| ||||||||||||||||||||||||||||
Скачать ГЭСН 2001-33 Линии электропередачи. Книга I. Электрические сети напряжением 0,38 - 1150 кВ (редакция 2001 г.). Линии электропередачи. Книга I. Государственные элементные сметные нормы на строительные работыДата актуализации: 10.08.2017
|
| Обозначение: | ГЭСН 2001-33 |
| Обозначение англ: | GESN 2001-33 |
| Статус: | действует |
| Название рус.: | Линии электропередачи. Книга I. Электрические сети напряжением 0,38 - 1150 кВ (редакция 2001 г.). Линии электропередачи. Книга I. Государственные элементные сметные нормы на строительные работы |
| Дата добавления в базу: | 01.09.2013 |
| Дата актуализации: | 05.05.2017 |
| Дата введения: | 01.06.2001 |
| Область применения: | Государственные элементные сметные нормы предназначены для определения потребности в ресурсах (затраты труда рабочих-строителей, строительные машины и механизмы, материалы и изделия) при выполнении работ по строительству электрических сетей напряжением 0,38 - 1150 кВ и составления сметных расчетов (смет) ресурсным методом. |
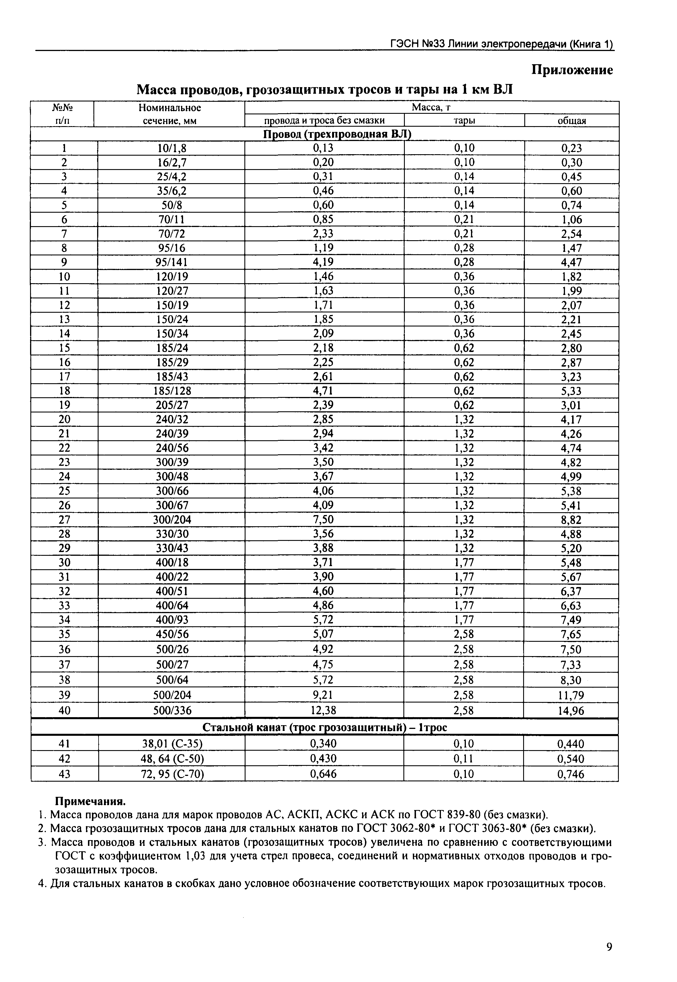
| Оглавление: | Общая часть Техническая часть к разделам 01 - 03 1. Общие указания 2. Правила исчисления объемов работ 3. Коэффициенты к сметным нормам Приложение Масса проводов, грозозащитных тросов и тары на 1 км ВЛ Раздел 01. Воздушные линии электропередачи напряжением 35-1150 кВ 1. Фундаменты из сборных и монолитных железобетонных конструкций под опоры ВЛ 35-1150 кВ Таблица ГЭСН 33-01-001 Установка сборных железобетонных фундаментов под железобетонные центрифугированные опоры ВЛ 35-500 кВ и стальные опоры ВЛ 35-1150 кВ Таблица ГЭСН 33-01-002 Устройство монолитных железобетонных фундаментов под стальные опоры ВЛ 35-1150 кВ 2. Опоры железобетонные центрифугированные ВЛ 35-500 кВ Таблица ГЭСН 33-01-007 Бурение котлованов под железобетонные центрифугированные опоры ВЛ 35-500 кВ Таблица ГЭСН 33-01-008 Установка железобетонных центрифугированных опор ВЛ 35-500 кВ в пробуренные котлованы Таблица ГЭСН 33-01-009 Установка железобетонных центрифугированных опор ВЛ 35-220 кВ в отрытые котлованы Таблица ГЭСН 33-01-010 Установка стальных лестниц на железобетонные центрифугированные опоры ВЛ 35-500 кВ 3. Опоры стальные ВЛ 35-1150 кВ Таблица ГЭСН 33-01-016 Установка стальных опор ВЛ 35-500 кВ Таблица ГЭСН 33-01-017 Установка стальных опор ВЛ 750 и 1150 кВ Таблица ГЭСН 33-01-018 Установка стальных опор ВЛ 35-330 кВ вертолетами 4. Провода и грозозащитные тросы ВЛ 35-750 кВ Таблица ГЭСН 33-01-024 Подвеска проводов ВЛ 35 и 110 кВ без пересечений с препятствиями Таблица ГЭСН 33-01-025 Подвеска проводов ВЛ 220-750 кВ без пересечений с препятствиями Таблица ГЭСН 33-01-026 Подвеска грозозащитных тросов ВЛ 35-750 кВ без пересечений с препятствиями Таблица ГЭСН 33-01-027 Подвеска проводов ВЛ 35-750 кВ между анкерными опорами с пересечением препятствий Таблица ГЭСН 33-01-028 Подвеска проводов ВЛ 35-750 кВ между промежуточными опорами с пересечением препятствий Таблица ГЭСН 33-01-029 Подвеска грозозащитных тросов ВЛ 35-750 кВ между опорами с пересечением препятствий Таблица ГЭСН 33-01-030 Устройство транспозиции проводов ВЛ 750 кВ Таблица ГЭСН 33-01-031 Устройство транспозиции грозозащитных тросов ВЛ 750 кВ Таблица ГЭСН 33-01-032 Выполнение антикоррозионного покрытия грозозащитных тросов ВЛ 35-750 кВ Раздел 02. Открытые распределительные устройства напряжением 35-1150 кВ 1. Фундаменты из сборных железобетонных конструкций ОРУ 35-1150 кВ Таблица ГЭСН 33-02-001 Установка сборных железобетонных фундаментов под порталы и под опоры для оборудования ОРУ 35-1150 кВ 2. Сборные железобетонные конструкции ору 35-1150 кВ Таблица ГЭСН 33-02-007 Установка сборных железобетонных конструкций порталов, опор под оборудование, прожекторных мачт и отдельно стоящих молниеотводов ОРУ 35-1150 кВ 3. Стальные конструкции ОРУ 35-1150 кВ Таблица ГЭСН 33-02-013 Установка стальных конструкций для порталов, крепления оборудования, отдельностоящих прожекторных мачт и молниеотводов ОРУ 35-1150 кВ 4. Рельсовые пути перекатки, пересечения и огнезащитные перегородки для трансформаторов ОРУ 110-1150 кВ Таблица ГЭСН 33-02-019 Укладка продольных рельсовых путей колеи 1520 мм на сборных железобетонных плитах ОРУ 330-1150 кВ Таблица ГЭСН 33-02-020 Укладка поперечных рельсовых путей на сборных железобетонных плитах ОРУ 330-1150 кВ Таблица ГЭСН 33-02-021 Укладка пересечений продольных рельсовых путей колеи 1520 мм с поперечными рельсовыми путями на сборных железобетонных плитах ОРУ 330-1150 кВ Таблица ГЭСН 33-02-022 Установка сборных железобетонных конструкций огнезащитных перегородок для трансформаторов 63 МВА и более ОРУ 110-750 кВ Раздел 03. Другие виды сопутствующих работ на воздушных линиях электропередачи и открытых распределительных устройствах напряжением 35-1150 кВ Таблица ГЭСН 33-03-001 Гидроизоляция сборных железобетонных фундаментов, стоек железобетонных центрифугированных опор и железобетонных порталов ВЛ и ОРУ 35-1150 кВ Таблица ГЭСН 33-03-002 Антикоррозионное покрытие оттяжек опор ВЛ и порталов ОРУ 35-1150 кВ Таблица ГЭСН 33-03-003 Выполнение заземляющих устройств с горизонтальными заземлителями ВЛ 35-750 кВ Таблица ГЭСН 33-03-004 Забивка вертикальных заземлителей ВЛ и ОРУ 35-750 кВ Таблица ГЭСН 33-03-005 Погрузка и выгрузка вручную на трассе ВЛ 35-1150 кВ Таблица ГЭСН 33-03-006 Окраска установленных стальных опор ВЛ 35-330 кВ Таблица ГЭСН 33-03-007 Окраска установленных стальных конструкций железобетонных центрифугированных опор ВЛ 35-500 кВ Таблица ГЭСН 33-03-008 Окраска установленных стальных конструкций ОРУ 35-1150 кВ Раздел 04. Линии электропередачи напряжением 0,38-35 кВ и трансформаторные подстанции Техническая часть 1. Общие указания 2. Правила исчисления объемов работ 3. Коэффициенты к сметным нормам 1. Воздушные линии электропередачи напряжением 0,38-35 кВ Таблица ГЭСН 33-04-001 Установка с помощью механизмов деревянных опор ВЛ 0,38-10 кВ из пропитанных деталей Таблица ГЭСН 33-04-002 Установка вручную деревянных опор ВЛ 0,38,6-10 кВ из пропитанных деталей Таблица ГЭСН 33-04-003 Установка железобетонных опор ВЛ 0,38, 6-10 кВ Таблица ГЭСН 33-04-004 Установка одностоечных опор ВЛ 35 кВ с железо- бетонными вибрированными стойками длиной 16,4 м Таблица ГЭСН 33-04-005 Установка оттяжек к опорам ВЛ Таблица ГЭСН 33-04-006 Установка ригелей настойки и приставки опор ВЛ 0,38-10 кВ Таблица ГЭСН 33-04-007 Установка железобетонных плит и ригелей для опор ВЛ 35 кВ Таблица ГЭСН 33-04-008 Подвеска проводов ВЛ 0,38 кВ Таблица ГЭСН 33-04-009 Подвеска проводов ВЛ 6-10 кВ Таблица ГЭСН 33-04-010 Подвеска проводов и тросов ВЛ 35 кВ Таблица ГЭСН 33-04-011 Подвеска проводов ВЛ 0,38-10 кВ на переходах через препятствия Таблица ГЭСН 33-04-012 Установка деревянных защит для подвески проводов на переходах через препятствия Таблица ГЭСН 33-04-013 Устройство ответвлений от ВЛ 0,38 кВ к зданиям Таблица ГЭСН 33-04-014 Установка светильников Таблица ГЭСН 33-04-015 Устройство заземления опор ВЛ и подстанций Таблица ГЭСН 33-04-016 Развозка конструкций и материалов опор ВЛ 0,38-10 кВ по трассе 2. Трансформа торные подстанции напряжением 10/0,4 кВ и линейное электрооборудование Таблица ГЭСН 33-04-027 Установка столбовых и мачтовых трансформаторных подстанций Таблица ГЭСН 33-04-028 Установка комплектных трансформаторных подстанций шкафного типа мощностью до 250 кВА Таблица ГЭСН 33-04-029 Установка комплектных трансформаторных подстанций киоскового типа мощностью до 630 кВА Таблица ГЭСН 33-04-030 Установка разрядников и разъединителей Таблица ГЭСН 33-04-031 Установка пунктов секционирования 3. Демонтажные работы Таблица ГЭСН 33-04-040 Демонтаж проводов ВЛ 0,38-10 кВ Таблица ГЭСН 33-04-041 Снятие ответвлений ВЛ 0,38 кВ к зданиям Таблица ГЭСН 33-04-042 Демонтаж опор ВЛ 0,38-10 кВ |
| Разработан: | ОАО Институт Энергосетьпроект ОАО РОСЭП |
| Утверждён: | 28.05.2001 Госстрой России (Russian Federation Gosstroy 54) |
| Расположен в: |
































































