| ||||||||||||||||||||||||||||
Скачать ФЕР 2001-24 Теплоснабжение и газопроводы - наружные сети. Книга 1 (редакция 2003 г.). Теплоснабжение и газопроводы - наружные сети. Федеральные единичные расценки на строительные работыДата актуализации: 10.08.2017
|
| Обозначение: | ФЕР 2001-24 |
| Обозначение англ: | FER 2001-24 |
| Статус: | действует |
| Название рус.: | Теплоснабжение и газопроводы - наружные сети. Книга 1 (редакция 2003 г.). Теплоснабжение и газопроводы - наружные сети. Федеральные единичные расценки на строительные работы |
| Дата добавления в базу: | 01.09.2013 |
| Дата актуализации: | 05.05.2017 |
| Область применения: | Документ предназначен для определения прямых затрат в сметной стоимости строительных работ по строительству наружных сетей теплоснабжения, а также для расчетов за выполненные работы. |
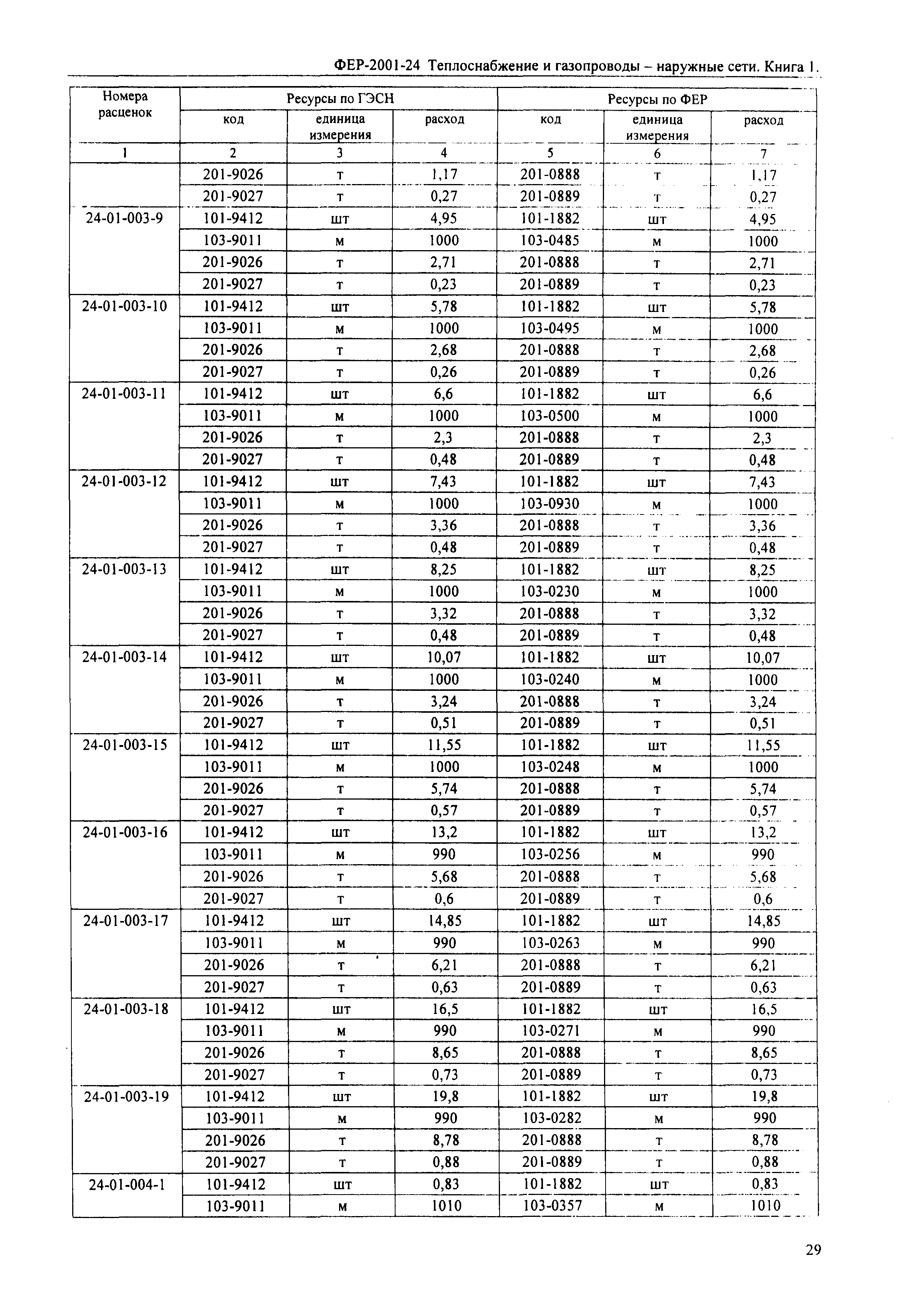
| Оглавление: | Техническая часть 1. Общие указания Техническая часть 1 раздела 1. Общие указания 2. Правила определения объемов работ 3. Коэффициенты к единичным расценкам Техническая часть 3 раздела 1. Общие указания 2. Правила определения объемов работ Раздел 01. Теплоснабжение-наружные сети 1. Трубопроводы в каналах и надземные 2. Бесканальная прокладка трубопроводов 3. Установка компенсаторов 4. Установка задвижек или клапанов стальных, вентилей и клапанов обратных муфтовых, грязевиков Раздел 03. Золошлакопроводы Приложение 1. Сметные расценки на эксплуатацию строительных машин и механизмов Приложение 2. Показатели часовой оплаты труда рабочих-строителей в зависимости от среднего разряда работ Приложение 3. Сметные цены на материалы, изделия и конструкции Таблица замены ресурсов |
| Разработан: | ГУ Московской области Центр Государственной вневедомственной экспертизы и ценообразования в строительстве ( Мособлгосэкспертиза ) |
| Утверждён: | 15.10.2002 Госстрой России (Russian Federation Gosstroy 129) |
| Издан: | Госстрой России (2003 г. ) |
| Расположен в: |




















































