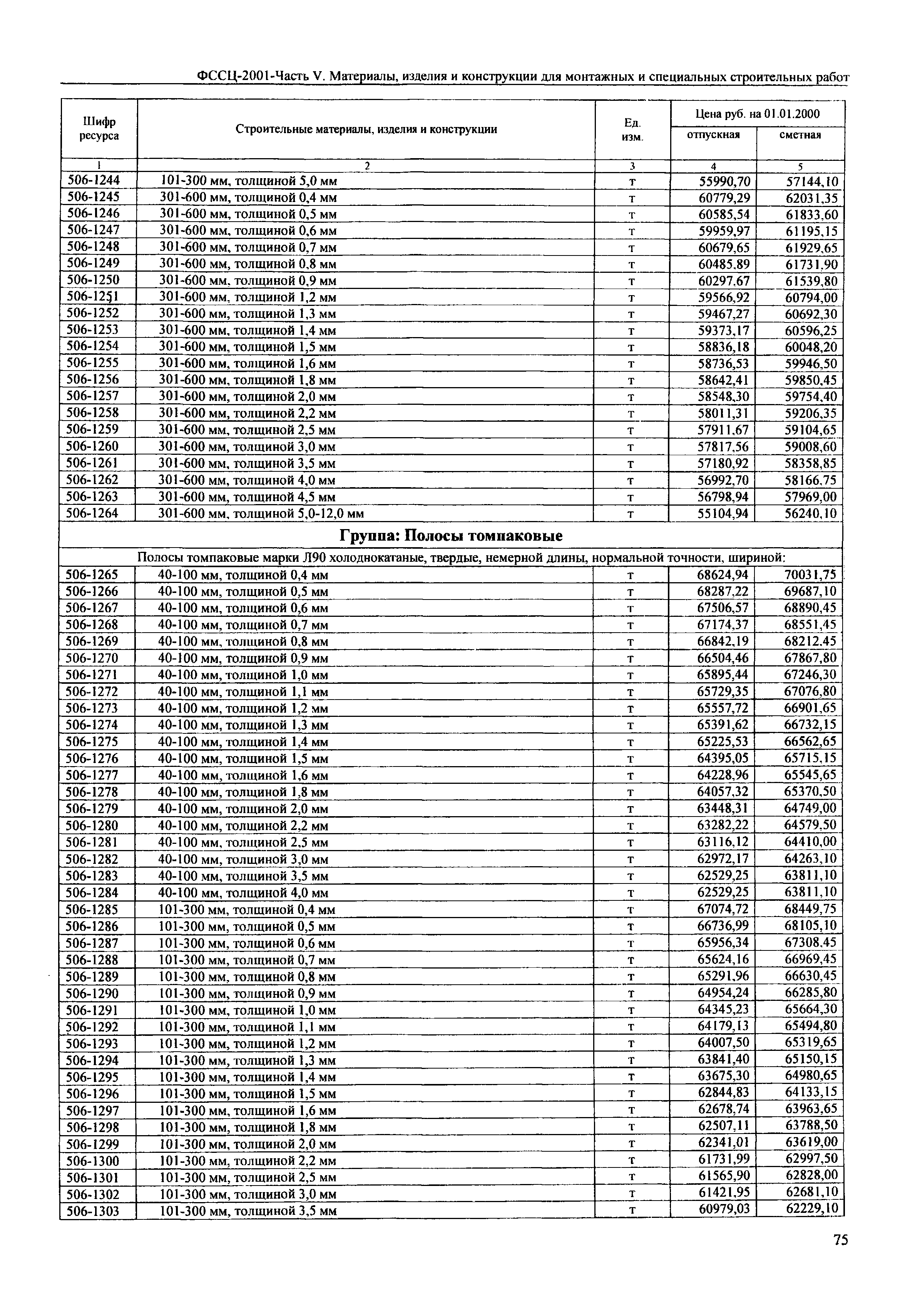
Часть V. Материалы, изделия и конструкции для монтажных и специальных строительных работ (редакция 2008 года). Материалы, изделия и конструкции для монтажных и специальных строительных работ. Федеральный сборник сметных цен на материалы, изделия и конструкции, применяемые в строительствеОбозначение: | ФССЦ 2001 | Обозначение англ: | FSSTs 2001 | Статус: | не действует | Название рус.: | Часть V. Материалы, изделия и конструкции для монтажных и специальных строительных работ (редакция 2008 года). Материалы, изделия и конструкции для монтажных и специальных строительных работ. Федеральный сборник сметных цен на материалы, изделия и конструкции, применяемые в строительстве | Дата добавления в базу: | 01.09.2013 | Дата актуализации: | 05.05.2017 | Область применения: | Федеральные сметные цены на материалы, изделия и конструкции, применяемые в строительстве (ФССЦ) предназначены для определения сметной стоимости строительно-монтажных (ремонтно-строительных) работ, а также при разработке Федеральных единичных расценок на строительные, монтажные и ремонтно-строительные работы | Оглавление: | Общие положения Техническая часть Раздел 5.01 Кабели Кабели силовые Кабели силовые гибкие Кабели контроля Кабели связи низкочастотные Кабели коаксиальные магистральный Кабели высокочастотные дальней и внутризонной связи, кабели радиофикации и сельской телефонной связи Раздел 5.02 Провода, шнуры, шины, проволока и кабельные муфты Провода Шнуры Проволока, шины Муфты кабельные Раздел 5.03 Линейно-кабельные изделия связи Раздел 5.04 Электроконструкции Раздел 5.06 Прокатно-тянутые изделия из цветных металлов и цветные металлы Ленты Проволока Листы и плиты Прутки из цветных металлов Металлы цветные Полосы Сплавы цветных металлов Раздел 5.07 Трубы, арматура и детали трубопроводов Трубы из цветных металлов Трубы коррозийно-стойкие Трубы стальные Трубы из пластических масс Трубы стеклянные Фасонные части Комплекты ответных стальных плоских приварных фланцев к арматуре трубопроводной Соединительные части технологических трубопроводов Узлы технологических трубопроводов из углеродистых и легированных сталей на Ру 10 МПа (100 кгс/см2) Детали трубопроводов Раздел 5.08 Канаты стальные Канаты круглые Канаты закрытые несущие Канаты плоские Канаты стальные по техническим условиям Раздел 5.09 Прочие материалы Изделия специального назначения Аппаратура электрическая низковольтная Источники света Электроизоляционные изделия Асбестовые технические изделия Химическая продукция и нефтепродукты Материалы для магистральных нефтепроводов Алфавитный указатель | Разработан: | Федеральный центр ценообразования в строительстве и промышленности строительных материалов
| Утверждён: | 25.12.2002 Госстрой России (Russian Federation Gosstroy 165) 08.08.2007 Росстрой (СК-2919/02)
| Издан: | Росстрой (2008 г. )
| Расположен в: |
| Нормативные ссылки: |   ГОСТ 1779-83 «Шнуры асбестовые. Технические условия» Письмо СК-2919/02 «Перечень сборников изменений к ГЭСН-2001, ГЭСНр-2001, ГЭСНм-2001, ГЭСНп-2001, ГЭСНмр-2001, ФЕР-2001, ФЕРр-2001, ФЕРм-2001, ФЕРп-2001, ФЕРмр-2001, ФССЦ-2001 и ФСЭМ-2001»  ГОСТ 434-78 «Проволока прямоугольного сечения и шины медные для электротехнических целей. Технические условия»  ГОСТ Р 50838-95 «Трубы из полиэтилена для газопроводов. Технические условия»  ГОСТ 18599-2001 «Трубы напорные из полиэтилена. Технические условия»
|
                                                                                                                                                                                                                                                                                                                       
|