Скачать ГОСТ Р 52600.5-2008 Протокол ведения больных. ИнсультДата актуализации: 10.08.2017 ГОСТ Р 52600.5-2008
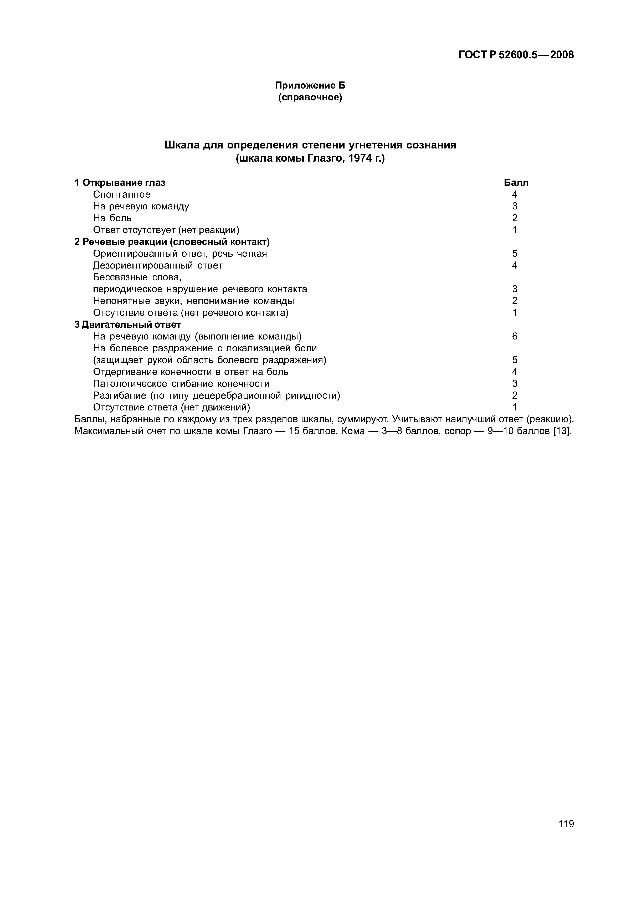
Протокол ведения больных. ИнсультОбозначение: | ГОСТ Р 52600.5-2008 | Обозначение англ: | GOST R 52600.5-2008 | Статус: | отменен | Название рус.: | Протокол ведения больных. Инсульт | Название англ.: | Protocol for patient's management. Stroke | Дата добавления в базу: | 01.09.2013 | Дата актуализации: | 05.05.2017 | Дата введения: | 01.01.2010 | Область применения: | Стандарт устанавливает виды, объем и критерии качества медицинской помощи гражданам при заболевании "инсульт". Стандарт предназначен для применения медицинскими организациями и учреждениями федеральных, территориальных и муниципальных органов управления здравоохранением, систем обязательного и добровольного медицинского страхования, другими медицинскими организациями различных организационно-правовых форм деятельности, направленной на оказание медицинской помощи. | Оглавление: | 1 Область применения 2 Нормативные ссылки 3 Общие положения 3.1 Ишемический инсульт 3.2 Геморрагический инсульт 3.3 Субарахноидальное кровоизлияние 3.4 Клиническая картина инсульта 3.5 Общие подходы к диагностике инсульта 3.6 Клиническая дифференциальная диагностика характера инсульта: ишемический или геморрагический 3.7 Инструментальные исследования 3.8 Лечение инсульта 3.9 Реабилитация 3.10 Общие подходы к профилактике инсульта 4 Характеристика требований 4.1 Модель пациента 4.1.1 Критерии и признаки, определяющие модель пациента 4.1.2 Требования к диагностике в условиях скорой медицинской помощи 4.1.3 Характеристики алгоритмов и особенностей выполнения немедикаментозной помощи 4.1.4 Требования к лечению в условиях скорой медицинской помощи 4.1.5 Характеристики алгоритмов и особенностей выполнения немедикаментозной помощи 4.1.6 Требования к лекарственной помощи в условиях скорой медицинской помощи 4.1.7 Характеристики алгоритмов и особенностей применения медикаментов 4.1.8 Требования к режиму труда, отдыха, лечения или реабилитации 4.1.9 Требования к диетическим назначениям и ограничениям 4.1.10 Особенности информированного добровольного согласия пациента при выполнении протокола ведения больных и дополнительная информация для пациента и членов его семьи 4.1.11 Правила изменения требований при выполнении протокола и прекращение действия требований протокола 4.1.12 Возможные исходы и их характеристика 4.2 Модель пациента 4.2.1 Критерии и признаки, определяющие модель пациента 4.2.2 Требования к диагностике стационарной 4.2.3 Характеристики алгоритмов и особенностей выполнения немедикаментозной помощи 4.2.4 Требования к лечению стационарному 4.2.5 Характеристики алгоритмов и особенностей выполнения немедикаментозной помощи 4.2.6 Требования к лекарственной помощи стационарной 4.2.7 Характеристики алгоритмов и особенностей применения медикаментов 4.2.8 Требования к режиму труда, отдыха, лечения или реабилитации 4.2.9 Требования к диетическим назначениям и ограничениям 4.2.10 Особенности информированного добровольного согласия пациента при выполнении протокола ведения больных и дополнительная информация для пациента и членов его семьи 4.2.11 Правила изменения требований при выполнении протокола и прекращение действия требований протокола 4.2.12 Возможные исходы и их характеристика 4.3 Модель пациента 4.3.1 Критерии и признаки, определяющие модель пациента 4.3.2 Требования к диагностике стационарной 4.3.3 Характеристики алгоритмов и особенностей выполнения немедикаментозной помощи 4.3.4 Требования к лечению стационарному 4.3.5 Характеристики алгоритмов и особенностей выполнения немедикаментозной помощи 4.3.6 Требования к лекарственной помощи стационарной 4.3.7 Характеристики алгоритмов и особенностей применения медикаментов 4.3.8 Консервированная кровь человека и ее компоненты 4.3.9 Характеристики алгоритмов и особенностей применения консервированной крови человека и ее компонентов 4.3.10 Требования к режиму труда, отдыха, лечения или реабилитации 4.3.11 Требования к диетическим назначениям и ограничениям 4.3.12 Особенности информированного добровольного согласия пациента при выполнении протокола ведения больных и дополнительная информация для пациента и членов его семьи 4.3.13 Правила изменения требований при выполнении протокола и прекращение действия требований протокола 4.3.14 Возможные исходы и их характеристика 4.4 Модель пациента 4.4.1 Критерии и признаки, определяющие модель пациента 4.4.2 Требования к диагностике стационарной 4.4.3 Характеристики алгоритмов и особенностей выполнения немедикаментозной помощи 4.4.4 Требования к лечению стационарному 4.4.5 Характеристики алгоритмов и особенностей выполнения немедикаментозной помощи 4.4.6 Требования к лекарственной помощи стационарной 4.4.7 Характеристики алгоритмов и особенностей применения медикаментов 4.4.8 Консервированная кровь человека и ее компоненты 4.4.9 Характеристики алгоритмов и особенностей применения консервированной крови человека и ее компонентов 4.4.10 Требования к режиму труда, отдыха, лечения или реабилитации 4.4.11 Требования к диетическим назначениям и ограничениям 4.4.12 Особенности информированного добровольного согласия пациента при выполнении протокола ведения больных и дополнительная информация для пациента и членов его семьи 4.4.13 Правила изменения требований при выполнении протокола и прекращение действия требований протокола 4.4.14 Возможные исходы и их характеристика 4.5 Модель пациента 4.5.1 Критерии и признаки, определяющие модель пациента 4.5.2 Требования к диагностике стационарной 4.5.3 Характеристики алгоритмов и особенностей выполнения немедикаментозной помощи 4.5.4 Требования к лечению стационарному 4.5.5 Характеристики алгоритмов и особенностей выполнения немедикаментозной помощи 4.5.6 Требования к лекарственной помощи стационарной 4.5.7 Характеристики алгоритмов и особенностей применения медикаментов 4.5.8 Требования к режиму труда, отдыха, лечения или реабилитации 4.5.9 Требования к диетическим назначениям и ограничениям 4.5.10 Особенности информированного добровольного согласия пациента при выполнении протокола ведения больных и дополнительная информация для пациента и членов его семьи 4.5.11 Правила изменения требований при выполнении протокола и прекращение действия требований протокола 4.5.12 Возможные исходы и их характеристика 5 Графическое, схематическое и табличное представление протокола 6 Мониторирование 6.1 Критерии и методология мониторинга и оценки эффективности выполнения протокола 6.2 Принципы рандомизации 6.3 Порядок оценки и документирования побочных эффектов и развития осложнений 6.4 Порядок исключения пациента из мониторинга 6.5 Промежуточная оценка и внесение изменений в протокол 6.6 Параметры оценки качества жизни при выполнении протокола 6.7 Оценка стоимости выполнения протокола и цены-качества 6.8 Сравнение результатов 6.9 Порядок формирования отчета Приложение А (справочное) Унифицированная шкала оценки убедительности доказательств целесообразности применения медицинских технологий Приложение Б (справочное) Шкала для определения степени угнетения сознания (шкала комы Глазго, 1974 г.) Приложение В (справочное) Требования к режиму труда, отдыха, лечения или реабилитации Приложение Г (справочное) Дополнительная информация для пациента и его законных представителей Приложение Д (справочное) Памятка по уходу за больным с инсультом Приложение Е (справочное) Требования к диетическим назначениям и ограничениям Приложение Ж (справочное) Шкала для оценки неврологических функций больных, направляемых на тромболизис Приложение И (справочное) Форма карты пациента и заключение о мониторировании Приложение К (справочное) Шкала исходов Глазго Приложение Л (справочное) Шкалы для определения функционального состояния больных, перенесших инсульт Приложение М (справочное) Схема нейропсихологического и медико-логопедического обследования больных, перенесших инсульт Приложение Н (справочное) Анкета пациента Библиография | Разработан: | Межрегиональная общественная организация содействия стандартизации и повышению качества медицинской помощи
| Утверждён: | 18.12.2008 Федеральное агентство по техническому регулированию и метрологии (492-ст)
| Издан: | Стандартинформ (2009 г. )
| Расположен в: |
| Нормативные ссылки: | |
                                                                                                                                                                   
|