| ||||||||||||||||||||||||||||||||
Скачать СанПиН 2.6.1.2523-09 Нормы радиационной безопасности (НРБ-99/2009)Дата актуализации: 10.08.2017
|
| Обозначение: | СанПиН 2.6.1.2523-09 |
| Обозначение англ: | SANPIN 2.6.1.2523-09 |
| Статус: | действует |
| Название рус.: | Нормы радиационной безопасности (НРБ-99/2009) |
| Дата добавления в базу: | 01.09.2013 |
| Дата актуализации: | 05.05.2017 |
| Дата введения: | 01.09.2009 |
| Область применения: | Нормы применяются для обеспечения безопасности человека во всех условиях воздействия на него ионизирующего излучения искусственного или природного происхождения. |
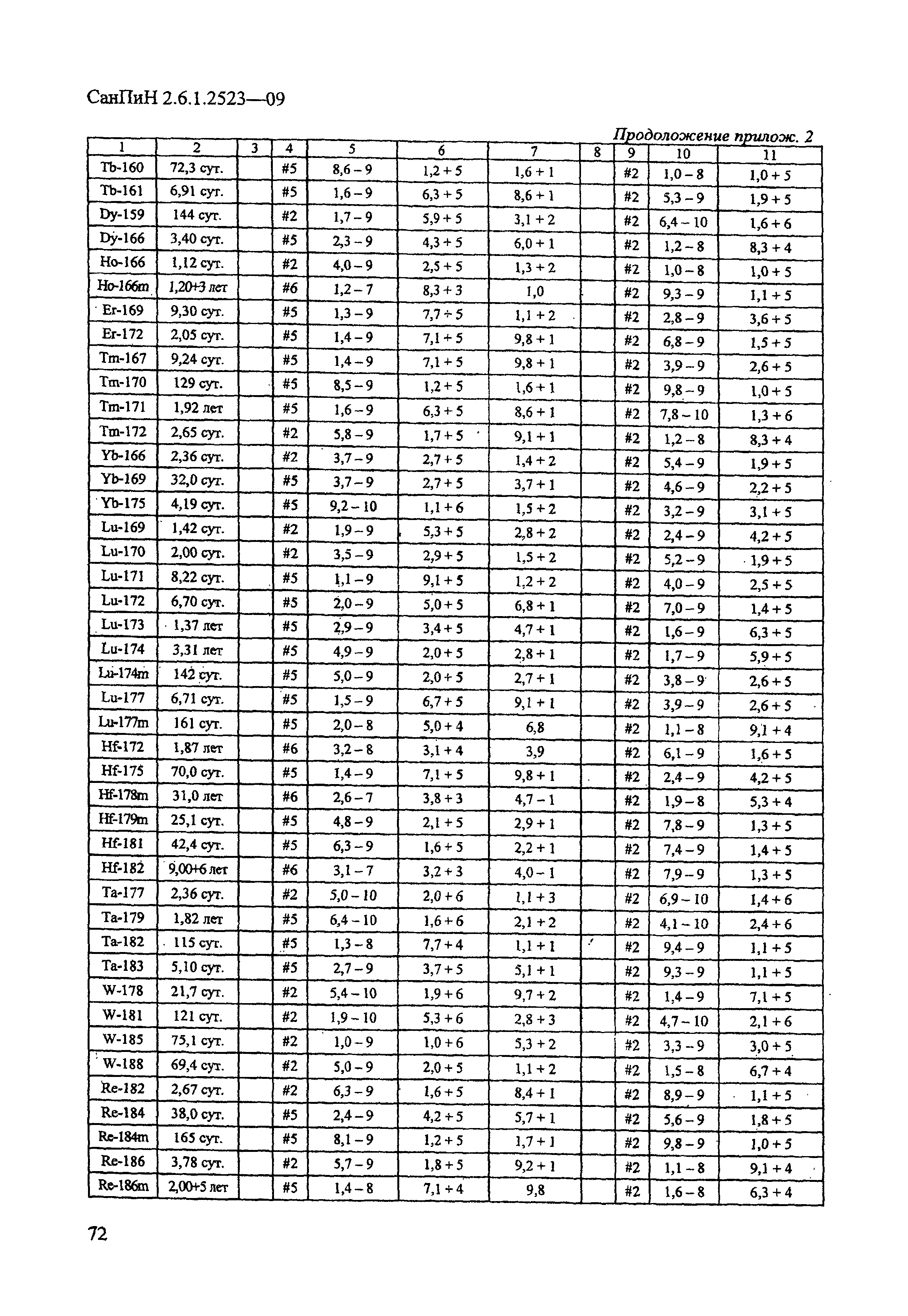
| Оглавление: | 1. Область применения 2. Общие требования 3. Требования к ограничению техногенного облучения в контролируемых условиях 3.1 Нормальные условия эксплуатации источников излучения 3.2 Планируемое повышенное облучение 4. Требования к защите от природного облучения в производственных условиях 5. Требования к ограничению облучения населения 5.1 Общие положения 5.2 Ограничение техногенного облучения в нормальных условиях 5.3 Ограничение природного облучения 5.4 Ограничение медицинского облучения 6. Требования по ограничению облучения населения в условиях радиационной аварии 7. Требования к контролю за выполнением Норм 8. Значения допустимых уровней радиационного воздействия в нормальных условиях эксплуатации источников ионизирующего излучения Приложениие 1 Приложение 2 Приложение 3 Приложение 4 Приложение 5 Приложение 6 Приложение 7 Приложение 8 |
| Разработан: | ФГУП НИИРГ |
| Утверждён: | 07.07.2009 Главный Государственный санитарный врач по объектам и территориям, обслуживаемым Федеральным управлением Медбиоэкстрем (47) |
| Расположен в: | |
| Заменяет собой: | |
| Нормативные ссылки: |




































































































