Информационная система
«Ёшкин Кот»

Скачать базу одним архивом
Скачать обновления
История создания базы
Карта сайта

Скачать РД 39-0147103-342-89 Методика оценки эксплуатационных параметров насосных агрегатов нефтеперекачивающих станций магистральных нефтепроводов

Дата актуализации: 10.08.2017

РД 39-0147103-342-89

Методика оценки эксплуатационных параметров насосных агрегатов нефтеперекачивающих станций магистральных нефтепроводов

Обозначение: РД 39-0147103-342-89
Обозначение англ: RD 39-0147103-342-89
Статус:действует
Название рус.:Методика оценки эксплуатационных параметров насосных агрегатов нефтеперекачивающих станций магистральных нефтепроводов
Дата добавления в базу:01.09.2013
Дата актуализации:05.05.2017
Дата введения:01.01.1989
Область применения:Методика предназначена для диагностирования и прогнозирования общего технического состояния насосных агрегатов, нефтеперекачивающих станций, перехода к техническому обслуживанию и ремонту по фактическому техническому состоянию.
Оглавление:1. Общие положения
2. Исходные данные
3. Средства измерения и аппаратура
4. Условия выполнения измерений параметров
5. Метод диагностирования технического состояния насосного агрегата
6. Этапы проведения диагностирования технического состояния насосного агрегата
7. Сбор и статическая обработка параметров для получения базовых и фактических характеристик насосного агрегата
8. Пересчет усредненных параметров насоса при изменении вязкости нефти, частоты вращения ротора и наружного диаметра рабочего колеса
9. Получение базовых характеристик
10. Проведение диагностирования общего технического состояния насосного агрегата
11. Прогнозирование технического состояния насосного агрегата
12. Оформление результатов диагностирования
Список использованных источников
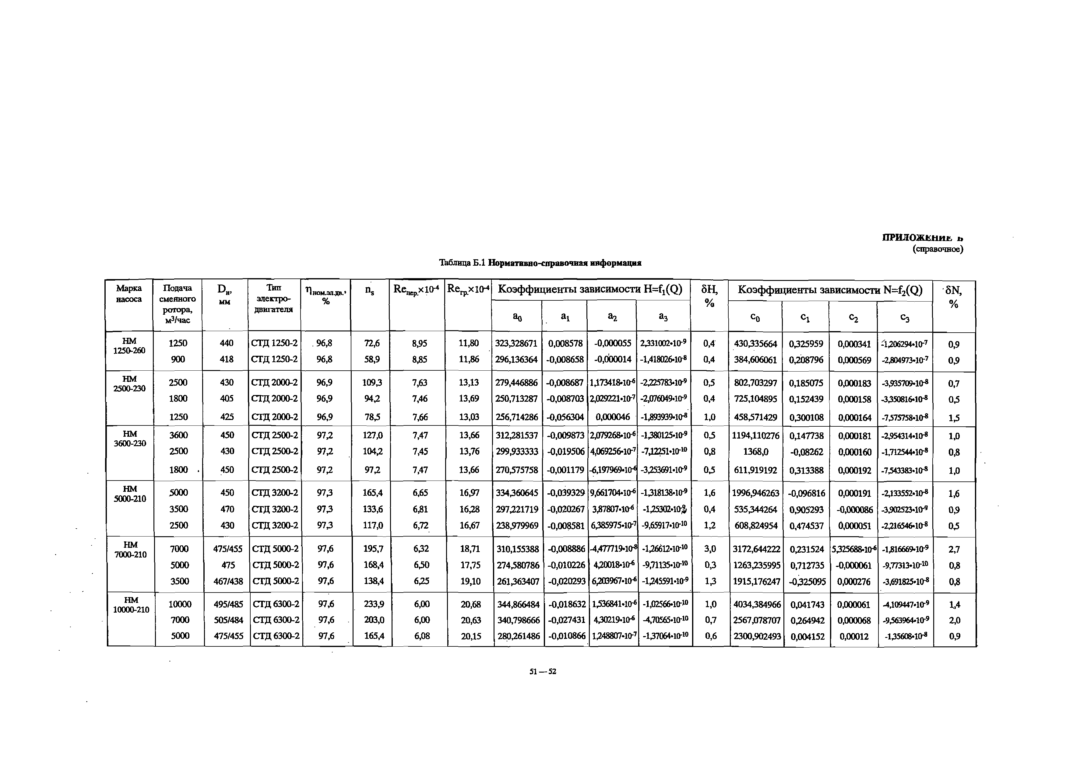
Приложение
Разработан: ВНИИСПТнефть
Утверждён:24.09.1987 Главтранснефть (Glavtransneft )
Расположен в:Техническая документация Экология ДОБЫЧА И ПЕРЕРАБОТКА НЕФТИ, ГАЗА И СМЕЖНЫЕ ПРОИЗВОДСТВА Оборудование для нефтяной и газовой промышленности Оборудование для нефтяной и газовой промышленности в целом Строительство Нормативные документы Отраслевые и ведомственные нормативно-методические документы Проектирование и строительство объектов нефтяной и газовой промышленности
Нормативные ссылки:
РД 39-0147103-342-89РД 39-0147103-342-89РД 39-0147103-342-89РД 39-0147103-342-89РД 39-0147103-342-89РД 39-0147103-342-89РД 39-0147103-342-89РД 39-0147103-342-89РД 39-0147103-342-89РД 39-0147103-342-89РД 39-0147103-342-89РД 39-0147103-342-89РД 39-0147103-342-89РД 39-0147103-342-89РД 39-0147103-342-89РД 39-0147103-342-89РД 39-0147103-342-89РД 39-0147103-342-89РД 39-0147103-342-89РД 39-0147103-342-89РД 39-0147103-342-89РД 39-0147103-342-89РД 39-0147103-342-89РД 39-0147103-342-89РД 39-0147103-342-89РД 39-0147103-342-89РД 39-0147103-342-89РД 39-0147103-342-89РД 39-0147103-342-89РД 39-0147103-342-89РД 39-0147103-342-89РД 39-0147103-342-89РД 39-0147103-342-89РД 39-0147103-342-89РД 39-0147103-342-89РД 39-0147103-342-89РД 39-0147103-342-89РД 39-0147103-342-89РД 39-0147103-342-89РД 39-0147103-342-89РД 39-0147103-342-89РД 39-0147103-342-89РД 39-0147103-342-89РД 39-0147103-342-89РД 39-0147103-342-89РД 39-0147103-342-89РД 39-0147103-342-89РД 39-0147103-342-89РД 39-0147103-342-89РД 39-0147103-342-89РД 39-0147103-342-89РД 39-0147103-342-89РД 39-0147103-342-89РД 39-0147103-342-89РД 39-0147103-342-89РД 39-0147103-342-89РД 39-0147103-342-89РД 39-0147103-342-89РД 39-0147103-342-89РД 39-0147103-342-89РД 39-0147103-342-89РД 39-0147103-342-89РД 39-0147103-342-89РД 39-0147103-342-89РД 39-0147103-342-89РД 39-0147103-342-89РД 39-0147103-342-89РД 39-0147103-342-89РД 39-0147103-342-89РД 39-0147103-342-89РД 39-0147103-342-89РД 39-0147103-342-89РД 39-0147103-342-89

© 2013 Ёшкин Кот :-) Карта сайта