| ||||||||||||||||||||||||||||||||
Скачать ФССЦ 04-2001 Часть 4. Бетонные, железобетонные и керамические изделия. Нерудные материалы. Товарные бетоны и размеры (редакция 2010 года). Бетонные, железобетонные и керамические изделия. Нерудные материалы. Товарные бетоны и растворы. Федеральный сборник сметных цен на материалы, изделия и конструкции, применяемые в строительствеДата актуализации: 10.08.2017
|
| Обозначение: | ФССЦ 04-2001 |
| Обозначение англ: | FSSTs 04-2001 |
| Статус: | утратил силу |
| Название рус.: | Часть 4. Бетонные, железобетонные и керамические изделия. Нерудные материалы. Товарные бетоны и размеры (редакция 2010 года). Бетонные, железобетонные и керамические изделия. Нерудные материалы. Товарные бетоны и растворы. Федеральный сборник сметных цен на материалы, изделия и конструкции, применяемые в строительстве |
| Дата добавления в базу: | 01.09.2013 |
| Дата актуализации: | 05.05.2017 |
| Дата введения: | 11.10.2013 |
| Область применения: | Федеральные сметные цены на материалы, изделия и конструкции, применяемые в строительстве (ФССЦ) предназначены для определения сметной стоимости строительно-монтажных (ремонтно-строительных) работ, а также при разработке Федеральных единичных расценок на строительные, монтажные и ремонтно-строительные работы. |
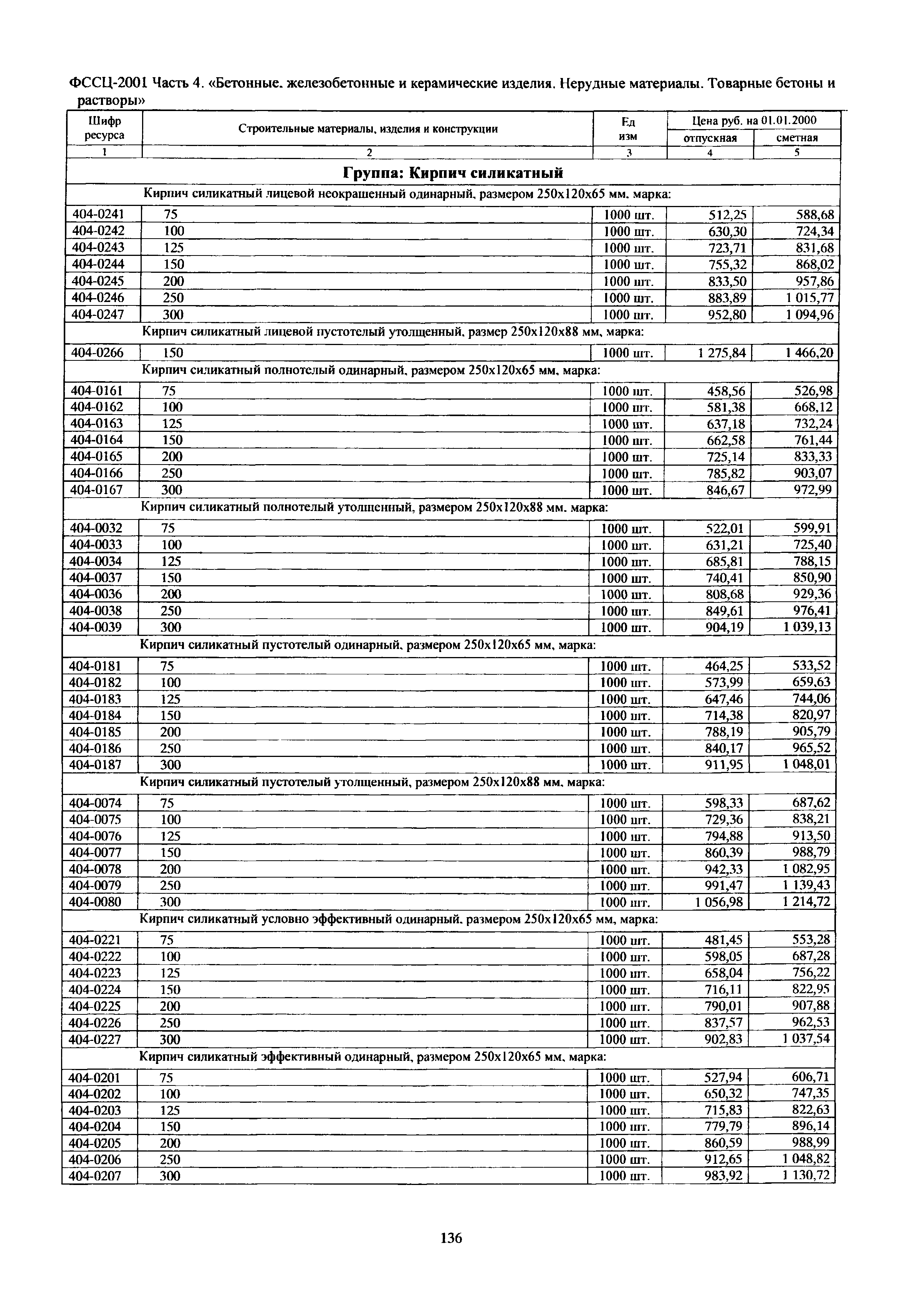
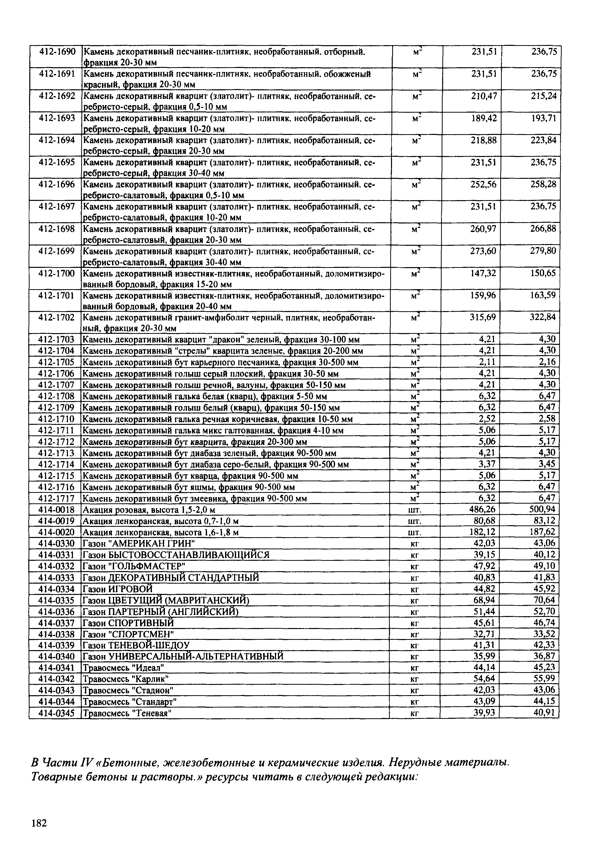
| Оглавление: | Часть 4. Бетонные, железобетонные и керамические изделия. Нерудные материалы. Товарные бетоны и размеры Раздел 4.01 Бетоны Подраздел: Бетоны готовые к употреблению Подраздел: Сухие бетонные смеси Раздел 4.02 Растворы строительные Подраздел: Растворы готовые к употреблению Подраздел: Сухие растворные смеси Раздел 4.03 Бетонные и железобетонные изделия Подраздел: Бетонные изделия Подраздел: Железобетонные изделия Раздел 4.04 Кирпич, камни, черепица Подраздел: Кирпич Подраздел: Камни, черепица Раздел 4.05 Известь и гипсовые вяжущие Раздел 4.06 Заполнители керамзитовые, шунгизитовые, аглопоритовые и другие Раздел 4.07 Земля, глина, торф, грунт, грунтовые смеси Раздел 4.08 Щебень, гравий, песок и смеси из природных материалов Подраздел: Щебень, гравий Подраздел: Песок Подраздел: Смеси Подраздел: Материалы из отсевов дробления изверженных и осадочных горных пород Раздел 4.90 Щебень, песок, шлак и смеси из металлургических шлаков Раздел 4.10 Продукция асфальтобетонная и асфальтобитумная Подраздел: Материалы Подраздел: Смеси асфальтобетонные дорожные, аэродромные и асфальтобетон Подраздел: Асфальт литой Раздел 4.11 Вода, пар, сжатый воздух, электроэнергия Раздел 4.12 Изделия облицовочные из природного камня Подраздел: Изделия архитектурно-строительные Подраздел: Плиты декоративные на основе природного камня Раздел 4.13 Камни бортовые и стеновые из природного камня Раздел 4.14 Материалы для озеленения Раздел 4.15 Гипсовые и цементные изделия Алфавитный указатель |
| Разработан: | Федеральный центр ценообразования в строительстве и промышленности строительных материалов |
| Утверждён: | 28.07.2009 Министерство регионального развития Российской Федерации (308) |
| Издан: | ФГУ Федеральный центр ценообразования в строительстве и промышленности строительных материалов (2010 г. ) |
| Расположен в: | |
| Список изменений: |
|





































































































































































































































































































































Текстовое изменение № от 04.03.2010



























































Текстовое изменение № И1 от 03.08.2010



























































Текстовое изменение № И2 от 15.12.2010












Текстовое изменение № И3 от 21.07.2011








Текстовое изменение № И4 от 11.11.2011









Текстовое изменение № И5 от 29.12.2011




















Текстовое изменение № И6 от 05.05.2012





























Текстовое изменение № И7 от 29.06.2012








