Информационная система
«Ёшкин Кот»

Скачать базу одним архивом
Скачать обновления
История создания базы
Карта сайта

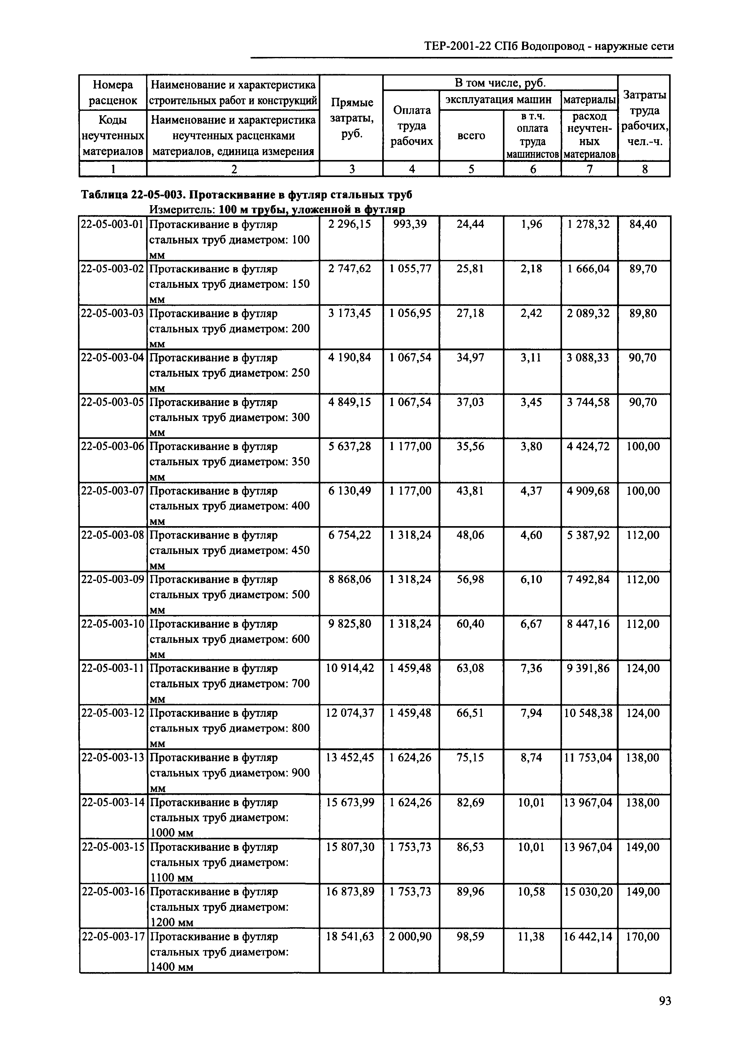
Скачать ТЕР 2001-22 СПб Сборник № 22. Водопровод - наружные сети

Дата актуализации: 10.08.2017

ТЕР 2001-22 СПб

Сборник № 22. Водопровод - наружные сети

Обозначение: ТЕР 2001-22 СПб
Обозначение англ: TER 2001-22 СПб
Статус:не действует
Название рус.:Сборник № 22. Водопровод - наружные сети
Дата добавления в базу:01.09.2013
Дата актуализации:05.05.2017
Область применения:Территориальные единичные расценки предназначены для определения прямых затрат в сметной стоимости строительных работ по строительству наружных сетей водопровода, а также для расчетов за выполненные работы.
Оглавление:Техническая часть
Раздел 01. Укладка трубопроводов
   01. Трубы асбестоцементные
   02. Трубы чугунные
   03. Трубы стальные
   04. Трубы железобетонные
   05. Трубы полиэтиленовые
Раздел 02. Антикоррозийная изоляция стальных трубопроводов
Раздел 03. Установка арматуры
   01. Фасонные части
   02. Задвижки, клапаны
   03. Вантузы, гидранты, колонки водоразборные
   04. Фланцы
Раздел 04. Колодцы водопроводные
Раздел 05. Бестраншейная прокладка труб
Раздел 06. Прочие работы
   01. Промывка трубопроводов
   02. Врезка штуцеров в существующие трубопроводы
   03. Сопутствующие работы
Приложение 1
Разработан: Центр мониторинга и экспертизы цен
Утверждён:07.09.2001 Комитет экономического развития, промышленной политики и торговли Администрации Санкт-Петербурга (223)
26.11.2007 Комитет экономического развития, промышленной политики и торговли Администрации Санкт-Петербурга (495-р)
20.12.2007 Комитет экономического развития, промышленной политики и торговли Администрации Санкт-Петербурга (582-р)
Издан: Центр мониторинга и экспертизы цен (2008 г. )
Расположен в:Техническая документация Строительство Нормативные документы Нормативные документы субъектов Российской Федерации Нормативные документы г. Санкт-Петербурга
Список изменений:
Заменяет собой:
ТЕР 2001-22 СПбТЕР 2001-22 СПбТЕР 2001-22 СПбТЕР 2001-22 СПбТЕР 2001-22 СПбТЕР 2001-22 СПбТЕР 2001-22 СПбТЕР 2001-22 СПбТЕР 2001-22 СПбТЕР 2001-22 СПбТЕР 2001-22 СПбТЕР 2001-22 СПбТЕР 2001-22 СПбТЕР 2001-22 СПбТЕР 2001-22 СПбТЕР 2001-22 СПбТЕР 2001-22 СПбТЕР 2001-22 СПбТЕР 2001-22 СПбТЕР 2001-22 СПбТЕР 2001-22 СПбТЕР 2001-22 СПбТЕР 2001-22 СПбТЕР 2001-22 СПбТЕР 2001-22 СПбТЕР 2001-22 СПбТЕР 2001-22 СПбТЕР 2001-22 СПбТЕР 2001-22 СПбТЕР 2001-22 СПбТЕР 2001-22 СПбТЕР 2001-22 СПбТЕР 2001-22 СПбТЕР 2001-22 СПбТЕР 2001-22 СПбТЕР 2001-22 СПбТЕР 2001-22 СПбТЕР 2001-22 СПбТЕР 2001-22 СПбТЕР 2001-22 СПбТЕР 2001-22 СПбТЕР 2001-22 СПбТЕР 2001-22 СПбТЕР 2001-22 СПбТЕР 2001-22 СПбТЕР 2001-22 СПбТЕР 2001-22 СПбТЕР 2001-22 СПбТЕР 2001-22 СПбТЕР 2001-22 СПбТЕР 2001-22 СПбТЕР 2001-22 СПбТЕР 2001-22 СПбТЕР 2001-22 СПбТЕР 2001-22 СПбТЕР 2001-22 СПбТЕР 2001-22 СПбТЕР 2001-22 СПбТЕР 2001-22 СПбТЕР 2001-22 СПбТЕР 2001-22 СПбТЕР 2001-22 СПбТЕР 2001-22 СПбТЕР 2001-22 СПбТЕР 2001-22 СПбТЕР 2001-22 СПбТЕР 2001-22 СПбТЕР 2001-22 СПбТЕР 2001-22 СПбТЕР 2001-22 СПбТЕР 2001-22 СПбТЕР 2001-22 СПбТЕР 2001-22 СПбТЕР 2001-22 СПбТЕР 2001-22 СПбТЕР 2001-22 СПбТЕР 2001-22 СПбТЕР 2001-22 СПбТЕР 2001-22 СПбТЕР 2001-22 СПбТЕР 2001-22 СПбТЕР 2001-22 СПбТЕР 2001-22 СПбТЕР 2001-22 СПбТЕР 2001-22 СПбТЕР 2001-22 СПбТЕР 2001-22 СПбТЕР 2001-22 СПбТЕР 2001-22 СПбТЕР 2001-22 СПбТЕР 2001-22 СПбТЕР 2001-22 СПбТЕР 2001-22 СПбТЕР 2001-22 СПбТЕР 2001-22 СПбТЕР 2001-22 СПбТЕР 2001-22 СПбТЕР 2001-22 СПбТЕР 2001-22 СПбТЕР 2001-22 СПбТЕР 2001-22 СПбТЕР 2001-22 СПбТЕР 2001-22 СПбТЕР 2001-22 СПбТЕР 2001-22 СПбТЕР 2001-22 СПбТЕР 2001-22 СПбТЕР 2001-22 СПбТЕР 2001-22 СПбТЕР 2001-22 СПбТЕР 2001-22 СПбТЕР 2001-22 СПбТЕР 2001-22 СПбТЕР 2001-22 СПбТЕР 2001-22 СПбТЕР 2001-22 СПб

Текстовое изменение № 1 от 01.10.2008

№ 1№ 1№ 1№ 1№ 1№ 1

Текстовое изменение № 1 от 01.07.2008

№ 1№ 1№ 1№ 1№ 1№ 1№ 1

© 2013 Ёшкин Кот :-) Карта сайта