Информационная система
«Ёшкин Кот»

Скачать базу одним архивом
Скачать обновления
История создания базы
Карта сайта

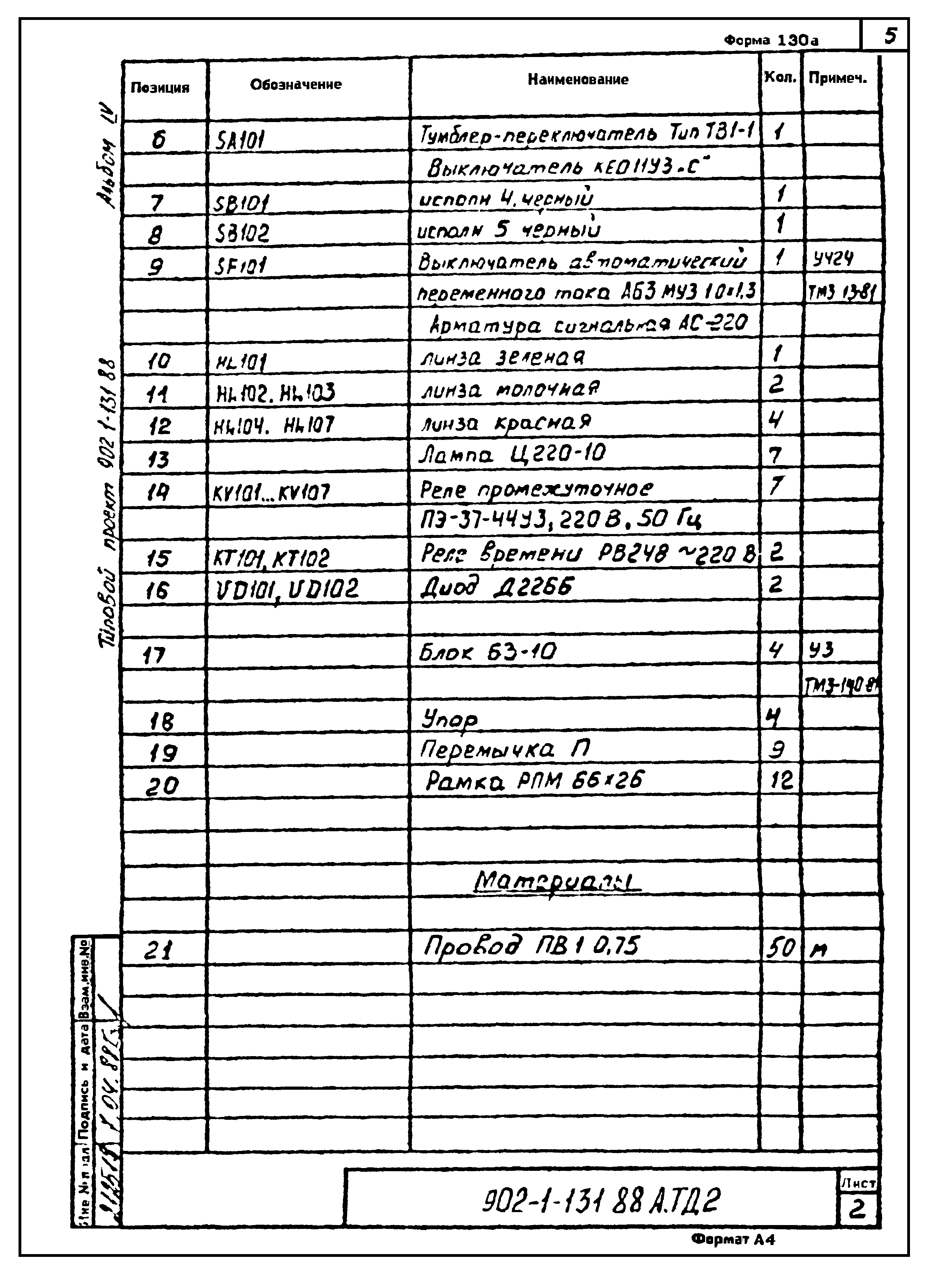
Скачать Типовой проект 902-1-131.88 Альбом IV. Задание заводу-изготовителю на щиты автоматики

Дата актуализации: 10.08.2017

Типовой проект 902-1-131.88

Альбом IV. Задание заводу-изготовителю на щиты автоматики

Обозначение: Типовой проект 902-1-131.88
Обозначение англ: 902-1-131.88
Статус:не определен законодательством
Название рус.:Альбом IV. Задание заводу-изготовителю на щиты автоматики
Дата добавления в базу:01.09.2013
Дата актуализации:05.05.2017
Дата введения:13.01.1988
Оглавление:ТП 902-1-131.88-А.ТД1 Задание заводу на щиты
ТП 902-1-131.88-А.ТД2 Щит управления. Общий вид
ТП 902-1-131.88-А.ТД3 Щит управления. Таблица соединений
ТП 902-1-131.88-А.ТД4 Щит управления. Таблица подключения
ТП 902-1-131.88-А.СО2 Спецификация щитов
Разработан: СПКБ Проектнефтегазспецмонтаж
Утверждён:13.01.1988 Миннефтегазстрой (Minneftegazstroy 13)
Расположен в:Техническая документация Строительство Справочные документы Типовые строительные конструкции, изделия и узлы Общероссийский строительный каталог Промышленные предприятия, здания и сооружения Здания и сооружения санитарно-технические Канализация Станции насосные Комплектно-блочные канализационные насосные станции
Заменяет собой:
Типовой проект 902-1-131.88Типовой проект 902-1-131.88Типовой проект 902-1-131.88Типовой проект 902-1-131.88Типовой проект 902-1-131.88Типовой проект 902-1-131.88Типовой проект 902-1-131.88Типовой проект 902-1-131.88Типовой проект 902-1-131.88Типовой проект 902-1-131.88Типовой проект 902-1-131.88Типовой проект 902-1-131.88Типовой проект 902-1-131.88Типовой проект 902-1-131.88Типовой проект 902-1-131.88Типовой проект 902-1-131.88Типовой проект 902-1-131.88Типовой проект 902-1-131.88Типовой проект 902-1-131.88Типовой проект 902-1-131.88Типовой проект 902-1-131.88

© 2013 Ёшкин Кот :-) Карта сайта