| ||||||||||||||||||||||
Скачать ФЕР 2001-20 Вентиляция и кондиционирование воздуха (редакция 2008 г.). Вентиляция и кондиционирование воздуха. Федеральные единичные расценки на строительные работыДата актуализации: 10.08.2017
|
| Обозначение: | ФЕР 2001-20 |
| Обозначение англ: | FER 2001-20 |
| Статус: | не действует |
| Название рус.: | Вентиляция и кондиционирование воздуха (редакция 2008 г.). Вентиляция и кондиционирование воздуха. Федеральные единичные расценки на строительные работы |
| Дата добавления в базу: | 01.09.2013 |
| Дата актуализации: | 05.05.2017 |
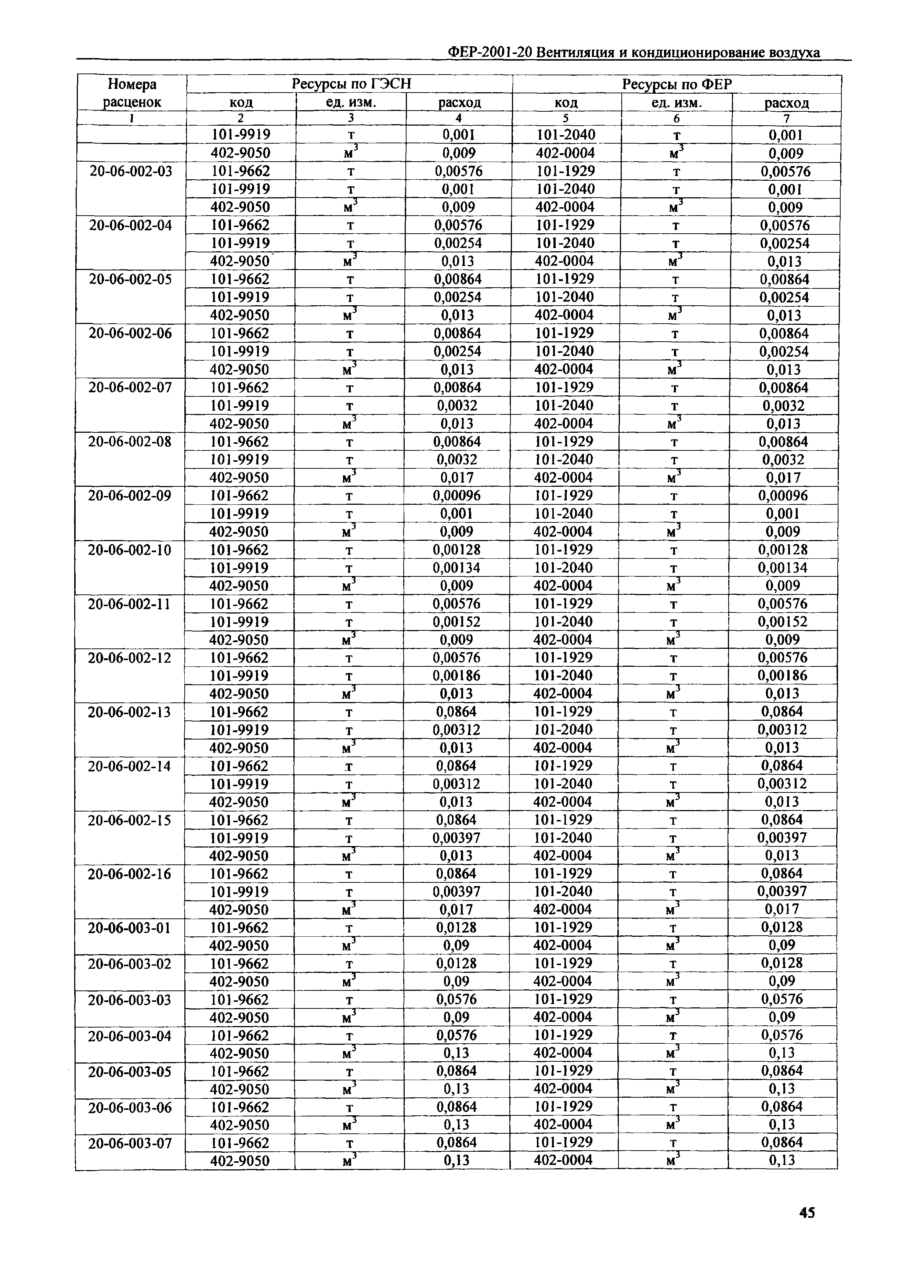
| Оглавление: | Техническая часть Раздел 1. Воздуховоды металлические Раздел 2. Конструктивные элементы монтажа систем вентиляции и кондиционирования воздуха Раздел 3. Вентиляторы Раздел 4. Калориферы Раздел 5. Фильтрующие устройства Раздел 6. Кондиционеры Приложение 1. Показатели часовой оплаты труда рабочих-строителей в зависимости от среднего разряда работ Приложение 2. Сметные расценки на эксплуатацию строительных машин и механизмов Приложение 3. Сметные цены на материалы, изделия и конструкции Приложение 4. Таблица замены ресурсов |
| Расположен в: | |
| Нормативные ссылки: |




















































